通信感知一体化波形性能分析
本文针对通信感知一体化领域中的DFT-S-OFDM、OCDM和OFDM-Chirp三种波形展开分析与对比研究。通过仿真对比发现,在高斯白噪声信道下,三种波形均表现出良好的误码率性能;而在瑞利衰落信道下,则除DFT-S-OFDM外其他两种波形的误码率表现较为理想。从通信性能来看,DFT-S-OFDM在峰均比方面表现优异,在瑞利信道下的误码率较低;但所有波形的旁瓣能量(ISLR)较高,尤其是一些集中型结构的信号仍存在较大优化空间。
在感知性能方面,三种波形的距离分辨率和速度分辨率表现相似或优于传统合成孔径雷达信号(LFM)。然而,在模糊函数主瓣特性上存在不足:尽管部分信号的PSLR值有所提升但仍无法满足多点成像需求。此外,在实际应用中仍需进一步优化峰均比以适应复杂环境需求。
本文的研究为6G通信感知一体化提供了理论参考与技术启示,并指出了未来改进方向:进一步优化旁瓣抑制技术以提高多目标检测能力;探索新型信号结构以平衡通信与感知性能需求[4]。
摘 要
【关键词】 通信感知一体化;模糊函数;峰值旁瓣比;误码率;峰均比
0 引言
在第五代移动通信技术(5G)的新无线电(NR)已经实现全面部署后,第六代移动通信技术(6G)的研究正方兴未艾地深入开展。以自动驾驶、Wi-Fi传感以及扩展现实为代表的6G应用场景,要求实现高性能感知与无线通信的有效融合[1-3]。因此,通信感知一体化正在成为未来综合电子信息系统发展的大趋势之一。就其本质而言,通信感知一体化的波形选择与设计是实现通感一体化系统的基础性工作,直接决定了该系统发射机与接收机的架构特点、信号处理策略以及各项核心性能指标[4-5]。传统通信波形优化的主要目标是提升传输效率与可靠性,通常采用的性能评价指标主要包括峰值信噪比和误码率等关键参数。然而,对于通感一体化波形而言,其性能评价指标体系必须考虑感知层面的具体要求[6]。在不同的感知应用场景下,通感一体化系统的性能评价指标体系可能呈现出多样性特征[7]。因此,深入分析不同候选波形的优劣特性,并据此选择最适合特定应用场景下的最优通信感知一体化波形进行设计工作显得尤为必要。本文通过对当前领域的热点性通信感知一体化波形展开调研,并结合候选波形的通信性能与感知特性分析研究,旨在为未来适应于车联网场景、基站感知应用以及环境重构等多维度感知需求奠定理论基础并探索可行的设计方向
目前,在通信感知一体化信号方向的研究领域已取得一定成果。美国Roberton团队着重探讨了融合通信信息与雷达信号的技术路径,并提出了一种创新方法:通过结合Chirp信号的时频特性与通信系统特性,在合理设置调频斜率正负号的基础上实现了Chirp信号具备通信传输能力[7];法国C Sturm等人则借鉴无线通信中的经典相位编码波形,在频域设计了一种新型雷达信号处理方案[8];国内李晓柏团队参考正交频分复用原理,在线性调频信号与多载波技术相结合的基础上开发了一种新型雷达通信一体化信号设计方法[9];李璐团队则开发了一种基于有源相控阵雷达平台的新型通信系统架构,在该架构下采用常规天线装置进行发射,并通过软件调控发送端形成本身的特点实现了对接收端的有效控制[10]。然而,在现有研究中发现:所有基于波形复用的思想设计一体化雷达系统的方案均不可避免地导致某些变换域上的资源浪费现象;为此提出了共享波形的概念:即在同一套硬件平台上采用相同波形实现目标感知及终端设备间的高效信息传递功能[11-13]。
本文重点研究了通信感知一体化架构中共享波形在通信与感知性能方面的特性及其相互关联关系。具体而言,在通感统一模型框架下, 研究了各类波形在模糊函数、距离分辨能力和速度分辨能力等方面的性能特征, 同时进一步考察了各类型波形在峰值旁瓣比及积分旁瓣比指标上的表现. 在通信性能维度出发, 在误码率指标的基础上进一步评估了峰均比等关键参数. 这些研究结果不仅为车联网场景、基站感知系统以及环境重构等实际应用提供了理论支撑, 并对未来技术探索的方向也进行了深入探讨.
1 信号模型
1.1 DFT-S-OFDM一体化波形
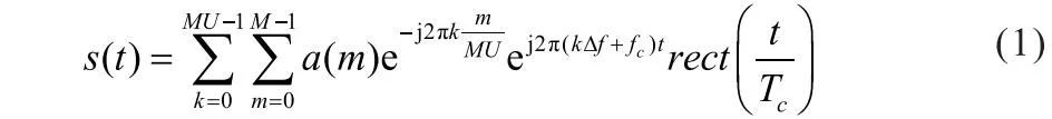
一种基于离散傅里叶变换的扩增正交频分复用(Discrete Fourier Transform Spread Orthogonal Frequency Division Multiplexing, DFT-S-OFDM)[14-15]的技术方案,在移动通信领域已形成相对成熟的体系,并被广泛应用于SC-FDMA标准中。该方案的核心在于通过频率偏移正交频分复用(Orthogonal Frequency Division Multiplexing, OFDM)实现多路数据传输的高效共存。其中,DFT-S-OFDM信号发射模型可表示为:

