数字信号处理——理论基础
数字信号处理系统模型包括模拟信号经A/D转换器变为数字信号后,在DSP或ARM处理器进行处理后再经D/A转换器恢复为模拟信号的输出过程。欧拉公式展示了复指数与正弦余弦的关系,在声学中用于分析谐波理论——基波及其整数倍频分量的产生现象。采样定理指出,为了保证无失真恢复模拟信号,采样频率必须至少为模拟信号最高频率的两倍。离散时间信号的基础包括单位采样序列和阶跃序列等基本形式,并通过能量与功率计算来区分能量型与功率型信号。离散时间系统设计对特定离散时间信号进行处理运算以实现功能,并根据静态性、时不变性、线性和因果性进行分类判断。LTI(线性时不变)系统通过卷积和方法计算任意输入下的响应,并利用卷积公式分析系统的因果性和稳定性条件。
基础理论
数字信号处理系统模型模拟输入信号 – 模数转换模块 – 基于DSP或ARM的数字处理器 – 数模转换模块 – 模拟输出端口
欧拉公式

谐波理论
基基本频率的整数倍频量的各个谐音分量包括二次音、三次音……等。声音信号经由喇叭输出时通常会伴随多个音阶成分。
抽样定理
为了准确重建原始模拟信号而不发生失真,在进行数字处理时,所采用的采样频率必须至少达到两倍于模拟信号频谱中的最高频率。
离散时间信号基础
最基本的连个离散信号
单位采样信号
单位阶跃信号

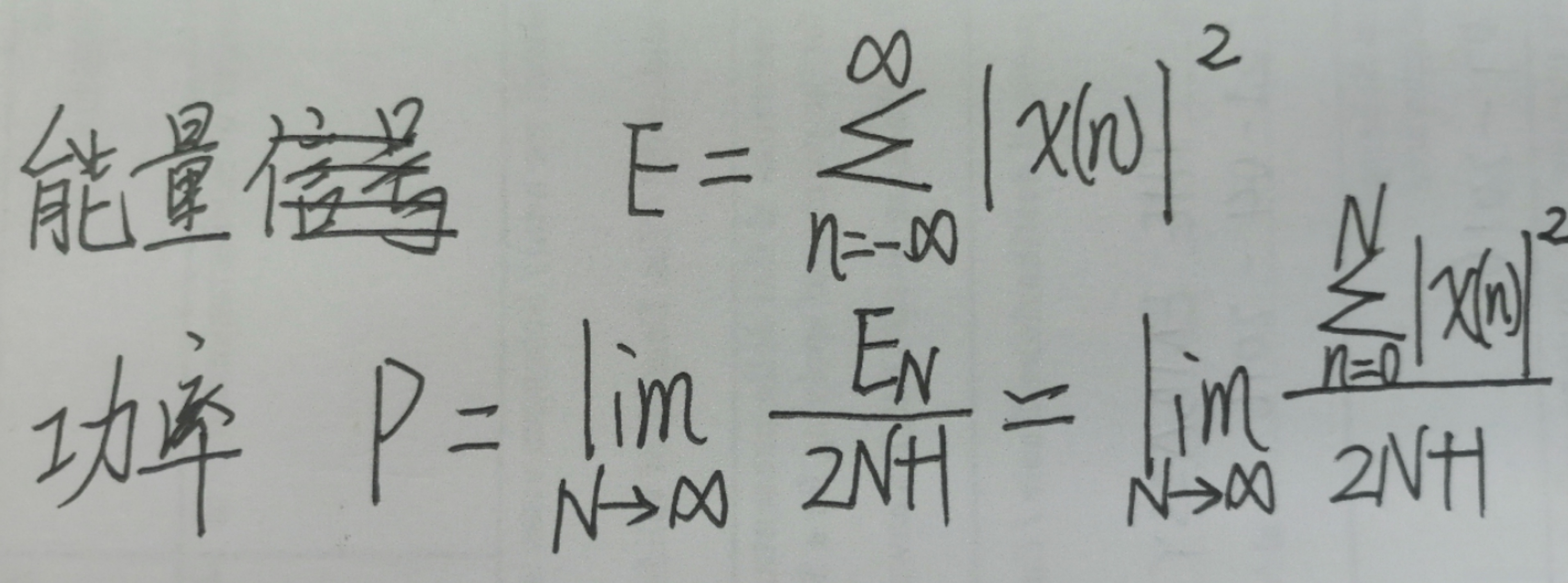
能量信号与功率信号
若一个信号具有有限的能量,则称其为能量信号;若一个信号具有有限的功率,则称其为功率信号。

离散时间系统定义
构建一个设备或采用某种计算方法来对这些信号实施预设的运算处理,则可完成对这些信号进行操作的任务。这些设备或计算方法即为所称的离散时间系统。
离散时间系统分类
- 静态系统与动态系统
任何一个时间点的输出仅由该时间点的输入相关,而与其他时间点无关,则为静态系统.反之则为动态系统.
该线性移不变系统其输出响应不受输入信号时间位置的影响即称为时不变系统相反则为时变系统
所有满足叠加性的系统被称作线性系统,而那些不满足叠加性的则被归类为非线性系统.
- 因果系统与非因果系统
系统的响应仅由当前及历史输入决定而不受未来时刻的影响,则称其为因果系统。相应地,则称其为非因果系统。
稳定与不稳定的系统
当输入被限制在某一范围内时(即有界的),而输出不受限制(即无界的),则称该系统为不稳定的。反之,则称为稳定的系统
稳定与不稳定的系统
当输入被限制在某一范围内时(即有界的),而输出不受限制(即无界的),则称该系统为不稳定的。反之,则称为稳定的系统
LTI系统对任意输入的响应即为卷积和

卷积公式

LTI系统因果性与稳定性
对于一个LTI因果系统,卷积公式如下简化:

稳定性
判断LTI系统的稳定性的充要条件,是满足上图的判定。
