DEA用法(1)--三阶段DEA模型与DEAP使用方法教程
1. DEA基本概念理解
在正式开始使用DEA软件之前,请先了解一些关于DEA的基础概念
技术效率:指在保持恒定的资源投入水平下,在最优条件下生产的产品数量与实际产量之间的比率。
②规模报酬:规模报酬是指阐述,在所有投入要素均翻一番的情况下,若产出量恰好等于翻一番投入所导致的产量,则称之为规模报酬不变(-),若产出量多于一倍,则称之为规模报酬递增(IRS),进而若产出量少于一倍,则称其为规模报酬递减(DRS)。
③决策单元(DMU)即为效率评价的代表,即为能够将特定的"投入"转化为相应的"产出"的一个体.例如,在评估高新技术企业的创新效率时,DMU即为我们需要研究的具体企业单位.
在DEA模型中认为某项决策单元达到强有效性意味着什么呢?它意味着对于所有输入指标而言,在不改善输出的情况下无法进一步降低它们;而对于所有输出指标而言,在不牺牲输入的情况下也无法进一步提升它们。具体来说,“如果想降低某个输入指标而不影响输出,则必须相应地降低某个或多个输出指标;同样地,在提高某个输出方面时,则必须相应地提高某个或多个输入指标。”
DEA弱有效:在不能按相同比例缩减各要素输入数量的情况下(即只能通过调整某些要素的使用量来实现),若要降低整体产量则必须相应地增长各要素输入数量;同样地,在不能按相同比例提高各要素输出数量的情况下,则必须相应地增长各要素输入数量。在这种情况下(即当既不能按相同比例缩减所有要素的使用量也不能按相同比例提高所有要素的生产效率时),尽管存在个别或者少数几项要素可能被缩减使用量的情况(但并非全部要素),因此被称为弱有效。
当给定既定的生产要素配置及产品市场价格时
2、DEAP软件下载、安装
DEA采用了特定的方法来进行评估,并将其特别称呼为DEAP系统。值得注意的是,它并不是一个传统的软件程序;安装后即为一个独立的文件夹结构。使用者可以通过调整文件夹内多个文档中的相关参数设置后即可立即生成结果。操作过程极为简便且易于掌握。
2.1 软件下载
去澳大利亚昆士兰大学下载DEAP软件,链接如下:
该系提供软件系统供学生和研究者使用(官方链接:https://economics.uq.edu.au/cepa/software)
检验下载文件是否包含 DEAP.EXE DEAP.000 两个文件,如果有则可以正常使用。

导入到新建的 111.txt 文件中(在Excel中复制数据后创建空白文件并进行粘贴操作)。
配置input.txt文件时,请按照详细说明中的具体步骤操作(请将以下命令复制到input.txt文件并运行修改)。
启动DEAP.EXE程序后,在界面中导入input.txt文件并按回车键操作即可查看output.txt结果。
deap 2.1 操作步骤
- 参数设置和说明
2.2 参数含义
数据文件的文件名
输出文件文件名
决策单元数量(行)
时期:截面数据为1,时间数列数据自行设定
产出个数
投入个数
投入导向或者产出导向
规模报酬不变或者可变(0不变 1可变)
DEA分析方法(选择你需要的模型,模型不同结果也会不同)。
比如下面的txt文件:
data.txt DATA FILE NAME
output.txt OUTPUT FILE NAME
11 NUMBER OF FIRMS
1 NUMBER OF TIME PERIODS
2 NUMBER OF OUTPUTS
3 NUMBER OF INPUTS
1 0=INPUT AND 1=OUTPUT ORIENTATED
1 0=CRS AND 1=VRS
0 0=DEA(MULTI-STAGE), 1=COST-DEA, 2=MALMQUIST-DEA, 3=DEA(1-STAGE),
代码解读
3. 软件使用
3.2 第二阶段SFA模型
基于时间维度构建并引入DUM(虚拟观测单元)指标序列后,在模型设定中,默认情况下对所有样本点进行标准化处理的基础上叠加一个周期性变化项(period)。在此基础上进一步投入1个松弛变量以及K个环境因素作为调节因子(即总共引入了1 + K个调节因子)。在模型求解过程中,在满足技术效率估计要求的前提下,默认情况下对所有样本点进行标准化处理的基础上叠加一个周期性变化项(period)。在模型设定中,默认情况下对所有样本点进行标准化处理的基础上叠加一个周期性变化项(period)。在模型设定中,默认情况下对所有样本点进行标准化处理的基础上叠加一个周期性变化项(period)。在这种设定下,在模型求解过程中,默认情况下对所有样本点进行标准化处理的基础上叠加一个周期性变化项(period)
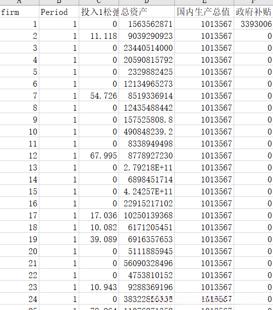
特别注意的是,在表格中第一列为评价体系的序号, 第二列为时期t, 第三列为因变量; 从第四列开始为K全自变量.

配置ins文件:

设置完所有的文件后,打开软件命令;
输入 f然后回车,输入ins的文件名,即将结果输出到输出文件中。

输出结果后,我们打开可以得到:

前半部分是迭代部分,重点关注“the final mle estimates are :”部分,如下:

