【空中计算】Over-the-Air Computation in OFDM Systems With Imperfect Channel State Information
发布时间
阅读量:
阅读量
文章目录
- 模型
- 解法
-
- CSI
阅读这篇文献的初衷是:SIMO-OFDM如何推广到MIMO-OFDM
模型
M
- 子载波的数量
- 一个OFDM符号的样本数
- 所有用户第m个子载波作空中计算

\text{IDFT}
- \text{IDFT}中为何要除以\sqrt{M}
- ⭐️默写IDFT
- L的含义

从时域的角度看信道
- 时延:定时差异+时延拓展
- 抽头数的定义

接收信号
- 抽头数L只有分析时域才有
- 每个分量都是根据子载波分析的
- 注意接收beamform维度

MSE
- 求均值后两项的乘积在哪里,一次项的乘积取均值是0

(P1)(P2)
- 发射系数是一个数
解法
对齐接收信号的相位
信道矢量为何取共轭 ?
此化简主要是消除相位的影响,因为计算MSE比较的是幅度

CSI
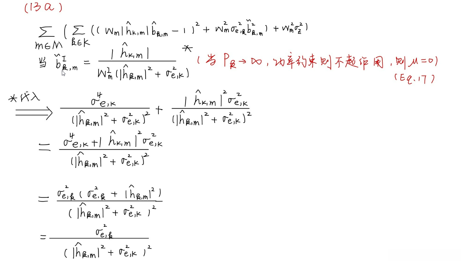
如命题二所示:
\Gamma_{m, 1} \triangleq \frac{1}{K^2} \sum_{k \in \mathcal{K}} \frac{\sigma_{e,k}^2}{\left|\hat{h}_{k,m}\right|^2+\sigma_{e,k}^2}
当发射功率趋于无穷大时,最优的接收滤波器系数为零?此时功率约束的作用消失,并且在互补松弛条件下μ取零值。因此能够获得对应的bk值,并将其代入MSE中计算得到Γm,1

依据公式(11),CSI相关的误差不可避免地存在。
假设你未采用基于高斯分布的建模方法,则在你的优化目标函数中,
只有信道估计这一项。
此时你可能认为信道估计具有较高的准确性,
因此可能仅考虑了信道估计的影响而忽略了其他因素。
然后基于此估计得到对应的参数W和b,
将其代入实际的目标函数计算中,
这将有助于生成图(2)中的‘忽略CSI误差’曲线。
通过公式(11)可以看出,
当发送功率数值越大时,
相应的CSI相关误差也会随之增大。
这很好理解,
因为发送系数正是基于 CSI 的优化结果而确定的。
全部评论 (0)
还没有任何评论哟~
