NNDL第五章笔记CNN
文章目录
- 卷积神经网络
-
-
卷 积
-
- 一维卷积
- 二维卷积
- 互相关
- 卷积的变种
- 卷积的数学性质
-
- 交换性
-
导数(难点)
-
5.2卷积神经网络
-
- 使用卷积来代替全连接
- 卷积层
- 汇聚层
- 卷积网络的整体结构
-
参数学习
-
- 卷积神经网络的方向传播算法:
-
几种典型的卷积神经网络
-
- LeNet-5
- ALexNet
- inception,残差网络,略
-
其他卷积方式
-
- 转置卷积
-
卷积神经网络
卷积神经网络 :是一种具有局部连接,权重共享等特性的深度前馈神经网络。
在用全连接前馈网络来处理图像时,会有以下两个问题:
- 参数过多,容易出现过拟合现象。
- 局部不变性特征:全连接前馈网络很难提取这些局部不变性,一般需要进行数据增强来提高性能。
目前的卷积神经网络一般是由卷积层,汇聚层和全连接层交叉堆叠而成的前馈神经网络,卷积神经网络有三个结构上的特性:局部连接、权重共享以及汇聚。
卷 积
卷 积 :是分析数学中一种重要的运算.在信号处理或图像处理中,经常使用一维或二维卷积。
一维卷积

我们可以设计不同的滤波器来提取信号序列的不同特征:
1,当我们令滤波器𝒘 = [1/𝐾,⋯, 1/𝐾]时,卷积相当于信号序列的简单移动平均(窗口大小为K)
2,当令滤波器𝒘 = [1, −2, 1]时,可以近似实现对信号序列的二阶微分,𝑥″(𝑡) = 𝑥(𝑡 + 1) + 𝑥(𝑡 − 1) − 2𝑥(𝑡)

滤波器𝒘 = [1/3, 1/3, 1/3]可以检测信号序列中的低频信息,而滤波器𝒘 = [1, −2, 1]可以检测信号序列中的高频信息。
二维卷积
给定一个图像𝑿 ∈ ℝ𝑀×𝑁 和一个滤波器 𝑾 ∈ ℝ𝑈×𝑉,一般 𝑈 << 𝑀, 𝑉 << 𝑁,其卷积为:
y_{i,j}=\sum_{u=1}^U\sum_{v=1}^Vw_{uv}x_{{i-u+1},{j-v+1}}

在图像处理中常用均值滤波,当前位置像素设为滤波器窗口所有像素的平均值。

互相关

互相关和卷积的区别仅仅在于是否进行翻转,互相关也可以称为不翻转卷积。
Y=W\bigotimes X=rot180(W)*X
卷积的变种
引入卷积核的滑动步长和零填充来增加卷积的多样性。
步长(Stride)是指卷积核在滑动时的时间间隔。
零填充(Zero Padding)是在输入向量两端进行补零。

假设卷积层的输入神经元个数为M,卷积大小为K,步长为S,在输入两端各填补P个0,那么该层神经元数量为(𝑀 − 𝐾 + 2𝑃)/𝑆 + 1。
- 窄卷积:步长𝑆 = 1,两端不补零𝑃 = 0,卷积后输出长度为𝑀 − 𝐾 + 1。
- 宽卷积:步长𝑆 = 1,两端补零𝑃 = 𝐾 − 1,卷积后输出长度𝑀 + 𝐾 − 1。
- 等宽卷积:步长𝑆 = 1,两端补零𝑃 =(𝐾 − 1)/2,卷积后输出长度𝑀。
卷积的数学性质
交换性
x\ast y=y\ast x
在宽卷积的情况下:\bar X\in R^{(M+2U-2)\times(N+2V-2)}

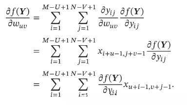
导数(难点)


所以可得:



其中当(𝑠 − 𝑖 + 1) < 1,或(𝑠 − 𝑖 + 1) > 𝑈,或(𝑡 − 𝑗 + 1) < 1,或(𝑡 − 𝑗 + 1) > 𝑉 时,𝑤𝑠−𝑖+1,𝑡−𝑗+1 = 0.即相当于对𝑾进行了𝑃 = (𝑀 − 𝑈, 𝑁 − 𝑉)的零填充。
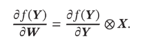
可以看出,发f(Y)关于X偏导数为W和\frac{\partial f(Y)}{\partial Yvc}的宽卷积,公式中的卷积不是互相关的,为了一致性,我们使用互相关的”卷积“:

5.2卷积神经网络
使用卷积来代替全连接
如果采用卷积来代替全连接:

卷积层有两个很重要的性质:局部连接,权重共享 同层权重相同,(提取不同的特征需要使用不同的卷积核)

卷积层
卷积层(特征提取器)作用:提取一个局部的特征,不同的卷积核相当于不同的特
征提取器,上一节描述的卷积层的神经元和全连接网络都是一维结构,为了处理图像方便:可以讲神经元设为三维,D个M\times N大小的特征映射构成。
特征映射:为一幅图在经过卷积提取到的特征,每一层可以使用多个不同的特征映射。
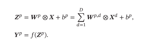
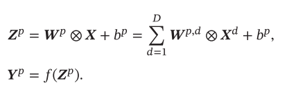
假设一个卷积层的结构如下:



其中W^P\in R^{U\times V \times D}为三维卷积核,f(.)为非线性激活函数,ReLU。

汇聚层
汇聚层 (子采样层):进行特征选择,降低特征数量,从而减小参数数量。
卷积层直接加分类器,分类器的维数高容易出现过拟合,为了解决过拟合可以在卷积层之后加一个汇聚层。 常用的汇聚函数有两种:
最大汇聚:对于一个区域所以神经元,选择最大值。
平均汇聚:取区域内所有神经元的平均值。
目前主流的卷积网络中,汇聚层包含了下采样操作,有时汇聚层还使用非线性激活函数:


卷积网络的整体结构

参数学习
在卷积网络中,参数为卷积核中的权重及偏置,也可以通过误差反向传播算法来进行参数学习。
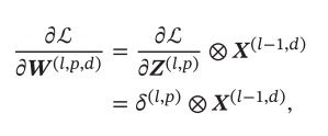
在全连接前馈神经网络中,梯度主要通过每一层的误差项𝛿进行反向传播, 并进一步计算每层参数的梯度.第l层的第p(1<=p<=p)个特征映射净输入:



式子中的损失函数相当于 f(Y),其中。

同理可得,损失函数关于第l层的第p个偏置b^{(l,p)}的偏导数为:

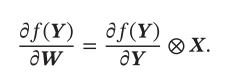
卷积神经网络的方向传播算法:
汇聚层:


几种典型的卷积神经网络
LeNet-5

与手写识别字类似。
输出层10个径向基函数组成。
连接表 :(没有看比较明白)

从公式可以得出,每一个输出特征都依赖所有特征,相当于全连接,可以使用连接表简化。


ALexNet
ALexNet:是第一个现代深度卷积网络模型,其首次使用了很多现代深度卷积网络的技术方法,比如使用GPU进行并行训练,采用 了ReLU作为非线性激活函数,使用Dropout防止过拟合。
inception,残差网络,略
其他卷积方式
转置卷积
因此,我们将低维特征映射到高维特征的卷积操作称为转置卷积,也称为反卷积。

