Collaborative Metric Learning——paper 笔记
- Collaborative Metric Learning
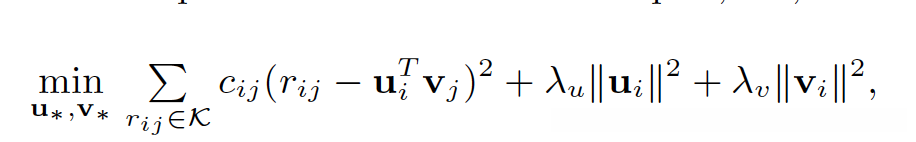
协同过滤回顾并复习了相关内容。(回顾和复习了CF)基于模型的方法采用矩阵分解技术实现。损失函数定义为原始评分矩阵与重构评分矩阵之间的平方差,并通过梯度下降算法进行优化学习过程。(这里的主要内容)这一部分主要探讨了三角不等式。(此处是主题句)任意两对节点之间的距离之和均大于这两点之间的直接距离。(这是定理陈述)隐含着如果一个节点x同时与y、z节点相似,则y与z之间也应具备一定的相似性。(这是推论说明)在上述提到的技术基础之上(这里补充说明),我们采用pairwise格式的数据集来进行训练。(这是具体操作说明)
Large Margin Nearest Neighbor


loss=loss_pull+loss_push
Implicit Feedback: 在损失函数中引入c_ij项,并分别采用不同的权重来调节显示反馈与隐式反馈的影响程度。

Bayesian Personalized Ranking: pairwise方式训练(like j better than k)
loss:-log( sigmiod(u_iv_j-u_iv_k))+正则项

本文提出的方式
只是用了l_push,没有使用 l_pull

采用加权排序损失(weighted ranking loss)作为评估标准。简而言之,在用户的推荐流程中,正向反馈与物品的位置具有相关性。具体而言,在排序位于后端的用户会受到负面的影响,并对排序位于后端的正向反馈进行惩罚。从而使得正面反馈项能够被优先排列。值得注意的是,在实际计算过程中耗时较多。

集成了物品特征

x 被定义为物品 j 在 m 维原始特征空间中的向量表示;f(x),则被视为我们需要学习的一种变换函数;通过投影矩阵 P 将其映射至用户-物品共存的空间中。当v与 f(x)之间的距离较大时,则损失函数计算的是 v_j 与变换后的表示 f(x) 之间的欧氏距离;换言之,在损失函数中假设 v_j 的分布遵循以 f(x)为中心的高斯分布。
在训练时,同时最小化 L_m 和 L_f.
正则化
不采用 L2 范式的原因在于,在这种情况下所选择的基准点并无实质意义。
这里正则化协方差矩阵(C为协方差矩阵)

评价:从整体来看,并未有重大的创新或突破。其理论基础源自多篇论文的思想整合。整体阅读时感觉有些凌乱。尽管文章结构主要为了阐述自身观点而设计。然而各部分内容之间的衔接不够紧密。例如第二部分就存在这一问题
