【自动驾驶轨迹规划之安全行驶走廊】
本文提出了一种基于安全飞行走廊(SFC)和安全行驶走廊(STC)的路径规划方法,用于自动驾驶车辆的动态环境路径规划。通过将车辆建模为两个圆盘,可以有效减少计算量,同时确保车辆与障碍物之间的安全距离。在路径规划过程中,车辆后轴中心的轨迹通过A或hybrid A算法生成,并结合障碍物环境进行建模,生成安全行驶走廊。通过局部矩形区域的扩展,构建多边形路径,确保车辆在动态环境中能够安全避障。测试结果表明,该方法在复杂环境中能够有效规划出安全且高效的路径。
欢迎大家关注我的B站:
Zheng同学的个人空间,专注于薯片的爱好者。该个人主页链接至哔哩哔哩视频平台,访问地址为:bilibili.com/1353527764?spm_id_from=333.1007.0.0
目录
1 原理剖析
1.1 安全飞行走廊(SFC)
1.2 安全行驶走廊(STC)
1.2.1 车辆外形建模
1.2.2 环境建模
1.3 生成安全行驶走廊的伪代码
1.4 建立约束限制
1.5最优控制
2 测试结果
本文参考论文链接如下:供感兴趣的读者参考原始论文[Maneuver Planning for Automatic Parking with Safe Travel Corridors: A Numerical Optimal Control Approach | IEEE Conference Publication | IEEE Xplore](https://ieeexplore.ieee.org/document/9143786 "Maneuver Planning for Automatic Parking with Safe Travel Corridors: A Numerical Optimal Control Approach | IEEE Conference Publication | IEEE Xplore)
1 原理剖析
1.1 安全飞行走廊(SFC)
大规模且非凸的碰撞约束显著提升了路径规划的计算复杂度,在无人机路径规划问题中,开发了安全飞行走廊(SFC)这一方法。通过铺设安全飞行走廊,无人机与周围的所有障碍物保持足够的安全距离,从而使得最优控制问题的规模完全不受环境复杂性的程度影响,显著提高了路径规划的速度。

安全飞行走廊的好处:
比如,采用Route2路径,但路径规划会包含这些障碍物O1和O2在内。实际上,那些距离较远的障碍物不需要被包含在路径规划中,因此,安全飞行走廊可以减少最优控制中冗余的避障约束条件。
在Route2路径上,通过建立安全飞行通道,等同于规避了障碍物的复杂性,只需确保飞行路径位于安全飞行通道内即可,如图所示。
1.2 安全行驶走廊(STC)
然而,飞行安全走廊(safe flight corridor)无法直接应用于车辆的路径规划,因为汽车的形状可以被视为质点或圆盘,因此车辆的不同部分可能分布在不同的安全走廊上。鉴于此,在自动驾驶领域提出了行驶安全走廊(safe travel corridor)。
1.2.1 车辆外形建模
在行驶过程中,整辆车都需要在安全行驶走廊内部运行,然而计算车辆的矩形外形与障碍物是否存在交集所需的时间较大。如果采用圆形来表示车辆,计算量则会显著减少。因此,在减少计算量的同时,保证冗余率(即由圆形构成的车辆比原始车辆大得多)不会过于庞大,我们选择用两个圆盘来替代一辆车。
下面是原始车辆 的外形建模参数

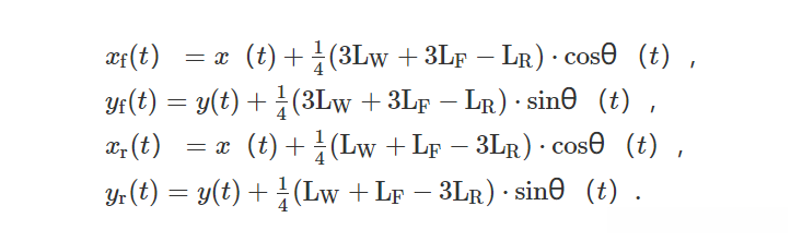
经过两个圆盘去代替一辆车,新型车辆 的外形建模参数如下

两个圆心分别是

,新型车辆的各个参数可以由原始车辆的参数去确定,公式如下


1.2.2 环境建模
实际上,这时候车辆收缩半径已经可以被视为两个质点,然而必须将障碍物去除非结构部分,如示意图所示。

这样就可以将车辆的路径规划问题转化为两个质点的避障轨迹
1.2.3 安全行驶走廊的构建
自动驾驶轨迹规划之A*算法
首先,为了实现车辆后轴中心的精确搜索,需要对目标位置进行A或hybrid A算法的优化。通过这种方法,可以有效获得车辆后轴中心的初步轨迹。如对A或hybrid A算法不熟悉,建议参考以下链接获取详细信息:
-
【自动驾驶轨迹规划之A*算法
-
【自动驾驶轨迹规划之hybrid A*算法
通过定位车辆后轴中心的粗略轨迹,我们可以确定两个替代车辆的圆盘圆心,从而确定各自的粗略轨迹。以质点Pf为例,介绍构建安全行驶走廊的具体方法。首先,通过A算法或混合A算法进行路径规划,获得路径的总耗时t。随后,对t进行等间隔采样,以获取均匀分布的采样点。在这些采样点上分别生成一个多边形,多个多边形连接起来就形成了上述的安全行驶走廊。这里选择多边形为矩形。

但是怎么生成这样的多边形呢?
在原始论文中,采用了基于局部矩形区域生成的方法,系统地选取采样点,按照逆时针或顺时针两种方式,沿着矩形的四条边依次向外扩展。

个单位(

过大导致矩形区域较小,容易丢失最优或较优轨迹 ,

当矩形过于狭窄时,不仅会导致计算量的急剧增加,而且会严重影响路径规划的效率。这种增长过程会持续进行,直到矩形与障碍物发生接触。然而,矩形的长和宽必须保持在我们设定的一个最大值以内,以避免在较大的空区域中进行过多的计算。矩形生成图如下所示。


1.3 生成安全行驶走廊的伪代码

1.4 建立约束限制
在完成上述处理后,我们就可以真正实现安全行驶走廊的约束机制。值得注意的是,这里的采样采用了更高的分辨率,这在保证所有轨迹都位于安全行驶走廊内方面具有重要意义。通过对时间进行均匀采样,我们获得了 Pf 和 Pr 的采样点。这些采样点需要满足位于安全行驶走廊边界内的约束条件,这些条件均为线性不等式,且约束条件较为简单。
1.5最优控制
自动驾驶轨迹规划之最优控制
该控制方案专为静态环境设计,当系统进入动态环境时,建议采用滚动优化算法进行在线轨迹的动态调整,具体实现细节将在后续文章中详细阐述,本文重点介绍静态环境下的路径规划方案。
2 测试结果