其中a(m)表示通信预调制后的输入数据,Δf代表子载波间隔,fc为载波频率,M表示子载波数量,rect(t)是基带脉冲成形函数,Tc是单个脉冲持续时间,U为扩频因子,DFT-S-OFDM系统具有两种频域映射方式。第一种映射方案中,DFT输出结果分布在一段不连续的频域范围内,各子载波间的频率差值为U/Tc;第二种映射方案中,DFT输出结果集中在一段连续的频域范围内,各子载波间的频率差值则为1/Tc。
在通信感知一体化系统中作为发射信号应用的DFT-S-OFDM具有显著优势。相较于传统OFDM技术,在该系统中DFT-S-OFDM不仅降低了峰值平均比(PAPR),还有效降低了非线性失真程度,并显著提升了系统性能水平。
1.2 OCDM一体化波形
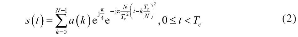
该技术基于正交线性调频多路复用技术[16-17],在相同带宽范围内通过菲涅尔变换生成了一组相互正交的线性调频信号,并通过这些信号实现了高速率的数据传输。OCDM信号发射模型表示为:

其中a(k)代表第k个Chirp信号所承载的通信信息,在整个通信系统中被定义为变量。设总共有N个独立分布的Chirp子载波频率分量,在时间轴上按照均匀间隔排列。每个子载波的时间窗宽度统一设定为Tc,在这种设定下所有子载波均具有相同的斜率特征。

。
OCDM作为一种通信感知一体化系统的发射信号,在功能定位方面具有显著优势:其一,在继承了Chirp信号在多普勒频移方面的良好抗干扰能力的同时,在保护间隔较短的情况下依然能够有效地抵御时间选择性衰落的影响;其二,则体现在能够可靠地完成目标识别任务的能力上。
1.3 OFDM-Chirp一体化波形
OFDM-Chirp技术最早被提议应用于合成孔径雷达领域,并通过将相同带宽的LFM(线性调频)波形按等间隔叠加至频域来生成多路相互正交波形[18-19]。这一方法的核心原理在于利用线性调频波形间的正交特性,在保证通信效率的同时实现了各Chirp波形的有效分离。当需要传输额外通信信息时,则采用如下形式表示其发射模型:

