【大学物理·早期量子论和量子力学基础】量子力学中的氢原子问题
发布时间
阅读量:
阅读量
一、氢原子的薛定谔方程
在氢原子中,电子的势能函数为

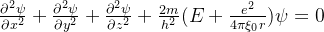
将U代入薛定谔方程得

采用球极坐标
代替直角坐标
,因
,所以上式化成

通常采用 分离变量法,即有

1.能量量子化

式中n=1,2,3,...,称为主量子数
2.“轨道”角动量量子化
电子绕核运动的角动量必须满足量子化条件

式中l=0,1,2,3,...(n-1),称为角量子数
3. “轨道”角动量空间量子化

式中
称为磁量子数。对于一定的角量子数
可取(2l+1)个值
早在 1896年塞曼发现,当光源处于外磁场中,它发出的一条谱线将分裂成若干条非 常靠近的谱线,这种现象称为塞曼效应.
二、氢原子中电子的概率分布
在氢原子中,求解薛定谔方程得到的电子波函数
对应每一组量子数
,有一确定的波函数描述一个确定的状态.

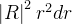
电子出现在原子核周围的概率密度为

在空间体积元
内,电子出现的概率为

表示电子在半径为r和r+dr薄球壳内的概率,它与坐标
与
无关,因此
称为径向概率密度,用p(r)表示
当氢原子处于基态时(n=1,l = 0),电子出现在玻尔半径
附近的概率最大
量子力学得出电子出现在某处的概率, 不能断言电子在某处出现
所谓电子云,并不表示电子真的像一团云雾罩那样弥漫在原子核周围,而只是电子概率分布的一种形象化描述而已.
全部评论 (0)
还没有任何评论哟~
