Pose Machines文献阅读
目录
一、文献翻译
二、模型原理
1、模型简介
2、模型结构
(1)分类器g
(2)L层级结构
(3)T个stage结构
三、基础概念
1、图结构
一、文献翻译
整理好再上传译文……
二、模型原理
1、模型简介
该技术主要专注于一种基于单幅图像的二维人体姿态估计方法。其中一种典型方法是图结构[1]。本文采用了非树状交互的图结构模型。
2、模型结构

请查看下图(如图所示),该流程展示了pose machine的基本框架架构。该系统能够识别并判断人体关键部位在图像中的具体位置。
(1)分类器g
在图中每个g都承担着特定的任务角色,在处理图像信息时展现出独特的识别能力。从图1可以看出,在需要识别p个关键点时, 将图像x的特征传递给分类器g, 将返回p张置信度分布(这些结果可视为图像上各个像素点对应特定关键点的可能性概率分布)。

图1
(2)L层级结构
将大框架沿着垂直方向划分为L个层级。这些层级自顶层到底层依次递增。随着层级的深入细化程度逐渐降低。例如,在第一级阶段主要能够辨识关节部位而在第二级阶段则可分辨出小臂与小腿等更具体的骨骼部位……最终最底层能够精确判定人体是否存在(即图中某处有被检测到的人体)。
作用:基于粗糙部位的关键点识别可以提高姿态估计的性能
(3)T个stage结构
整体结构沿着水平轴划分为T个阶段,在每个阶段从当前的g值到下一个g值之间定义。
在以下符号表中列出了一些关键变量及其含义。其中,
- l用于表示第l层的层级结构,
- t用于标识第t个阶段,
- z则用于表示预测部位在图像中的位置,
- Yp则用于表示需要预测的具体部位。
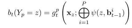
stage1的第一层:向分类器1g1输入x特征,输出各部分的置信度图1b1,引入一个

此工具能够对位置为z的区域进行置信度评估,并且还能反映区域内的空间相关性
stage1的每一层同上,在计算完b1和

函数后,将每一层输出的函数结果进行

(用于连接向量的运算符),作为下一个stage的输入
staget: 分类器的输入不仅包含x特征这一部分信息,还包括各关键区域对应的关键点信心值,这些向量均由上一层节点生成并经充分训练优化获得

三、基础概念
1、图结构
Graph由顶点及其连接边构成一种离散结构属于一种非线性数据结构类型多种问题均可通过构建图模型来实现求解例如人际关系网络。

所有顶点构成非空集合 V ,边构成可为空的集合 E ,由 V 和 E 共同组成的图结构记作 G=(V,E),其中 V 不能为空而 E 可以为空。
2、置信度
你或许想知道中国有多少成年人喜欢蛋黄酥。然而对全国14亿人进行调查过于庞大。因此,在无法逐一调查的情况下
通过抽样调查
