最优传输论文(六十二):Aligning Domain-specific Distribution and Classifier for Cross-domain Classification论文原理
文章目录
- 前言
- 摘要
- Introduction
- Related Work
- Method
-
- Two-stage alignment Framework
- 特定于域的分布对齐
- 特定领域分类器对齐
- 多特征空间自适应网络
The experimental study systematically investigated the performance of the proposed method under various scenarios. The data preparation phase involved the collection and preprocessing of raw data to ensure consistency across experiments. To establish a fair comparison, we implemented baseline models using standard machine learning frameworks. The experimental results demonstrated consistent performance improvements across different evaluation metrics. Finally, a detailed analysis of the outcomes provided valuable insights into the strengths and limitations of the approach.
- 结论
- 代码
前言
- 文章发表于2019年的AAAI会议
- 本人在该领域的自适应与最优传输研究方面发表了第62篇论文,并将所有相关代码托管于GitHub平台:https://github.com/CtrlZ1/Domain-Adaptation-Algorithms。热忱欢迎同行专家们的关注与支持!期待大家的点赞Star与交流讨论~
摘要
- 近年来,无监督域自适应(UDA)算法(即只有来自源域的标记数据)得到了积极的研究,但大多数算法和理论结果都集中在单源无监督域自适应(SUDA)上。然而,在实际场景中,标记数据通常可以从多个不同的来源收集,并且它们可能不仅与目标域不同,而且彼此也不同。因此,不应以相同的方式对来自多个源的域适配器进行建模。近年来,基于深度学习的多源无监督域自适应(MUDA)算法致力于通过在公共特征空间中对齐所有源域和目标域对的分布来提取所有域的公共域不变表示。然而,通常很难为MUDA中的所有域提取相同的域不变表示 。此外,这些方法匹配分布,而不考虑类之间的特定领域决策边界 。为了解决这些问题,我们提出了一个新的MUDA框架,该框架具有两个对齐阶段,不仅可以分别对齐多个特定特征空间中每对源域和目标域的分布,还可以利用特定领域的决策边界对齐分类器的输出 。大量的实验表明,我们的方法可以在流行的图像分类基准数据集上取得显著的效果。
Introduction
深度学习领域的最新研究成果带来了各种视觉任务显著的艺术表现力提升(Ren等学者于2015年;He等研究者于2016年)。这些突破性进展主要得益于大规模标注数据的广泛可用性,并被成功应用于监督式学习场景中。然而,在缺乏标注数据的情况下实现有效学习仍面临巨大挑战:为了应对这一困境,在迁移领域具备丰富标注资源的相关源域问题上提出了迫切的技术需求。值得指出的是,在这种情况下尽管存在跨领域转移现象(Quionero Candela等人于2009年;Pan和Yang于2010年),但所建立的学习模型在目标领域的性能表现可能会出现明显降低的情况
当训练分布与测试分布之间存在域转移现象时学习判别模型的方法被称为域自适应技术
值得注意的是,在实际应用中可能存在多种来源领域。多源无监督Domain Adaptation (MUDA) 方法不仅具有实用性,在性能提升方面也显示出更高的价值,并获得了广泛的关注(Yang et al. 2007;Duan et al. 2012;Jhuo等人, 2012;Liu et al. 2016)。与 SUDA 方法类似的方式通常会将所有来源统一至一个单一来源并进行分布对齐。随着数据量的增长可能会带来一定的性能提升。然而尽管如此,在实际效果上并没有显著提升的空间, 因此值得探索能够充分利用多来源信息的新颖方法。
尽管基于深度学习的SUDA已经显示出显著的进步(Xu et al.2018),但基于深度学习的方法在研究MUDA方面仍面临着诸多挑战。近年来的研究者们提出了多种针对MUDA的方法,并发现这些方法都存在一些共性问题。首先,在现有研究中普遍存在的一个关键问题是:他们试图将源域与目标域的数据映射至共同的空间(如图1所示),以便于学习跨领域的共同表示特征(Xu et al.2018)。然而,在这种统一空间中实现有效的表示仍然是一个难题:即便针对单个源域与单个目标域的数据而言,在学习领域间的不变表示方面也面临挑战(如图1所示)。具体而言,在尝试消除源-目标对齐后的偏差时会遇到困难:即使能够对齐多个源与多个目标的数据集之间也难以完全消除由于不同领域间存在较大的分布偏移而导致的影响(如图1所示)。其次,在现有方法中还普遍假设:当完成了对齐操作后就可以直接利用多分类器来进行预测任务(如图1所示)。然而这种假设忽略了如下事实:仅仅关注分布对齐而忽视了类别之间的决策边界关系会导致模型缺乏足够的鉴别能力从而影响性能表现(如图1所示)。

