【点云系列】DAGC:Employing Dual Attention and Graph Convolution for Point Cloud based Place Recognition
文章目录
-
1. 简介
-
2. 动机
-
3. 方法
-
-
整体网络架构
-
双向attention模块
-
- 基于点级别的attention
- 基于通道级别的attention
-
残差图卷积模块
-
特征聚合:
-
-
4. 实验
-
- 实验效果:
- 消融实验
-
5. 参考
1. 简介
一句话介绍:基于DGCNN与双向attention
会议: ICMR 2020
论文:https://dl.acm.org/doi/abs/10.1145/3372278.3390693
代码:https://github.com/dawenzi123/DAGCN
2. 动机
本质上来讲,对于基于点云检索的场景识别主要难点就是如何有效的编码局部特征到有着丰富表征的全局特征中。
特征有各种各样的方式,但关联性如何保留是难点中的难点。所以本文提出了基于双向Attention机制 的残差图卷积 网络(DAGC)。
3. 方法
整体网络架构
-
特征提取: 提取点级别的局部特征。
- 双向attention模块
- 残差图卷积 ResGCN模块
-
特征融合:NetVLAD,这部分同PointNetVLAD。

双向attention模块
如下图3所示,
使用该模块来从点云的2个不同视角提取局部特征。
框架包括两个并行attention部分:
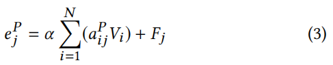
- 基于点级别的attention :每个点对于目标点的贡献值
- 基于通道级别的attention :衡量不同特征的重要性

基于点级别的attention
Q 与K: 由 特征F 经过卷积层 & Batch Norm & ReLU来产生。
A^P: Q 与K相乘,然后取softmax函数\sigma。
a^P_{ji}则衡量的是第i个点在第j个点上的影响力。

最后特征e^P是所有点特征和的加权值与源特征相加。 attention的部分可以看成是特征的增益。

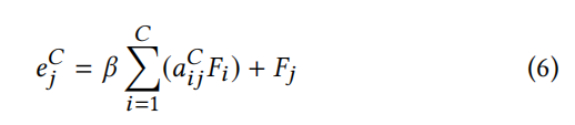
基于通道级别的attention
这里唯一的区别就是Q和K都变成了F,更类似自相关Attention。


残差图卷积模块
模块如图4:
- 保留了PointNet当中的2个Transform 模块来实现置换不变性
- 使用DGCNN里的EdgeConv
- 在每个EdgeConv后面加了残差层 ;

对于l+1层点v的特征f_{v_{l+1}} 计算如公式7:
M是特征聚合函数, h是特征更新函数, N是点v的近邻集合, f_{u_l}则是每个邻居节点的特征,W_h是h的可学习的权重


最后的公式 = 残差层+ 特征:

特征聚合:
同PointNetVLAD。
4. 实验
实验效果:

消融实验
Table 3 :
CA :Channel-wise attention module
PA :Point-wise attention module
DAGC-CA :仅用CA的DAGC
DAGC-PA :仅用PA的DAGC
DAGC-ResGCN : 不使用 attention模块(CA和PA)的DAGC
DAGC-CA+PA : CA 与PA模块 点加模式
DAGC-CAXPA : CA 与PA模块 点乘模式
B : 将 双向attention模块放于ResGCN模块前面
A: :将 双向attention模块放于ResGCN模块后面
B+A :在ResGCN模块前后均放置双向attention模块
Table 4 :
DAGC-GCN :仅有图卷积模块,没有双向attention模块
DAGC-DA :仅有双向卷积模块,没有图卷积模块

5. 参考
暂无
