智慧楼宇篇 6 —— 室内定位技术(五) - 室内定位技术总结
室内定位技术总结
1 引言
在前期内容中, 笔者介绍了市面上较为常见的几种室内定位技术及其相关原理与系统组成, 具体包括RFID技术和非接触式电子标签技术, WIFI增强型室内定位系统, UWB射频频率下相关技术和iBeacon技术和蓝牙增强型室内定位系统等. 本期重点介绍各种室内定位技术, 并对这些内容进行一次全面总结. 以提供更为全面的知识背景为出发点, 在现有基础上扩展了部分未在前期详细讨论的技术
2 概述
近年来定位技术受到了广泛关注,并呈现出快速发展的态势。尽管室外定位技术已经取得了高度成熟度,并被广泛应用于实际场景中;然而由于其作为整体定位体系中的末端环节,在其发展过程中仍面临着较为缓慢的进度;随着现代人生活节奏的加快以及居住空间的不断优化,在室内的生活时间占比持续上升;因此在室内的位置确定问题的应用前景同样广阔;然而尽管作为LBS系统中的关键组成部分——最后一米的位置确定问题,在此领域的研究与应用仍然备受关注;尽管如此目前的技术成熟度仍显不足;与GPS等典型的室外全球导航系统相比;现有的一些企业基于此开发了各自一套统一的技术规范体系;目前多数企业基于此构建了各自独立的技术规范体系;为了满足不同应用场景的需求这些规范体系主要采用了不同的协议框架并形成了多套相对完善的解决方案;这种分散化的组织架构也给实际应用带来了诸多不便;
室内定位技术的主要应用领域涵盖: 室内精准导航系统、大数据分析技术、精准营销方案以及社交网络平台等。
室内定位技术的应用并非主要关注点,而是通过整合位置数据与消费行为数据来充分挖掘其潜在价值
(1)室内精准导航
在大型 indoor public areas(大型 indoor public areas),如商场超市(商场超市)、酒店(酒店)、机场(机场)、博物馆(博物馆)、音乐厅(音乐厅)以及会展中心(会展中心)等场所中(场所中),顾客常常难以快速找到自己想去的目的地(目的地)。这种情况下(情况下),室内定位技术可被用于室内导航定位系统(用于室内导航定位系统)。目前国际与国内众多知名场馆均已有相关应用技术(均已有相关应用技术)。例如Google 室内地图广泛覆盖北美、欧洲、澳大利亚和日本等地的一万多家知名场馆,并且其数量持续增长中。而在我国境内,则有首都国际机场、上海浦东国际机场、上海虹桥国际机场等多处 prominent venues 也已成功部署室内定位系统以提供服务(也已成功部署室内定位系统以提供服务)。该技术不仅帮助顾客定位出口及洗手间等公共设施(不仅帮助顾客定位出口及洗手间等公共设施),还能够追踪停放在停车场内的车辆以及行李传送带上的行李等物品信息(还能够追踪停放在停车场内的车辆以及行李传送带上的行李等物品信息)。特别值得一提的是首都国际机场成功开发了"airport guidance" 功能,在提升旅客查询效率方面发挥了重要作用
(2)大数据分析