在本文中,我们构建了MUDA的一个两阶段对抗框架,旨在解决这一难题.**第一阶段的任务是对齐基于领域分布,即我们将源域与目标域的数据分别对应到多个特征空间,并通过多轮学习获得一致性的表示.随后,我们利用这些多轮学习获得的一致性表示来训练专门针对各个领域分类器.**然后,在第二阶段中,我们专注于优化各个专门针对领域分类器.由于不同分类器预测的领域边界区域可能给出不同的标签,因此我们采用基于各个领域特有的判别标准对分类器输出进行调整以实现与目标样本的有效对齐.大量实验结果表明,相较于现有方法,MUDA方案能够在公共基准数据集上展现出显著的优势.
本文的主要贡献如下:第一部分提出了一个新的双阶段对齐体系结构,在多个特征空间中实现了各源域与目标域间特定领域分布的精准配准,并成功完成了各领域分类器目标输出样本的有效同步。第二部分通过在三个国际知名基准数据集上的系统实验验证了该方法在多个场景中展现出显著优势。
从分析的角度来看,在这种情况下主要的操作流程包括:第一部分是基于领域特异的特征空间构建(即为每个领域单独设计一个分支网络结构);第二部分是针对不同领域的判别边界优化(即配置相应的分类器模型)。
Related Work
- 在本节中,我们将从两个方面介绍相关工作:单源无监督域适配(SUDA)和多源无监督域适配(MUDA)。
- 单源无监督域自适应(SUDA) 。近年来出现了许多解决视觉域适应问题的方法,通常也被称为视觉数据集偏差问题(Quionero Candela等人,2009年;Pan和Y ang,2010年)。以前SUDA的浅层方法包括重新加权训练数据,以便它们能够更紧密地反映测试分布中的数据(Jiang和翟,2007;Huang等人,2007),并在低维流形中找到一个变换,从而拉近源子空间和目标子空间(Gong等人2012;Pan等人2011;Fernando等人2013)。
- 最近的一些工作将深度学习和领域适应联系起来(Long等人2015;Ganin和Lempitsky 2015;Tzeng等人2017;Sun和Saenko 2016)。两个主流:一个是通过添加匹配分布平均嵌入的适配层,将深度卷积网络扩展到域适配(Tzeng et al.2014;Long et al.2015;Long et al.2017),另一种是通过添加子网络作为域鉴别器,并学习深层特征来混淆鉴别器域对抗训练范式(Ganin and Lempitsky 2015;Tzeng et al.2017;Saito et al.2017)。最近的相关工作将对抗性方法扩展到了生成性对抗方式(Bousmalis et al.2017;Hoffman et al.2018)。
- 除了这两大主流之外,学习领域不变特征的方法也多种多样:DRCN(Ghifary et al.2016)将特征重建为图像,并使变换后的图像与原始图像相似。DCORAL(Sun和Saenko,2016)“Recols”利用目标域特征的协方差将源特征变白。
- 多源无监督域自适应(MUDA) 。上述的SUDA方法主要考虑单个源和一个目标域。然而,在实践中,有多个源域可用。由于它们之间的数据集移动,我们不能使用SUDA方法将所有源域合并到一个源域中。该研究起源于A-SVM(Yang、Yan和Hauptmann,2007年),它利用源特定分类器的集成来调整目标分类模型,并且已经发明了各种浅层模型来解决MUDA问题(Duan、Xu和Tsang,2012年;Jhuo等人,2012年;Liu、Shao和Fu,2016年)。MUDA也在理论支持下发展(Ben David等人,2010年;Blitzer等人,2008年;Liu、Shao和Fu,2016年)。Blitzer等人(Blitzer等人,2008年)为MUDA提供了第一个学习范围。Mansour等人(Mansour、Mohri和Rostamizadeh,2009年)声称,理想目标假设可以由源假设的分布加权组合表示 。然而,在我们的方法中,我们只使用源假设的平均值作为目标假设(就是没有对每个域的结果区别加权,而是平均加权) 。
- 近年来,一些工作跨越了多源域适应和深度转移(Xu et al.2018;Zhao et al.2018)。Xu et al.(Xu et al.2018)提议对每对源域和目标域使用分类器和域鉴别器,然后根据混淆损失为目标标签投票。Zhao et al.(Zhao et al.2018)提出结合多个域鉴别器的梯度。这些工作的重点是提取所有域的公共域不变表示 。然而,如上所述,很难学习所有域的通用域不变表示 。因此,我们尝试将每对源域和目标域分别映射到多个特征空间中,并提取多个域不变表示。此外,利用特定领域的决策边界,我们将分类器的输出与目标样本对齐 。
Method
- 老样子,符号表示:

