物联网技术-第3章物联网感知技术-3.3传感技术
目录
1.1什么是传感器
1.1.1生活中的传感器
1.1.2人的五官与传感器
1.1.3传感器的定义
1.1.4传感器的组成
1.2传感器的特性
1.2.1传感器的静态特征
1、灵敏度(静态灵敏度)
2.精度
3.线性度(非线性误差)
4.最小检测量(分辨力)和分辨率
5.迟滞性
6. 重复性
7.零点漂移
8.温度漂移
1.2.2传感器的动态特性
1.3传感器的分类
1.3.1按传感器检测的范畴分类
1.3.2按传感器的输出信号分类
1.3.4按传感器的能源分类
1.3.5按传感器的转换元件类型分类
1.4温度传感器
1.4.1传统的温度传感器pt100
1.4.2集成集成模拟温度传感器
1.4.3集成数字温度传感器 DS18B20
1.5霍尔传感器
1.5.1霍尔效应
1.5.2霍尔传感器工作原理
1.5.3霍尔传感器器应用
1.6传感器的应用
1.7致谢
1.1什么是传感器
1.1.1生活中的传感器
在现代生活中,有各种各样的传感器
电冰箱、电饭煲中的温度传感器;
空调中的温度和湿度传感器;
抽油烟机中的煤气泄漏传感器;
照相机中的光传感器;
汽车中燃料计和速度计等等。
传感器不仅为我们的生活提供了多种多样的便利与支持, 同时也为人类的社会文明 furnishes 更为科学的基础.

1.1.2人的五官与传感器

如果用机器完成这一过程,则对应有

机器类似于人类的大脑;运作系统如同人体的肌肉组织;感觉装置对应于人类的眼睛、耳朵等感官器官。
可感知装置可被视作人体感官系统的重要延伸。其中一些学者将之形象地称为"电子五官"。在补充完善人类感觉器官功能体系方面发挥着关键作用的是这些可感知装置,在提供更为精准的数据反馈方面也展现出独特的优势。
1.1.3传感器的定义
广义: 感受器是一种能够将物理、化学以及生物等领域的各种信息按照预设模式转化为特定类型的信号,并将其作为反馈输出的装置。
器件和装置。
狭义: 能把外界非电信息转换成电信号输出的器件。
国家标准(GB7665—1987)对传感器(Sensor/Transducer)进行了说明:它能够接收规定的被测量并通过特定规律转换为可用输出信号的装置和设备。
定义表明传感器有以下含义:
它是由敏感元件和转换元件构成的检测装置; 能按一定规律将被测量转换成输出信号输出;
传感器的输出与输入之间存在确定的关系。
按使用的场合不同传感器又称为:
变换器、变送器、换能器、探测器

1.1.4传感器的组成
传感器由 敏感元件 、 转换元件 、 基本电路 三部分组成:

敏感元件感受被测量
转换元件将被测量转换成 电参量 ( 电阻、电容、电感 )
基本电路把电参量接入电路转换成 电量
核心部分是 转换元件, 决定传感器的工作原理
1.2传感器的特性
传感器的核心特征体现在对输入输出关系的刻画上,而具有理想特性的传感器则要求在任何条件下都实现严格一对一映射。
传感器的特性分 静态特性 和 动态特性
1.2.1传感器的静态特征
静态特性
静态特性
静态特性
静态特性
静态特性
输入量与输出量均不受时间因素的影响;可以用不含时间变量的代数方程表示;或者绘制以输入量为横轴、输出量为纵轴的特性曲线来描述。

– 衡量静态特性的重要指标是 线性度 、 灵敏度 、 迟滞 和 重复性 等
1.灵敏度(静态灵敏度)
1、灵敏度**(静态灵敏度)**

当输入变化为 Δx 时,有:

其中 k(x) 被定义为灵敏度函数;它表示输出增量与输入增量之比;其计算公式等于工作点处的导数 \left(\frac{dy}{dx}\right);这一数值即为特性曲线在此处切线斜率的主要参数;它是描述传感器静态工作状态的关键特征。
在使用线性传感器时,其具有恒定的灵敏度特性。假设参数函数_k(x)_保持恒定,则测量所得的增量关系满足Δy与Δx呈正比关系,在这种情况下基于测量得到的Δx值可以直接计算出对应的Δy值。
灵敏度具有可比性
2.精度
传感器的精度是指测量结果的 准确性 ,这通常用来衡量测量结果与实际值之间的接近程度。 当误差减少时,则会提高传感器精度。
该传感器在规定条件下所能达到的最大允许偏差占满量程的比例即为其精度。

