机器学习 - 隐马尔科夫模型(Hidden Markov Model)

1. 马尔可夫模型
下面介绍几个马尔可夫模型中的重要概念:
1.1 一阶马尔可夫假设 (first order Markov assumption)
n时刻的观测值只依赖于n-1时刻的观测值,即:
p(x_n|x_{n-1},x_{n-2},...x_0) = p(x_n|x_{n-1})
1.2 转移概率
a_{i,j} = p(x_n = S_j|x_{n-1} = S_i)
1.3 时不变性

2.隐马尔科夫模型
2.1 引入问题
假设有一个人被锁在房间里待了很多天,但是他想知道外面的天气是什么。他猜测天气的唯一途径就是看每天来照顾他的人有没有带伞。
这样,观测状态(observed state)就是{带伞,不带伞}; 隐藏状态(hidden state)就是{晴,雨}。
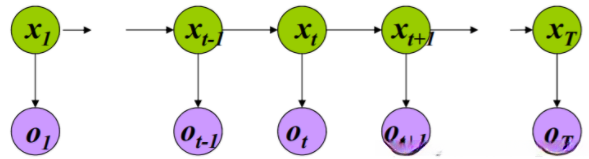
2.2 图像化表示

绿色圆圈是hidden state, 这是一个马尔可夫模型;
紫色圆圈是observed state, 只由对应的hidden state决定
2.3 形式化表示

- \{S_1,S_2,...S_N\}表示hidden states的状态
- \{K_1,K_2,...K_N\}表示observation的状态
- \Pi=\{\pi_i\}是初始状态的概率
- A=\{a_{i,j}\}是transition probability a_{i,j}=p(x_n=j |x_{n-1}=i)
- B=\{b_{i,j}\}是observation state probability b_{i,j}=p(y_n=K_j|x_n=S_i)
2.4 HMM 能解决的问题
HMM的初始化模型\mu = \{A,B,\Pi\} , 观测序列为\sigma = \{O_1, O_2,...O_N\}
- 问题一(estimation problem):计算某个观测序列出现的概率
- 问题二(decoding problem):已知观测序列,求最有可能的hidden state
2.4.1 问题1(estimation problem)

2.4.1.1 Solution1

使用全概率公式,按照hidden states 拆分:
P(O|\mu) = \sum _{X} P(O,X|\mu)
其中,P(O,X|\mu) = P(X|\mu)P(O | X, \mu)
故:P(O|\mu) = \sum _{X} P(X|\mu) P(O|X,\mu)~~~~(1)
其中,
P(X|\mu) = \pi_{x_1}a_{x_1x_2}a_{x_2x_3}...a_{x_{T-1}x_T}
这是因为P(X|\mu)表示:在HMM 模型的初始条件下,hidden state为X的概率。
还有:
P(O|X,\mu) = b_{x_1o_1}b_{x_2o_2}...b_{x_To_T}
这是因为P(O|X,\mu)表示:在HMM模型的初始条件下,以及hidden states的条件下,观测值为O的概率。由于观测值只和hidden state有关,这里的 \mu 并没有作用。
这个算法的复杂度为 O(2TN^T), 其中T为序列长度,N为状态个数。
2.4.1.2 前向算法 (Forward Algorithm)
上面这种做法的明显不足就是复杂度太高了!前向算法通过动态规划来降低复杂度。
【算法1】前向算法
定义\alpha_t(i) = p(o_1,...o_t,x_t=i|\mu),则 P(O| \mu)= \sum _{i=1}^N \alpha_T(i)
又有:
\alpha_{t+1}(j)=p(o_1,...o_{t+1},x_{t+1}=j|\mu) \\ =\sum _{i=1}^Np(o_1,...o_{t+1},x_{t+1}=j,x_t=i|\mu) ~~~①\\ =\sum _{i=1}^Np(o_1,...o_{t+1},x_{t+1}=j|x_t=i,\mu)p(x_t=i|\mu)~~~~② \\ = \sum _{i=1}^Np(o_1,...o_{t}|x_t=i,\mu)p(o_{t+1},x_{t+1}=j|x_t=i,\mu)p(x_t=i|\mu)③ \\ =\sum _{i=1}^Np(o_1,...o_{t},x_t=i|\mu)p(o_{t+1},x_{t+1}=j|x_t=i,\mu)~~~④ \\ =\sum _{i=1}^Np(o_1,...o_{t},x_t=i|\mu)p(x_{t+1}=j|x_t=i,\mu)p(o_{t+1}|x_{t+1}=j)~~~⑤ \\ = \sum_{i=1}^N \alpha_t(i)a_{ij}b_{j o_{t+1}}
②->③:独立性假设
③->④: 第一项第三项合并
④->⑤: 第二项拆分
这样,有\alpha_{t+1}(j) = \sum_{i=1}^N \alpha_t(i)a_{ij}b_{j o_{t+1}},又有 P(O| \mu)= \sum _{i=1}^N \alpha_T(i),于是复杂度为 O(N^2T)

2.4.2 问题二(decoding problem)
解码问题就是,已知observed state, 求最有可能的hidden state,即
\argmax_{X} P(X|O)
【算法2】viterbi 算法
令 \delta_t(j)= \max _{x_1,...x_{t-1}}p(x_1,...,x_{t-1},x_t=j,o_1,...o_t)
它代表了一个最大概率,如下图所示:
求 \argmax_{X} P(X|O)等价于求\argmax_{X} P(X,O) 等价于求\argmax_{j} \delta_T(j)
递推公式:
\delta_{t+1}(j) = \max_j \delta_t(i)a_{ij}b_{j o_{t+1}}
意思是,每个时刻的前一个时刻一定是概率最大的,在当前时刻也应该选择一个使概率最大的隐藏状态j。这样一步步把使得概率最大的隐藏状态记录下来,就是最后的结果。
2.5 HMM的应用
-
语音识别
-
\bigstar 汉语拼音转汉字
(我大二的时候居然还写过这个,我可真厉害!要好好回忆一下细节…) -
POS (part of speech) tagging