传统的商业数据分析主要依赖于问卷调查、手动计数等人工统计手段。这些方法仅停留在统计数据层面,并不能算作大数据应用;而且也难以实现位置级的精准数据采集。相比之下,室内定位系统具备高精度和大规模的数据采集能力,并能够将用户的实时位置信息与其行为特征及兴趣偏好建立紧密关联。因此,在特定场景下对室内定位数据进行系统化的整合与分析流程具有重要的商业价值和应用前景。通过这一技术路径的具体实施,在深入挖掘用户行为特征的同时还能精确监测用户的购物频率和停留时长等关键指标;这些信息可进一步帮助识别用户的类型、兴趣偏好以及消费模式特点;最终能够全面评估店铺运营状况并揭示品牌间潜在的合作机会。以万达广场为例,在必胜客消费的顾客中发现有大量也会选择ZARA进行购物;基于此发现采取针对性联合促销策略后取得了显著的好转效果
(3)个性化营销
室内定位显著提升了用户的定位精度, 这使得商家能够更为便捷地为顾客提供个性化"基于位置的服务"(LBS)。通过分析用户的既往位置与实时位置, 室内定位技术能够帮助商家优化服务策略, 向潜在顾客推送具有针对性与个性化特征的广告与资讯。例如, 在用户进入自己常去店铺周边区域或某一特定地理分隔带时, 店家可以通过APP等平台向用户提供当前新品导购信息及优惠活动等, 从而切实满足用户的实际需求。
(4)人员管理
人们约占一天时间的80%都处于室内。
借助先进的高精度室内定位技术,在人群密集且空间复杂的大型公共场所中,
家长可以通过这一技术找到自己的孩子。
随着电子商务的发展迅速和普及,
在现代生活中扮演重要角色的主要职业包括外卖配送人员。
该技术不仅能够帮助识别快递员和外卖配送人员的位置信息,
在复杂的建筑环境中也能准确追踪这些配送服务提供者。
除了上述领域外,
在员工考勤等方面也有广泛应用。
(5)物品管理
除用于寻人外, 室内定位系统亦能方便地进行物位查找。例如, 在仓库内进行货物定位, 在生活中进行钱包及其它物品的查找, 以及无需人工干预地开灯开门等操作。总体而言, 只要预算合理, 室内定位技术适用于将人、物品和位置相联系的各种应用场景。
(6)社交网络
随着时代发展用户的社交需求愈发突出
3 常用算法
3.1 近邻法
选择信号最强的感知设备进行定点;在WIFI热点定位方法下,在当前连接的基础之上获取精确坐标,在该坐标基础上确定目标物体所在位置;当目标物体被检测到时,在该检测点上生成对应的目标物体信息,并将该检测点作为最终确定的目标物体位置基准。
3.2 三角测量法
利用信号的各种参数获取目标与AP的距离或角度,并通过几何方法确定位置。涵盖到达时间法、相对到达时间法、到达角度法以及基于信号强度的测距方法等。
(1)到达时间法
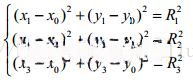
到达时间法(TOA, Time of Arrival)是一种用于确定未知节点位置的技术。该方法基于三个已知参考站点的位置信息及其相互距离(由绝对时间乘以传播速度计算得出),未知节点的位置可通过几何方法计算确定。
其基本原理如下:通过测量待定点 (x₀, y₀) 与已知至少三个基准点位置坐标 (xi, yi) 间的信号到达时间 ti,并结合信号传播速度 v 的信息计算出待定点至每个基准点的距离值 Ri。基于每个基准点位置坐标 (xi, yi),构造半径为 Ri 的圆形区域。这些圆形区域的共同存在的交点位置即为目标点 (x₀, y₀) 的位置坐标。