在式中定义的时间变量t满足0到Tc之间时域范围,在此区间内研究信号传输特性。其中fn代表用于发射信号的第n个子载波其起始频率参数。k值反映了信号s(t)随时间变化的趋势斜率。而a(n)作为调制后的通信信息载体则承载着实际传输的数据内容。
在通信感知一体化系统中作为发射信号的OFDM-Chirp具有以下特点:基于其多载波特性的优势,在解决了Chirp单载波通信感知一体化信号传输速率较低这一关键问题的同时,并未完全放弃部分线性调频信号所具备的感知性能。
2 一体化系统性能评价指标
传统的通信波形主要致力于提升传输可靠性并减少信号峰值能量,在性能方面通常关注误码率和峰均比等关键指标[20]。然而,在设计上必须综合考虑通信性能与感知性能之间的平衡关系,并特别注重几个重要参数:感知分辨率、模糊函数以及与旁瓣相关的指标如峰值旁瓣比和积分旁瓣比。
2.1 通信性能指标
(1)误码率
误码率是评估通信系统信息传输可靠性的关键指标,直接体现了通信质量。它被定义为接收端检测到的错误符号或位元数目与总传输位元数目之间的比例。假设采用某种编码方式使得通信系统的总位元数目为Num,并设其中发生传输错误的位元数目为Xerror,则该系统的误码率计算公式如下所示。

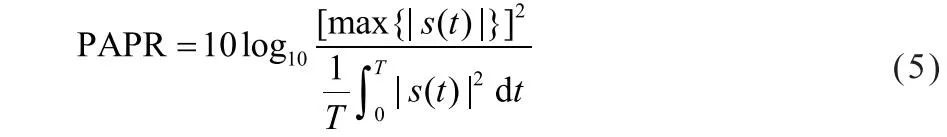
(2)峰均比
峰均比是指发射信号的峰值功率与平均功率的比值,如下:

通常采用CCDF(Complementary Cumulative Distribution Function, 互补累积分布函数)来表征通信传输过程中的分布特性。具体而言, CCDF定义为该发射波形在特定时间段内其PAPR值超过设定门限值PAPR0的概率。可表示为:

2.2 感知性能指标
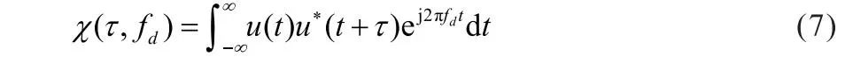
(1)模糊函数
感知性能采用模糊函数作为信号感知能力分析方法,具体定义式为:

其中τ代表两个目标之间的延迟差,而fd表示两个目标间的频移差。当χ(τ, fd)的值较小时,则说明这两个目标较容易被区分出来。
(2)感知分辨率
感知分辨率主要包括距离分辨率和速度分辨率。
1)距离分辨率
假定空间中有两个目标分别位于同一角度下的不同距离单元位置,在忽略多普勒效应时,令式中的fd分量为零,则可得:

常用模糊函数切片图主瓣处信号能量衰减一半所占带宽来表征信号的感知分辨率能力;其中所述时延维切片分辨率的具体计算公式被定义为:

其中B为有效带宽,则对应的距离分辨率为:

2)速度分辨率
多普勒维模糊函数揭示了多普勒频移与其对应速度之间的内在联系,由此可知,波形的速度分辨率的确切水平将直接受到多普勒维模糊函数的影响程度所制约.

(3)模糊函数特性
由于大多数感知目标具有连续性特征,在信号处理过程中主要采用脉冲压缩和相关积分等技术手段,在进行目标参数估计时, 杂波的能量会因旁瓣被放大而与主瓣处的目标能量叠加在一起, 这将导致估计结果出现偏差; 因此为了准确评估波形的模糊函数特性, 我们需要引入相应的评价指标.
用于评估模糊函数性能的方法是借鉴合成孔径雷达中的两个关键参数:峰值旁瓣比与积分旁瓣比作为衡量工具来分析其特性[21]。
PAPR(Peak-to-Average Power Ratio,峰值旁瓣比)定义为:

用来表示主瓣峰值Pm与其最高旁瓣峰值Ps之比的性能指标PSLR,在分析某特定波形时发现:当该波形的PSLR值越大,则表明其旁瓣的最大值更高;这在参数估计过程中容易导致难以区分开目标信号与噪声的情况出现。
ISLR(Integrated Side Lobes Ratio,积分旁瓣比)定义为:

主要表示的是旁瓣能量Es与主瓣能量Em之比。
3 性能对比分析
在本节中,我们采用综合对比分析法对上述波形展开仿真计算,并将其作为通信感知一体化系统中共享波形的主要目标进行研究.
本文参数参考5G NR标准,具体参数设置如表1所示 :