其中, ΔA 为测量范围内允许的最大绝对误差。
在应用中为了解决传感器精度表示的问题而引入了精度等级的概念,并将其划分为一系列的标准值:包括:0.05级、0.1级等。其中较低的精度等级对应更高的测量精度。
3.线性度(非线性误差)
满足特定条件时,在此前提下使用的传感器其实际曲线与拟合直线间的最大偏差占满量程输出值的比例称为线性度
线性度是表征实际关系曲线 偏离 直线的程度。


4.最小检测量(分辨力)和分辨率
最小检测量: 传感器能够探测到的最小变化幅度被定义为传感器能够确切反映被测量对象的最低可测极限值Δx的一部分,在无法探测低于Δx的变化范围时所形成的区域被称为死区。
分辨率: 分辨力与满度输入比的百分数。
最小检测量的影响因素 :
(1)输入的变动量Δx在传感器内部 被吸收
采用螺纹或齿条传递信号的传感器,在因螺纹与螺母之间以及齿轮与齿条之间的间隙存在的情况下,在输入变化量Δx小于该间隙时,则会由传感器内部所吸收
(2)传感器输入、输出端均存在噪声干扰, Δx 过小时,被外界 噪声所淹没
5.迟滞性
传感器在前向(正向)和后向(反向)工作范围内输出输入特性曲线不一致的程度。对于同一大小的输入信号x,在x递增的过程中对应某一输出量为y_i;在x递减的过程中则对应另一系列不同的输出量y_j。
过程 中,对应于输出量为y d ;y i 和y d 二者不相等,这种现象称 为 迟滞现象


6. 重复性
重复性指的是同一工作条件下的输入量特性,在整个工作范围之内连续变化多次所呈现的特性曲线与理论值之间的偏差程度。
传感器产生的重复性误差类似于迟滞现象,并且主要由传感器机械部分出现的问题所引起。这些问题通常表现为磨损情况、间隙问题以及松动状态等现象的发生。此外,在运行过程中还可能因为部件间的内摩擦力增大而导致系统性能下降的情况出现,并且积尘增多也会对系统的正常运行造成不利影响。此外,在辅助电路的老化以及系统运行中的漂移现象也会进一步加剧这种问题的表现
重复性误差一般属于 随机误差

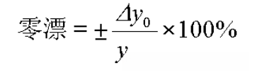
7.零点漂移
当传感器处于无输入状态(或者某个固定输入值始终保持恒定)时,
每隔一定时间间隔,
定期测量,
此时传感器的输出数值与预期的基准值存在偏差,
这种情况称为零点漂移现象。
用百分比表示:

其中, Δy 0 为最大零点偏差(或相应偏差)。
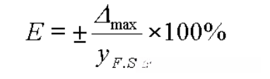
8.温度漂移
温漂表示温度变化时,传感器输出值的偏离程度。
一般以温度变化1℃时,输出最大偏差与满量程的百分比
表示:

其中, Δ max 为输出最大偏差, ΔT 为温度变化范围。
1.2.2传感器的动态特性
传感器的动态特性是指在面对输入信号变化时 所表现出的输出反应特征及其灵敏度表现。其输出信号与输入信号之间存在一定的相互作用关系
工程实践中,在实际工作中需要全面监测 随时间推移的变化特征 。为了实现这一目标,在选择传感器时必须满足两个关键条件:其一要能够高精度地捕捉 信号幅度特征 ;其二要有足够的分辨能力以展现 时序信息 。在动态特性和静态特性方面存在显著差异:前者体现的是 输出与输入之间的函数关系,并且这种关系会随着输入信号频率的变化而发生改变;后者则表现为 输出与输入之间呈现固定的比例关系
幅频特性: 输出信号的幅值随频率变化而改变的特性称为 幅频特性。
相频特性: 输出信号的相位随频率变化而改变的特性称为 相频特性。
当维持输入信号的幅值恒定时, 调整其频率直至输出降至其峰值的√2分之1倍时, 所达到的那个特定频率即为截止频率
1.3传感器的分类
1.3.1****按传感器 检测的范畴分类
物理量传感器、化学量传感器、生物量传感器
(1)物理量传感器
物理传感器的工作原理是基于力-热-声-光-电-磁-射线等多种物理效应,在这些效应的作用下,实现被测信号的变化转化为相应的电参数变化。
可变的电参数可视为电阻、电容或电感,并通过基本电路将它们转化为信号的变化情况,例如电压变化、电流变化或频率变化。
①力传感器

②热传感器

③声传感器

④光传感器(图像、光纤)