TOA定位方法的主要缺点在于时钟同步偏差和测量精度不足。若信标节点与待定位节点未能实现精确的时间基准对齐,则会导致信号到达时间出现偏差(即R_i发生偏差),从而使得基于三个圆形交界的定位方法难以实现精确交点确定(即三个圆无法实现精确交点确定)。在这种情况下,交汇区域不是一个单一的位置点而是扩展的空间范围(即交汇区域不是一个单一的位置点而是扩展的空间范围),因此会产生较大的定位误差(即产生较大的定位误差)。
(2)到达时间差法
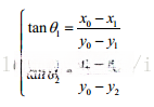
到达时间差法(TDOA, Time Difference of Arrival)是一种定位方法,在该方法中, 各个接收节点同时发射两种不同传播速度的信号, 通过接收端的时间差对齐来计算目标位置参数. 具体而言, 该算法首先通过时间差计算出目标与各基准点之间的距离; 进而通过三圆相交方法确定目标节点的坐标. 待定位点位于双曲线方程上. 该算法有以下两种实现方式


方式一: 接收装置同步发送两种不同传播速率的无线电信号;接收端设备并基于到达时间差计算待定位点与信标点之间的距离;利用测量结果推导出待定位点与至少三个信标点之间的距离关系;通过几何分析方法确定目标点的位置坐标。
该方法采用移动台至两个基站的时间差值(TOA)进行计算,在此基础之上求得所需的结果。此时仍需确保各基站间的时钟同步精度,在实际应用中需要注意这一前提条件的满足度。然而,在两个基站间的传播特性较为相同时,在多径影响下产生的误差将得以减小。
从待定点坐标位置(x₀, y₀)向其发射两束测距波波束线至其接收器位置坐标系中的两点坐标位置坐标系中的两点坐标位置(x₁, y₁)和(x₂, y₂),因为这两点与待定点之间的测距存在差异性测距误差性测距漂移性等异质因素的影响关系导致结果偏差性测不准问题性测误差过大问题性测不准现象的问题性测不准误差范围较大问题性测不准偏差明显问题所以需要采取更为精确的方法进行计算和处理
该方式是基于两个移动机接收端捕获到的目标信号间的相关运算来计算其时间差值(即TDOA);即使基站与移动机之间存在同步偏差,在这种情况下也可以通过相关估计方法计算出相应的TDOA值并实现定位计算以获得较高的定位精度;尤其在蜂窝网络环境下,在保证较高的定位精度的同时对无线网络设备要求相对较低,并且这一方法已成为当前研究的一个热点方向。
(3 )到达信号角度
到达信号角度法(AOA, Angle of Arrival),是一种基于目标节点向信标节点发送信号的技术。该方法通过利用信标节点接收并测量信号的传播方向来确定目标节点的位置信息。
其基本原理是:目标节点向多个已知位置的信标节点发送未知频率或相位的信号波,在每个信标节点处测量来自目标节点的所有未知频率或相位信号波的到达角度AOA(Angle of Arrival),然后通过分析这些AOA方向线确定它们的交点位置从而计算确定目标节点的位置坐标这一过程在平面坐标系中实现


通过解析求解非线性方程组确定待定位节点的位置(x₀, y₀)。AOA法的定位精度受天线测角精度的影响,在提高信标节点布设密度的同时可借助天线阵列技术来提升定位精度。
(4)到达信号强度
该方法采用到达信号强度(RSSI:Received Signal Strength Indication)作为核心参数进行定位。基于接收到的信号强度值和传播损耗模型计算公式进行推导分析后发现可以通过三边定位算法求解各节点的位置坐标
基于信号强度的定位原理如下:首先通过测量信号接收端的接收功率Pt;然后基于传播损耗模型计算各节点之间的距离d;接着运用三边定位方法确定信标节点的位置坐标。
室内信号传播呈现复杂的特征,无法通过理想传播模型准确计算出准确的距离。因此,在系统设计中经常采用以下简化路径损耗模型来估算。

Pt:为发射信号功率
K :依赖于天线特性和平均信道损耗的常系数
d0:天线远场的参考距离
γ:为路径损耗指数
3.3 指纹法
在开始定位之前对各个地点上的信号特征(各Wi-Fi强度)进行一次全面测量,并将其数据录入指纹数据库。当执行定位操作时,系统会利用当前设备采集到的信号特征数据与预先建立的指纹数据库中的信息进行比对分析。
4 室内定位技术比较
4.1 射频识别(RFID)室内定位技术
采用射频识别技术进行室内定位时,固定式天线将无线电信号转换为电磁场,经由附着于物品的标签通过磁场感应出相应数据并完成数据传输.通过多路双向通信实现信息交互,最终完成目标定位任务.
该技术主要采用433MHz、800/900MHz以及2.45GHz三个标准频段进行室内定位。其覆盖范围在几米到几十米之间不一,并具有极短的感知时间,在几毫秒内即可完成运算数据获取;定位精度通常在3米左右,在经过优化设计后可实现厘米级的精度。得益于其独特的电磁场传播特性以及非视距传输优势,在覆盖范围上具有显著优势的同时标志体积较小且成本较低;然而由于缺乏通信能力以及抗干扰能力不足的原因难以与其他系统无缝对接 并且未能充分满足用户的高安全性和国际标准化需求
RFID感应距离:室内几米到几十米不等。
三点定位方式下,RFID室内定位精度约在3m左右。
该技术可实现一种广义室内定位模式的应用场景设定:即基于射频信号的读取与匹配原理开展空间信息获取。当待定位置设备(配备有RFID芯片)处于扫描区域时,则将此扫描装置视为标记点或参考基准;随后系统即可实现对目标位置的有效识别和追踪。这种方法由于其高效性与可靠性特点,在仓储物流中心、工厂数字化车间以及商场等场所中得到广泛应用
我们把以下5个维度的程度定义为:
精确度:很差 - 较差 - 一般 - 较好 - 很好
穿透性:很差 - 较差 - 一般 - 较好 - 很好
抗干扰性:很差 - 较差 - 一般 - 较好 - 很好
部署复杂性:很简单 - 较简单 - 一般 - 较复杂 - 很复杂
成本:很低 – 较低 – 一般 – 较高 – 很高

