Cascading Residual Graph Convolutional Network for Multi-Behavior Recommendation (TOIS 2024)

Motivation:
在真实场景中,在完成与物品的互动时(往往会在各种情况下),人们通常会采取一系列具体的行动去了解该物品的相关细节信息(从而更准确地评估)其是否符合个人偏好(即是否符合他们的个人偏好)。这些互动过程往往按照特定顺序展开(其中关键的是),其中不同的互动方式则反映了用户对其目标的兴趣点和关注重点(即不同方面的信息或特征)。
现有的多行为推荐方法大多采取先从不同行为中分别提取特征 ,然后综合特征进行最终预测 的策略。
1.现有的方法在学习用户偏好时缺乏对不同行为之间内在联系的利用。
2.现有的方法在建模过程中过度依赖复杂的模型架构,并引入大量额外参数以提高预测精度
因此:
本文提出了一种用于多行为推荐的轻量级多行为推荐模型——级联残差图卷积网络(简称CRGCN) ,其旨在通过不引入任何附加参数的情况下(相较于基于单一行为的推荐模型而言),实现不同行为间关联性的明确利用以促进嵌入学习效果。
1.我们开发出一种级联残差图卷积网络(GCN)结构,在这种架构下我们的模型得以通过逐步优化不同类型行为对应的嵌入表示来提升用户偏好建模能力。
2.基于不同的行为特征分布情况,并结合多任务学习框架对模型进行全面优化。
Contribute:
该研究探讨了多种行为间关系在推荐系统用户建模中的关键作用,并提出了一种按顺序更新用户偏好与行为的方法,在嵌入学习过程中直接应用这种关联性。该研究首次实现了多行为间级联关系在推荐嵌入学习中的整合
该研究提出了一种命名为CRGCN的新颖多行为推荐系统架构。该系统由多个基于残差设计的LightGCN模块构成(每个模块对应特定的行为序列),其核心目标是将从前一阶段的行为所提取的学习特征传递给后续的行为建模过程。相比于传统的单行为建模标准矩阵分解方法,在计算资源占用和运行效率方面表现出显著的优势,并且无需增加额外可训练参数以提升性能。
3.实验中CRGCN性能比SOTA的baselines都更work。
Method:

1. Embedding initialization:

在这里P,Q是嵌入矩阵,目的是得到用户和物品的初始嵌入embedding。
2. Cascading Residual blocks:
2.1 Single behavior modeling:

AGG函数为标准GCN模型(如下)

2.2 Cascading effect modeling:

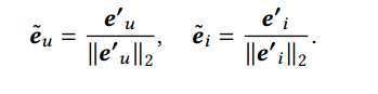
e’u和e’i是基于GCN模型的学习结果得到的行为表征,在此之后进行了正则化处理。具体原因将在下文详细说明。

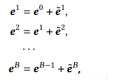
~eu 和 ~ei 是当前行为学习后的最终表征,在此阶段执行了残差操作,并将前一阶段的学习所得特征作为当前阶段的基础输入。为了确保这两个表征的数量级相仿,则采用了正则化处理。

总体而言,在本研究中提出的模型级联架构基于图1所示的架构设计。通过前一层的行为学习所获得的特征会被下一层次的行为学习系统作为输入传递,并不断深入刻画用户的特性以及物品的属性
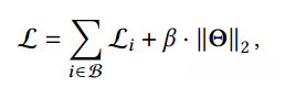
3. Multi-Task learning:


CRGCN学习到用户和物品在B种行为中的B种表征。


因此,将B种行为表征分别对应做B种BPR损失。

最终的总损失利用了Multi-task learning。
Dataset:
Tmall、Beibei、Jdata

Experiments:
1. 性能对比

2. 消融实验
2.1 残差块的影响


2.2 GCN层数的影响


2.3 多任务学习的影响

2.4 不同权重的重要性(multi-task loss)

3. 多种行为的影响

4. 冷启动用户的性能

5. 效率分析

