arxiv-2024-Test-Time Domain Generalization for Face Anti-Spoofing
发布时间
阅读量:
阅读量
一、研究背景
1.对抗性学习、元学习、对比学习等策略在训练过程中保持不变的领域特征,并通过这一过程提升模型的泛化能力。然而,在面对与源领域存在显著差异的目标领域时,其性能表现仍会受到影响。
2.基于域自适应的方法需要投入大量数据量进行模型更新,在计算资源上存在较大开销的同时也难以满足实际应用场景的需求。
3.传统的测试阶段领域泛化的基础架构往往显得过于粗略且缺乏自我适应机制。
测试数据不仅用于判别分类问题, 还用于提高模型的鲁棒性.
三、研究目标
1.通过使用测试集来提升模型的泛化能力。
2.尽可能完整地表达出已知风格区域,并通过将未知域的数据映射至已知区域中实现跨领域学习。
四、技术路线

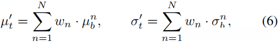
开发Test-Time Style Projection(TTSP)方法,并基于一组样式基底的方法能够将未知域中的样本映射至源域的空间分布中。
- 计算通道维度的均值方差表征风格基底。

- 利用余弦距离,计算当前图片与风格基底之间的风格分布差异。

- 得到投影风格(相似度越大,权重越大)

- 得到图片特征F_t的风格映射特征{F_t}'

提出Diverse Style Shifts Simulation (DSSS)及其两个相关的损失函数,并通过可学习的风格基底生成多样的分布偏移。
Style Diversity Loss:令风格基底正交(风格基底在超球面上自适应习得)

Content Consistency Loss:该损失旨在确保原始图像与生成图像保持高度一致,并减少风格基底对内容信息的影响。

五、实验结果

全部评论 (0)
还没有任何评论哟~