以上定义下同。
4.2 WIFI室内定位技术
WIFI定位技术分为两类:一类是基于移动终端设备及三个无线接入点的技术,在此方法下采用差分算法计算出目标物体的空间坐标参数从而实现对人与车的三维空间定位;另一类是预先采集海量确定位置信息库并通过该信息库建立数据库模型随后利用新加入设备的数据进行比对分析以完成目标位置的精确识别即所谓的"指纹识别"技术。
该系统具备广泛的应用潜力,在大范围定位、实时监控及对象跟踪等大规模定位任务方面展现出显著优势;整体精度表现较为优异,在实际应用中通常能达到厘米级精度水平;然而,在室内环境下定位精度通常在3米至5米之间,并不能满足高精度室内定位的需求;随着WIFI接入点与移动终端设备的日益普及,在提升定位性能的同时也实现了数据传输功能的整合配置;这不仅降低了硬件成本投入的需求,并且有效避免了射频(RF)信号传播过程中的干扰问题。
WIFI感应距离:50m(大致数量级,下同)。
WIFI室内定位精度3m-5m。
WIFI定位适用于医疗机构、工厂、商场等各种需要定位导航的场合。

4.3 超宽带室内定位技术
超宽带定位技术是一种新型的技术手段,在实验室中通过预先设置好固定位置的参考点(锚节点和桥节点),与新增未知位置的设备( blind nodes)建立连接,并采用三角测量或“指纹识别”等方法来实现目标定位。
超宽带通信系统不依赖于传统的载波传输方式,而是采用发送端和接收端发送具有纳秒或更短持续时间的极窄脉冲来进行信息传递,在频谱资源利用上实现了GHz量级的频谱效率提升。该技术具备以下显著优势:1)能够穿透障碍物;2)抗多径干扰能力强;3)确保数据传输安全;4)系统架构简单;5)提供高精度定位能力。然而,在实际应用中存在一定的局限性:引入新的盲节点设备会导致通信功耗显著增加,并且在实际部署中仍面临较高的初始投资成本。
超宽带感应距离:50m
超宽带定位精度可以达到10cm。
超宽带室内定位技术在多个领域均可实现室内精准定位与导航功能。该技术不仅适用于人还可应用于大型物品的具体应用范畴中,在具体场景中可实现汽车地库的停车导航、矿井内人员的位置追踪以及贵重物品的储位管理等功能

4.4 蓝牙室内定位技术
通过在室内布置多个蓝牙局域网接入点来实现
该技术的主要优势在于其体积小巧、覆盖范围短以及能耗低,并且便于整合到智能手机及其他便携式电子设备中。当蓝牙功能被启用时即可实现定位操作。值得注意的是,在复杂的空间环境中虽然不会受到距离限制(即视距无关),但该系统的稳定性稍有欠缺;此外,在复杂空间环境下还容易受到噪声信号的干扰,并且这些系统的成本较高;因为用于定位的技术不具备数据传输能力(即无法直接传递信息),因此需要额外配置数据传输系统。
蓝牙感应距离:10m
蓝牙室内定位技术精度,国内有厂家做到1m-2m。
蓝牙技术在室内空间中主要用于实现人员的局域式追踪。常见的场景包括地下一层区域、地下商业区等。如今已有多家企业将这一技术应用至基于地理位置的服务推广工作。其中突出的例子包括深圳 Kaifeng 购物中心和北京 Sunlit 平安中心。

