离散傅里叶变换(DFT)
DFT的定义
1、主值区间、主值序列
只有在有限个位置上有定义的周期序列才有意义;对于数字信号处理来说;我们通常将一个N点有限长序列视为其对应周期为N的无限长周期序列的一个完整周期段;从而可以通过离散傅里叶变换(DFS)来计算其频域特性。
令x(n)为有限长度的序列,在满足条件0≤n<N−1时具有非零值;也可以视为具有周期N的周期序列

属于该区间的整数n满足条件(其中N是一个正整数),我们将其定义为主值区间,并记作[0, N−1]。其对应的序列x(n)将被定义为主值序列,则有以下结论成立:


其中,

表示模运算关系

x(n模N) = x(n对N取余数) =

即

,m为整数
也就是说,余数

是主值区间中的值,若N=8,则

故

即


故

即

因此

同样,对频域序列也可表示为


2、DFT的定义
设** x(n)为 M点有限长序列,即在0≤ n≤ M-1内有值,则可定义 x(n)的 N点(当 N> M时,补 N-M**
个零值点),N点****离散傅里叶变换定义为

X(k)地N点****离散傅里叶反变换定义为

长度为N 的有限长序 列以及 周期 为N 的周 期序 列都 由 N 个 数值 构成 。但 是应 该记 住,在 提及 到离 散傅 里叶 变换 关系之 处时 段落 时 ,有 限 长序 列被 视作一 个完 整周 期段 的一 部分 ,并 且隐 含着 明显 的周 期特 性。

3、周期延拓





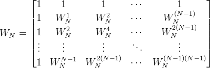
4、DFT用矩阵表示

式中X是N点DFT频域的列向量,即

x是N点时域序列的列向量,即


称为N点DFT矩阵,定义为

DFT和DFS的关系
基于第一个周期(0 \leq n \leq N-1)中的DFS对就得到了对应的DFT对。换句话说,在针对DFT的研究中所关注的定义范围中**x(n)被限定为0 \leq n \leq N-1区间内的取值,在频域表示为X(k)**则同样限定在0 \leq k \leq N-1范围内。然而,在DFT讨论的实际操作中,默认将有限长度序列视为周期序列的一个周期片段来进行处理。具体来说,则是先假设序列值被周期延拓后再进行相应的运算处理,并最终截取主值序列作为结果输出。



DFT的例子




在计算 X\left( k \right ) 的时候 ,当不能够直接通过欧拉公
式对其进行简化 时 ,为了表示 X\left( k \right ) 的形式
选择将其以某种方式写出 。主要基于等比数列求和公
式以及
**[equation]**的应用


,进一步有










参考资料
《数字信号处理教程》(第5版)程佩青
视频链接
《数字信号处理 华东理工大学 万永菁》课件、视频