⑤磁传感器

⑥射线传感器
• 射线传感器是将射线强度转换为可输出的电 信号的传感器
该类设备主要包含以下几大类型:X射线设备、γ射线\textbf{装置}、β射线设备以及辐射计装置等
射线传感器不仅广泛应用于环境保护、医疗卫生以及科学研究领域,并且在安全保护方面也发挥着重要作用

(2)化学传感器
这类基于化学吸附与电化学反应中被监测的微小变化转换为电信号的传感器设备,在实际应用中具有广泛的应用领域。例如,在环境监测方面应用广泛的气体传感器和pH传感器就是此类设备的典型代表。

• 按传感方式的不同,可分为:
—接触式化学传感器
—非接触式化学传感器
• 按结构形式的不同,可以分为:
—分离型化学传感器
—组装一体化化学传感器
• 按检测对象的不同,可以分为:
—气体传感器
—离子传感器
(3)生物传感器
• 由生物敏感元件和信号传导器组成
• 生物敏感元件可以是生物体、组织、细胞、酶、核酸或有机物分子
• 不同的生物元件对于光强度、热量、声强度、压力有不同的感应特性
如酶传感器、免疫传感器。


1.3.2********按传感器的输出信号分类
模拟传感器、数字传感器、开关传感器
模拟传感器: 输出连续变化的电信号,如电压或电流。
数字传感器: 输出离散的数字信号,可以直接与微处理器通信。
1.3.3********按传感器的转换原理分类
机—电传感器、光—电传感器、热—电传感器、磁—电传感器、电化学传感器
1.3.4********按传感器的能源分类
有源传感器、无源传感器
1.3.5按传感器的转换元件类型分类
电阻式传感器、电感式传感器、电容式传感器
(1)电阻应变式传感器
电阻应变传感器 是目前应用最广泛的传感器之一。
原理:作为工具使用的各种弹性敏感元件上粘贴着的电阻应变片,在转换过程中能够将应变为电阻变化的变化量进行反映。所谓抵抗变形(resistance change),指的是由金属丝、箔或薄膜等制成的电阻应变片在承受外部应力时所引起的
当被测量的对象施加于弹性元件时(如弹簧这类材料),其变形将导致敏感元件的电阻值发生变化(如热电偶或应变片)。通过相应的转换电路将此电阻变化信号成功地转化为可测量的电信号输出(如电流或电压),而输出信号幅值则直接反映了被测量对象的变化程度(如位移、力或温度)。
应变电阻器可用来测量位移、加速度、力、力矩等物理量

(2)电感式传感器
该装置基于线圈自感应或互感应系数变化的原理实现了非电量电测功能。通过该传感器技术可以实现位移、压力、振动、应变以及流量等多种物理量的测量。
它在机电控制系统中的优点较为明显,在诸多方面具有显著优势:其结构较为简单,在相同条件下能够实现更高的灵敏度;相比传统方案,在工作状态上能产生更大的输出功率;系统运行时的输出阻抗较小;具备较强的抗干扰能力,并且其测量精度较高。此外,在实际应用中该方法的应用范围也较为广泛。然而,在动态响应速度方面存在一定的局限性:其响应速度较慢,并不适合用于快速动态测量任务。
种类繁多的电感式传感器基于感知原理被分为自感型、互感型和涡流感应型等多种类型



(3)电容式传感器
基于电容原理的传感器设备采用多种不同类型的电容器作为核心组件,在此过程中将被监测的物理量变化对应地转化为变化量。经由相应的变换电路处理后,则可进一步转化为电压、电流或频率信号。从而实现对目标参数的检测。

常见的电容传感器的应用有电容式位移传感器、电容式指纹传 感器等
1.4温度传感器
1.4.1传统的温度传感器pt100
一种以铂(Pt) 作成的电阻式 温度传感器

1.4.2集成集成模拟温度传感器
AD公司通过其PN结构中正向电流与温度之间的关系制造了一种两端温度传感器
输出 电流与K氏温度成正比 。

1.4.3集成数字温度传感器 DS18B20
采用了美国Dallas半导体公司的技术方案作为 DS1820 的升级版本,在支持 '一线总线'接口的基础上实现了数字化温度传感器的新功能

引脚定义
DQ为数字信号输入/输出端;
GND为电源地;
VDD为外接供电电源输入端 (在寄生电源 接线方式时接地)。
寄生电源并非真正的物理电源设备,并非独立存在的电子元件而是依赖外部电路工作的供电形式。它是一种供电工作模式,并非独立存在的电子元件而是依赖外部电路工作的供电形式。它的工作原理是:以数据线作为供电手段,在这种情况下向该设备的电容充电;在低电平状态下,则会将此信号传输至该设备并将其储存于其内部的电路中作为能量来源。