4.5 红外线定位技术
红外线定位系统分为两种方案:一种是基于移动目标自身携带特征标识的设计;另一种则是通过多组发射接收阵列构建感知网络实现动态目标追踪。具体而言,在方案一中,移动目标携带特定的红外编码器,并采用调频技术发射连续波段;利用内置成像模块捕获空间环境数据;随后通过解码处理实现精准定位。而方案二则构建多组发射接收阵列形成感知网络;能够实时追踪快速移动的目标物体;其局限性在于只能在短距离内工作;受限于传输距离限制;当遇到障碍物或环境因素干扰时(如光线穿透或烟尘阻隔)会显著影响测量精度。此外该技术方案需要在每个潜在遮挡区域及拐角位置均部署接收端设备从而导致系统的复杂性和高昂成本;即使如此其覆盖范围仍显有限
红外感应距离:可视距离
红外定位技术精度大概为2m-4m。
红外线室内定位技术特别适合在实验室环境中直接用于精准定位简单物体的轨迹,并且用于室内移动机器人位置的实时跟踪。

4.6 超声波室内定位技术
该系统基于超声波测距技术构建而成,并由多个应答器与主测距器构成:将主测距器安装于被测试物体上,在其发出同步无线电指令后各应答器依次向其发送超声波探测指令
超声波室内定位整体精度达到厘米级水平,在架构上较为简单且具备一定的穿透性能。然而其不适用于大型场合运行。另外反射测距受到多径效应和非视距传播的影响较大,在这种情况下会需要精确分析计算并造成精确分析计算所需的底层硬件设施投资成本过高。
超声波感应距离:50m
超声波室内定位,国内有厂家做到30米范围内精度可到达5cm左右。
超声波定位技术得到了在便携式数字记事本上的广泛应用,并且也被用来进行海上 mineral exploration。此外还主要用于无人员操作的工业场所中对物品进行定位。

4.7 ZigBee室内定位技术
ZigBee室内定位系统基于多个潜在位置的未知节点与一个已知位置基准站与核心网关之间的网络架构构建。这些未知节点间通过相互协作完成整体定位任务
ZigBee属于新兴技术的一种,在短程低速无线网络领域具有重要地位。这些传感器消耗少量能量,并通过无线电波传递数据从一个节点到另一个节点。它可被视为一种高效的低成本通信系统。然而,在实际应用中,ZigBee的技术效率虽然很高,但其信号传输却面临多径效应及移动物体带来的显著挑战,这直接导致定位软件的成本相对较高,提升空间仍然较大。
ZigBee感应距离:100m
ZigBee室内定位精度约3m-10m。
ZigBee室内定位已被广泛应用于现代化企业中,并被用作其人员在岗管理系统的主要手段之一。

5 总结
除了上述提到的室内定位技术之外,在该领域中还存在利用计算机视觉、图像识别、磁场感知以及信标等多种定位方式的技术方案。然而,在实际应用中,大多数相关技术仍停留在研发试验阶段,并未形成成熟稳定的商业产品。目前尚未有成熟精确的产品进入市场应用。
当前情况来看,在市场上的应用也逐渐成熟的iBeacon(蓝牙)、RFID、WIFI以及超宽带室内定位四种技术构建了一套较为完善的室内定位技术体系。其中前三类技术的适用范围更为广泛;然而超宽带技术因其高昂的成本以及部署过程中的复杂性自然受到诸多限制;同时由于其现阶段因能量损耗等问题以及难以与移动终端设备良好融合等原因暂且难以推广开来;相比之下WIFI室内定位凭借其低成本和便捷性在实际应用中展现出显著优势;但其在实际性能上仍存在一定的局限性;而蓝牙技术下的iBeacon方案则在各项性能指标上表现均衡;此外兼具标识识别功能的RFID技术也在市场中占据了一席之地
相较于历经数十年发展的户外定位技术而言,在国内室内定位领域目前仍处于起步阶段。行业内对这一新兴技术的认知与接受程度以及由此衍生出多种新型应用及商业模式的发展进程均需经过一定时间积累才能显现成效。由此带来的相关市场启动进程缓慢以及潜在业绩未达预期的风险不容忽视。此外该领域的主要瓶颈包括但不限于:① 技术标准尚未统一;② 室内地图数据不够完善;③ 盈利模式仍不够清晰。伴随5G时代的降临是否会带来更多种类的室内定位技术创新值得期待
丰富的图文资料内容,请随时关注微信公众号"智物客"。该公众号致力于与我们分享物联网、智慧城市领域的技术和解决方案。

扫码关注