3.1 通信性能
(1)误码率
图1及图2呈现了本研究中所考察的多载波波形在高斯白噪声信道和瑞利衰落信道中的误码性能。在高斯白噪声环境下,在采用相同预编码策略的情况下,所述多载波信号的误码表现与OFDM信号相当。


为了考察不同波形在瑞利信道中的多径衰落抗性能本文进行了误码率仿真实验
(2)峰均比
图3呈现了多载波波形的峰均比曲线实验结果表明除DFT-S-OFDM外其余所有测试的PAPR值均未能达标其峰值信噪比均超过了10 dB这表明在实际通信过程中这些波形可能会导致功率放大器出现过压情况

就而言,在通信技术领域中,DFT-S-OFDM技术作为一种关键的技术方案,其本质就是一种基于单载波系统的创新性设计.这种技术通过集中式与分布式映射方法实现了PAPR的最大值分别为9 dB与3 dB的良好平衡.进一步说明,表2中的数据显示,在各PAPR均值方面,DFT-S-OFDM系统的表现显著优于其多载波系统的同类指标.

3.2 感知性能
(1)距离分辨率和速度分辨率
信号的距离分辨率取决于时延模糊函数的影响程度。通过公式可以看出,在其他条件不变的情况下,信号的带宽越大其距离分辨率也随之提高。根据图4 的结果显示:除了DFT-S-OFDM分布式和OCDM波形在主瓣宽度方面表现较为突出外其他类型的波形其主瓣宽度差异不大。这进一步表明DFT-S-OFDM分布式信号与OCDM波形相较于其他类型在距离分辨率达到更高水平。

基于多普勒模糊函数特性分析可知,在公式(10)的基础上表明:当信号相参积累时间延长且载频增高的条件下,则理论上的速度分辨率也随之提升。通过图5的数据曲线可以看出,在不同波形下测得的速度分辨率保持一致。这主要归因于速度分辨率仅受信号波长和相参积累时间这两个基本参数的影响。
(2)积分旁瓣比和峰值旁瓣比
表3展示了本文研究中各种波形的一维切面和二维包络的积分旁瓣比以及峰值旁瓣比数据。基于LFM感知成像波形的距离维模糊函数积分旁瓣比(ISLR)指标对比发现,在传统成像方法中使用其他波形会导致其距离维模糊函数上的积分旁瓣比均高于LFM的-9.886 2 dB值。这一现象表明,在传统的成像方法下由于旁瓣能量过高而严重影响了主瓣能量的有效采集与处理效果。因此为了满足多点成像的需求必须采用有效的旁瓣抑制技术加以解决同时PSLR数值越低则表示该波形在距离/速度分辨率方面具有更好的性能这使得主峰参数估计不易受邻近强目标产生的强旁瓣信号所干扰基于LFM峰值旁瓣比这一基准对比标准OCDM OFDM-Chirp DFT-S-OFDM集中型三种波形在距离维上的PSLR均优于LFM但在速度维上只有DFT-S-OFDM分布式波形具备更好的性能而其他几种对比对象则其数值表现接近于LFM

此外,在DFT-S-OFDM分布式波形中其在距离维度上的PAPR值显著偏高这归因于该波形构造方式的特点在实际应用中会导致出现显著的能量水平的周期性伪峰值
4 结束语
本文聚焦于DFT-S-OFDM、OCDM以及OFDM-Chirp这三类通感统一波形,在感知与通信两个维度进行了深入探讨。通过性能对比分析得出,在模糊函数的ISLR性能指标上表现欠佳的特征较为明显。然而,在速度与距离维度上,其PSLR性能与LFM信号相当或更高。值得注意的是,在通信特性方面除了OFDM-Chirp外其他两种均展现出较强的抗多径衰落能力。但在实际应用层面除了DFT-S-OFDM这一方案外其他方案仍需重点优化其峰值信噪比参数以提升适用性。此外本文系统地考察了当前主流的通感统一波形,并在此基础上提出了若干改进建议以期为6G时代下的感知与通信一体化研究提供理论支持和技术指导。