DS18B20是一种被广泛采用的温度测量设备 ** ,其特点是体积小巧 、硬件成本较低 、具备良好的抗干扰性能 和测量精度卓越 。
应用范围
冷冻库,粮仓,储罐,电讯机房,电力机房,电缆线槽等测温和控制 领域。
缸体,纺机,空调等狭小空间工业设备测温和控制。
汽车空调、冰箱、冷柜、以及中低温干燥箱等。
供热/制冷管道热量计量,中央空调分户热能计量和工业领域测温和控 制
1.5霍尔传感器
1.5.1霍尔效应
属于电磁学领域的一种现象。这一发现是由美国物理学家 霍 尔 教授(A.H.Hall)于 1879年首次提出,在其研究金属导电机制的过程中被偶然发现
在导体中以与外磁场垂直的方向流动着电流时,在既不与电流方向也不与磁场方向重合的方向上会出现额外的电场,在导体两端就会形成一定的电压差值这一物理现象即为霍尔效应其产生的电压也被称作霍尔电压或霍耳势差
霍尔效应使用 左手定则 判断。

1.5.2霍尔传感器工作原理
霍尔传感器是基于霍尔效应而制造的一种磁场传感器设备。通过它可以在各种涉及磁场的场景中检测出磁场的存在及其变化情况。该技术在多个领域得到了广泛应用,并根据实际应用场景的不同将其分为直接应用与间接应用两大类。具体而言,在被检测对象具有特定属性的情况下,则可进一步将其应用划分为更多细致的类型。
直接应用:直接检测受检对象本身的磁场或磁特性
间接应用:检测受检对象上人为设置的磁场
1.5.3霍尔传感器器应用


1.6传感器的应用
传感器如今已成为现代科技不可或缺的关键设备,在各个领域均有较为广泛的运用。它们不仅包括但不限于工业(工业)、农业(农村)、家庭自动化系统(智能家居)、医疗健康领域(医疗保健)、汽车制造行业(汽车工业)以及环境保护等多个重要方向。
(1)工业应用
过程监控:在工业生产过程中, 采用多种类型的传感器来实时监测温度. . . . . 、压力. . . . . 以及流量等关键指标, 从而保证生产过程的高效与稳定运行. . . . . 。例如, 热敏传感器持续监测加热炉内的温度状况, 而压力传感器则持续关注液压系统的工作压力参数, 这些设备共同构成了完善的 Process Monitoring 系统

资产监控与预测性维护采用关键设备如振动传感器、温度传感器以及油品分析仪部署于系统中实时采集并分析运行数据。通过实时监控获取数据并建立预测模型来提前识别潜在故障并与系统管理平台联动从而实现精准预测性维护最大限度地降低停机中断的时间成本。
质量控制:光学传感器和颜色传感器被用来对产品的尺寸与色彩一致性进行检测,并保证产品质量。
(2)农业应用
智能化的灌溉系统通过环境湿度监测设备和土壤水分监测装置采集信息,并结合气象部门提供的实时天气信息,在自动化调节机制下实现了水资源利用效率的显著提升。
作物健康监测:采用不同波段的光谱传感器实时检测作物生长状态,并通过捕捉早期病虫害症状生成预警信号。

(3)智能家居
智能化环境管理:智能光控装置与温湿传感器通过整合技术与智能家居系统连接,在实时采集温度湿度数据的基础上,根据实时环境数据动态调节照明亮度和空调运行状态,从而提高居住舒适度

(4)医疗保健
医疗诊断:临床医学领域中的医疗成像技术包括MRI(磁共振成像)和CT(计算机断层扫描)等先进设备与技术,在疾病诊断中发挥重要作用。

自动驾驶:通过雷达设备、激光雷达(LiDAR)、摄像头装置协同工作以精确感知其周边环境,并支持自动驾驶功能。
安全系统:碰撞传感器 、胎压监测系统 (TPMS)提升行车安全。

(6)环境保护
污染监测:采用空气污染物监测装置持续检测PM2.5指数及有毒气体排放量;同时配备水污染检测设备进行河流、湖泊的水质分析。通过实时数据采集与分析系统构建科学依据的数据支撑体系。

1.7致谢
后续会陆续推出与物联网技术相关的课程内容分享,请大家在评论区随时留言交流!期待与各位共同探索物联网技术的世界并体验其独特魅力!由于作者写作能力还有待提升,请各位读者多多包涵,并恳请大家批评指正!期待与各位共同进步与成长。