近年来已有研究表明,在深度学习与多源适应性研究方面取得了一定进展(Xu等2018年;Zhao等2018年)。这些研究致力于最小化各源-目标域间的距离损失,并通过在全局共享特征空间中提取统一表示来实现领域不变性的学习。正式表述如下:

其中J(·,·)是交叉熵损失函数(分类损失),而ˆD(·,·)是对两个领域之间差异的估计,如MMD(Gretton等人2012;Long等人2015)、CORAL(Sun和Saenko 2016)、混淆损失(Ganin和Lempitsky 2015;Tzeng等人2015)。F(·)是将所有领域映射到公共特征空间的特征提取器,c(·)是分类器 。这些方法的共同问题是,它们主要集中于学习所有域的公共域不变表示,并且不考虑域之间的特定于域的决策边界。然而,这不是一项容易的任务。实际上,分别为每对源域和目标域提取域不变表示比为所有域提取公共域不变表示更容易 。另外,在不同的领域边界附近,分类器可能会得到不同的预测样本。因此,利用特定领域的决策边界 ,我们将分类器的输出与目标样本对齐。因此,我们提出了一个新的两阶段对齐框架来克服这些问题。
第一个配准阶段是针对每一对源域与目标域之间的特定领域分布进行配准。为了从每一对源域和目标域中提取多个不变特征表示方法,我们将其分别映射到特定的特征空间,并匹配其分布情况。为了实现这一目标,最直接的方式是构建多组网络结构。具体而言,第一部分采用共享子网络架构以获取所有领域的共同特征信息;第二部分则由n个专门针对各个领域设计的子网络组成。需要注意的是,在这一过程中,每一组非共享子网络都需要独立训练以获得各自领域的分类模型。然而,在实际应用中发现,在某些情况下这些独立分类器在处理具有不同领域决策边界的目标样本时会产生不一致的结果。因此,在完成上述配准步骤后,在论文(Xu et al.2018)中提出了一种基于复杂投票机制的方法用于集成多分类器输出结果。然而,在本研究中由于采用了第二阶段配准策略以使目标样本得到更为精确的领域特异特征表示,因此无需依赖复杂的投票集成方法。
Two-stage alignment Framework
本系统由本研究提出的三个核心模块组成:公共特征提取器、领域特定特征提取器以及领域特定分类器。如图2所示。

如图2所示:本图概述了所提出的双阶段校准架构。该框架基于带标签的真实示例输入,并旨在实现对测试样本的有效分类。每个来源均配备特定的特征提取模块与分类模块。(建议采用彩色展示效果)。
- 公共特征提取机制:本研究开发了一个公共子网络f(·),该网络能够从各个领域中抽取统一的表征,并将输入图像从原始特征空间映射至公共特征空间以促进跨领域的学习。
- 领域特定的功能提取模块:为了实现各领域间的分布一致性,在源域(X_{sj}, Y_{sj})中处理的一批图像x^{sj}与目标域X_t中的批次图像x^t会被 fed 到专门针对各自领域的功能提取模块h_j(·)中进行处理。
- 深度自适应的核心目标是通过学习各领域间的分布不变性来提升模型性能,在现有的多种分布一致性学习方法中我们选择了MMD损失函数来进行优化。
- 基于上述理论支撑的域特定分类器是由一系列域特异的预测模块\{C_j\}^N_{j=1}构成的多输出模型体系,在每个预测模块h(F(x))处理完后都会被连接到一个基于Softmax激活函数的分类损失函数中完成最终的分类任务。

