距离度量的方法,欧式距离,切比雪夫距离、马氏距离、巴氏距离,曼哈顿距离
具体包括以下几种:如欧几里得(Euclidean)距离、切比雪夫(Chebyshev)距离、马尔可夫(Markov)距离、巴塔拉(Bhattacharyya)以及曼哈顿(Manhattan)等。
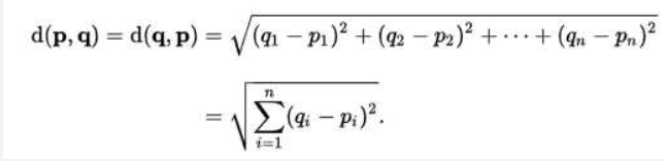
基于欧几里得度量(亦称欧氏度量),高中阶段学习的两点之间的位置关系计算方法即为二维空间中应用的一种特定的距离计算方式;这种计算方式对应于当n取值为2时的情形。

二维坐标下:
\sqrt{(x_1-x_2)^2} \quad + \quad \sqrt{(x_3-x_4)^2}
在曼哈顿空间中用于衡量两点差异的方法是 c=|x₁−x₂|+|y₁−y₂|。
根据数学公式可以看出,在这种度量方式下所得结果必定为非负数值。
其最小值出现在当且仅当两样本位置完全一致时。
与欧氏空间具有相似性,在实际应用中主要用来度量多维空间中两点间的差异程度。
值得注意的是,在数据处理过程中该方法运算成本降低并避免了开平方过程中的近似计算导致的精度损失。
此外,在实际场景中如地图导航或城市交通路径规划等问题中也能够方便地运用这一方法实现快速定位和路径优化。

在国际象棋棋盘(图 2)上具备横平竖直的网格布局。能够直接应用曼哈顿距离进行计算。例如,在A1格子至C4格子的具体计算示例中
c=|3-1|+|4-1|=5 这两个格子在曼哈顿空间中的距离为5。
该公式仅限于描述二维空间中的曼哈顿距离,在三维及更高维的空间中其计算方式与二维情况一致。
因为曼哈顿距离又被称为出租车距离的原因是在像纽约曼哈顿区这样的地区存在许多由直行街道组成的网格状区域。在这种特殊的地理环境中,在计算两点之间的行驶路程时 taxi drivers 一般情况下会采用将目标点之间的横向与纵向坐标差值分别求取后再进行累加的方式。这种数值代表的就是他即将开车经过的具体街区数量。而完全没有必要采用欧氏距离来计算——这种方法不仅计算复杂而且缺乏实际意义。毕竟人们无法通过欧氏空间中的直线路径进行移动。因此,在这种特殊的地理环境中使用曼哈顿距离比使用欧氏距离更为合理与实用。
从曼哈顿距离的定义可知,曼哈顿距离的确立,如果说它具有重大的理论价值倒不如说是其实用价值更为突出.这也是本书始终想强调的一点,数学无处不在,它是我们的得力助手,能够帮助我们解决各种问题而不会给我们带来困扰.

切比雪夫距离
设平面空间内存在两点,它们的坐标为(x1,y1),(x2,y2)
则dis=max(|x1−x2|,|y1−y2|)
即两点横纵坐标差的最大值

请深入探讨曼哈顿距离与切比雪夫之间的转换关系
