ANOMALY BERT 解读
发布时间
阅读量:
阅读量
目录
一 提出动机
二 Methodology
三. 实验结果

出处: ICLR workshop 2023
可视化效果:

一 提出动机
动机:无监督 TSAD 领域内,“训练集” 也缺失:真值标签(GT);换句话说,一个点在训练集内是否异常是未知的 → data degradation scheme
受 NLP 领域 BERT 的启发,通过替换输入数据的随机部分,训练模型以找到退化部分来修改掩模语言建模(MLM);此方法有助于检测:真实的时序内的各类非自然序列。
二 Methodology
1. 模型架构:(基于 “分类” 的时序异常检测方法)

从标准时间序列中截取特定片段,并通过指定的异常值生成方法制造异常样本。将这些异常样本输入Transformer模型,以获取各片段的异常评分预测。该过程针对的是片段级别的异常分类任务。经过大量此类数据训练后的BERT模型,能够有效识别时间序列中每个片段是否出现异常。
2. 详细讲解:
2.1 注意力机制的改进
在每个注意力头中,自注意力的计算公式为:

添加相对位置偏置 B ,模型能更好地理解特征间的相对位置关系,提高对时序异常的检测能力。
2.2 合成异常及数据增强
随机选择每个时序窗口内的时序片段,通过下列四种 “合成异常” 方式,进行相应数据增强:

1. 带有窗口外部的加权序列(软替换),替换为:原始区间和外部区间的加权和;
2. 恒定序列(统一替换);
3. 加长或缩短的序列(长度调整);
4. 单个峰值(峰值噪声)。
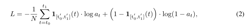
2.3 训练损失函数:(交叉熵损失)
期望模型对人工构造的异常片段进行评分时,结果应接近1,以确保这些异常能够被准确识别。




三**. 实验结果**

全部评论 (0)
还没有任何评论哟~