特定于域的分布对齐
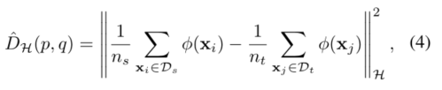
为了达成第一个校准阶段(配准每对源域和目标域的分布),我们采用了最大平均差异(MMD)(Gretton et al.2012)这一指标来评估两个域之间的差异程度。
MMD作为一种基于内核的双样本测试,在观察到的样本上用于拒绝或接受零假设p=q。
其核心理念在于:假定生成的分布一致,则其统计特性也将一致。
MMD正式定义了以下度量:

其中,在赋予再生核希尔伯特空间(RKHS)H以特征核k的过程中,默认地引入了相应的内积结构。该过程通过映射函数φ(·),将原始样本xs、xt等价为其在RKHS中的特征向量表示φ(xs)、φ(xt)。即由核函数k所定义的关系式:k(x^s,x^t)=<φ(x^s),φ(x^t)>成立;其中内积运算符<·,·>用于衡量两个向量之间的相似性程度。其主要理论基础表明:当且仅当统计距离测度D_H(p,q)等于零时(如Gretton等学者所证实),两个概率分布p、q才满足p=q这一等式关系。在实际应用中,则通过计算样本经验特征均值嵌入之间的平方距离来估计MMD值;具体而言:
\text{MMD}(\mathcal{P},\mathcal{Q}) = \sqrt{\frac{1}{m(m-1)}\sum_{i=1}^{m}\sum_{j\neq i}^{m}k(\phi_i,\phi_j)}

在公式中,在\hat{D}_H(p,q)的基础上,在\hat{D}_H(p,q)的基础上,在我们的模型构建过程中,默认采用方程(4)来估算各源域与目标域之间的差异程度。在此基础上,我们重新计算了MMD损失函数。

每个特定的特征提取器能够被设计为能够优化等式5以建立Invariance Representations Domain(IRD)之间的关系。
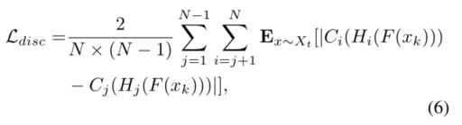
特定领域分类器对齐
- 类边界附近的某些目标样本更容易受到来自源样本的学习影响而被误分。这些用于分类的任务分别在不同的源域上进行训练,并因此对于那些特别靠近类边界的特定目标样本可能会有不同的预测结果。
直观上而言,在同一目标样本下不同分类器应产生一致的预测结果。因此,在第二阶段中我们旨在最小化所有这些分类器之间的差异程度。
具体来说,在我们的方法中使用了基于概率输出之间差值绝对值来衡量这种差异性。

基于(Xu等人于2018年的研究)中
多特征空间自适应网络
面对多源域的学习场景中实现公共域内样本不变性并非易事。值得注意的是,在类边界区域附近存在大量目标样本容易被误判的问题。基于此观察结果我们提出了一种多特征空间自适应网络体系架构(简称MFSAN)。该网络体系主要包含两步对齐过程即针对单个源域建立领域内固有不变表示并完成分类器输出层间的统一建模过程。具体而言该模型架构由公共特征提取器与分别针对N个不同领域及其对应的分类器模块构成综合来看该网络的设计目标可分解为三个关键组成部分:第一部分负责从原始输入中提取具有跨领域的通用表征;第二部分则致力于在各独立领域内建立专属性强的特征表示;第三部分则通过优化决策边界间的相似度来提升整体分类性能。在这一设计下模型的学习目标体现在三个核心损失函数上:第一项为分类损失旨在使模型能够准确识别单个领域的训练样例;第二项为MMD(Maximum Mean Discrepancy)损失用于学习各领域间的分布一致性;第三项为Discrim loss用于减少类别间决策面之间的差异。最终总的目标函数可表示为这三个子目标函数之和即L = L classify + L MMD + L Discrim

因为训练深度卷积神经网络(CNN)需要大量的标注数据,在许多领域适应应用场景中实施这样的操作是不可行的;因此我们采用了基于ImageNet 2012数据集预训练的CNN模型作为基础,并对其进行针对性地微调(Long等人, 2017)。通常采用小批量随机梯度下降(SGD)算法作为基础优化器,在此过程中提出了一个通用型多源无监督域自适应框架(MUDA)。其中L_{mmd}损失项可以被对抗性损失、CORAL损失等其他适应方法替代;而L_{disc}损失项则可以替换为如L2正则化等其他形式;整个优化流程已在算法1中进行了详细阐述:

Experiments
我们对多特征空间自适应网络(MFSAN)在以下三个公开数据集上进行了系统性评估:ImageCLEF-DA、Office-31和Office-Home。该模型相较于最先进的领域自适应方法展现了显著的优势。我们的代码库可通过以下链接访问:https://github.com/easezyc/deep-transfer-learning
Data Preparation
- ImageCLEF-DA1是ImageCLEF 2014领域适应挑战的基准数据集,通过选择以下三个公共数据集共享的12个常见类别进行组织,每个数据集被视为一个领域:加州理工学院256(C)、ImageNet ILSVRC 2012(I)和PASCAL VOC 2012(P)。每个类别有50幅图像,每个域有600幅图像。我们使用所有域组合并构建三个传输任务:I、C→P;I、P→C;C、 P→I
- Office-31(Saenko et al.2010)是域适配的基准,包括从三个不同域收集的31个类中的4110个图像:Amazon(a),其中包含从Amazon下载的图像。com、网络摄像机(W)和数码单反(D),其中包含网络摄像机和数码单反摄像机在不同摄影设置下拍摄的图像。每个域中的图像都是不平衡的。每个域中的图像都是不平衡的。为了实现无偏评估,我们评估了所有三个转移任务上的所有方法→DA、 D→WD、 W→A.
- Office Home(V enkateswara et al.2017)是一个新的数据集,包含15588张比Office-31和ImageCLEF DA更大的图像。它由4个不同领域的图像组成:艺术图像(A)、剪贴画(C)、产品图像(P)和现实世界图像(R)。对于每个域,数据集包含在office和home设置中收集的65个对象类别的图像。我们使用所有域组合并构建四个传输任务:C、P、R→A.A、 P,R→CA、 C,R→PA、 C,P→R
Baselines and Implementation Details
- 基线在现实世界的视觉识别基准上有少量的MUDA工作。在我们的实验中,我们介绍了一种最新的深度MUDA方法深度鸡尾酒网络(DCTN)(Xu等人,2018)作为多源基线。此外,我们将MFSAN与各种SUDA方法进行比较,包括深卷积神经网络RESNET(He等人2016)、深域混淆(DDC)(Tzeng等人2014)、深适应网络(DAN)(Long等人2015)、Deep CORAL(D-CORAL)(Sun和Saenko 2016),反向梯度(RevGrad)(Ganin和Lempitsky,2015年)和剩余传输网络(RTN)(Long等人,2016年)。由于这些方法在单源设置中执行,我们为不同的目的引入了三个MUDA标准 :(1)源合并 :所有源域都合并到传统的单源VS目标设置中。(2) 单一最佳 :在多个源域中,我们报告了最佳的单一源传输结果。(3) 多源 :MUDA方法的结果。第一个标准证明了多个资源是否有开发价值;第二个标准评估我们是否可以通过引入其他资源进一步改进最好的SUDA;第三部分展示了我们的MFSAN的有效性。
- 为了进一步验证mmd损失和差异损失的有效性,我们还评估了MFSAN的几种变体:(1)MFSAN_{disc},不考虑mmd损失;(2) MFSAN_{mmd},不考虑圆盘损失;(3) MFSAN,同时考虑disc损耗和mmd损耗。对于所有特定于域的特征提取器,我们使用相同的结构(conv(1x1)、conv(3x3)、conv(1x1)) ,并且在网络末端,我们将通道减少到256个,就像DDC一样 (Tzeng et al.2014)。
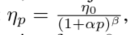
- 实现细节 :所有深度方法都是基于Pytorch框架实现的,并根据Pytorch提供的ResNet模型进行了微调(He等人,2016)。我们微调所有卷积层和池层,并通过反向传播训练分类器层。由于特定领域的特征提取器和分类器是从头开始训练的,因此我们将其学习速率设置为其他层的10倍 。我们使用动量为0.9的小批量随机梯度下降(SGD)和RevGrad中的学习率退火策略(Ganin和Lempitsky 2015) :由于计算成本高,学习率不是通过网格搜索选择的,它在SGD期间使用以下公式进行调整:

其中p是从零开始按线性规律增加至一的过程代表训练进度参数值为η₀= 0. ⁰¹ , α = 1 ⁰ , β = ⁰·⁷五,这些参数共同参与优化过程目的是加快模型收敛并降低源域上的误差水平。特别地 在训练初期为了避免不必要的噪声激活 我们采用了渐进式的方法来调节两个重要参数λ和γ 而不是将其固定在某个特定值上而是从零开始逐渐过渡至最终目标值:通过这种灵活的方式能够更好地平衡优化过程中的各项因素。

在实验过程中始终维持θ=10的值(Ganin和Lempitsky, 2015)。通过渐进调整策略有效降低了对模型参数敏感性的依赖,并显著降低了对MFSAN模型选择的需求。
Results
- 我们将MFSAN与三个数据集上的基线进行比较,结果分别如表1、2和3所示。我们还比较了Office-31数据集上有无椎间盘丢失的MFSAN,并在表4中列出了来自不同来源的每个分类器的结果和平均投票。从这些结果中,我们有以下深刻的观察:
1.源合并的结果优于单个最佳,这表明将所有源域合并到单个源域中有助于大多数传输任务。这可能是由于数据丰富。
2.MFSAN在大多数多源传输任务上优于所有比较的基线方法。令人鼓舞的结果表明,学习每对源域和目标域的多个域不变表示以及考虑特定于域的类边界是非常重要的。
3.将MFSAN_{mmd}与DAN(源组合)进行比较,唯一的区别在于MFSAN_{mmd}多个特征空间中提取多个域不变表示,而DAN在公共特征空间中提取公共域不变表示。MFSAN_{mmd}优于DAN(Source Combine),这表明很难为所有域提取通用的域不变表示。
4.MFSAN_{disc}在大多数多源传输任务上优于所有比较方法。这验证了考虑特定领域的类边界以减少所有分类器之间的差距可以帮助每个分类器从其他分类器学习知识。
5.将MFSAN与无disc损失的MFSAN_{mmd}进行比较,我们发现不同来源的有disc损失的分类器(MFSAN)的结果非常接近,而无disc损失的分类器(MFSAN_{mmd})的结果相差很大。结果表明,引入disc损失可以有效地缩小所有分类器之间的差距。
表1、2、3、4如下:



Analysis
- 功能可视化技术:在图3中展示了taskD潜在表示的生成过程→基于DAN框架(单一来源域与多源融合),该研究通过MFSAN降维技术实现对Donahue等人2014年提出方法的有效扩展。实验结果显示:
- 图3(b)和(c)相对于(a)表现出更好的分类性能;
- 图3(d)和(e)相比(c),进一步验证了我们的模型的有效性,
其优势主要体现在能够使特定领域特征分布与分类器表现保持一致。

- 算法收敛性:为探究本研究中提出的算法在不同磁盘丢失影响下的表现特征, 我们对MFSAN与MFSANMDD两种模型分别进行了任务D上的迭代性能测试, 并对其运行过程中的关键指标进行了详细分析(如图4(a)所示)。通过上述实验分析可知, 在初始阶段之后, 几乎所有模型均能稳定达到收敛状态, 具体而言, 在总迭代次数达5\times 10^4次后即可完成训练过程。值得注意的是, 在存在磁盘丢失的情况下, MFSAN模型的表现较无磁盘丢失的情况有所下降, 其中具有圆盘损失的MFSAN的结果在分类器之间具有较小的差距, 同时其准确率表现更为优异。

- 参数敏感性分析:为了简化分析,在实验中将平衡参数λ和γ赋以相等的权重以分别调节mmd损失与圆盘损失的重要性。随后探究λ对系统性能的影响,在 tasksD 和 W→安迪、C→P 的场景下进行采样测试(如图4b)。实验结果显示系统精度呈现先上升后下降的趋势,并呈现出钟形曲线特征。最终通过优化实验确定了最优解为 λ=0.5 时系统表现出最佳性能水平。
结论
传统的基于深度学习的方法主要聚焦于提取各个领域间的公共不变表示,在忽略单个领域内部的具体分布特性方面存在局限性。针对此问题,在本研究中我们提出了一种新型多特征空间自适应网络结构(MFSAN)。该网络能够同时学习多个独立域下的不变表示,并融合来自不同源任务分类器输出特征,在标准化的数据集上进行了系统性实验分析,并验证了所提方法的有效性和优越性。此外,在三种典型的数据集上进行广泛测试以评估性能表现,并展示了与现有方法相比的优势在于能够灵活集成多种不同的损失函数形式以提升模型泛化能力
