文献速递:深度学习医学影像心脏疾病检测与诊断--基于深度学习的低剂量SPECT心肌灌注图像去噪:定量评估与临床表现
Title
题目
Denoising techniques leveraging deep learning for the removal of noise from images derived from low-dose SPECT scans of myocardial perfusion have been evaluated quantitatively in terms of their clinical validation.
基于深度学习的低剂量SPECT心肌灌注图像去噪:定量评估与临床表现
01
文献速递介绍
单光子发射计算机断层扫描(SPECT)是一种在临床医学领域广泛应用的分子成像技术,在心血管疾病评估方面具有重要应用价值。其中心肌灌注成像(MPI)技术作为一种高效的非侵入式方法,在冠状动脉疾病诊疗中发挥着关键作用:它不仅用于疾病诊断、预测病情演变,并且在急性冠状动脉综合征患者的评估中也显示出显著价值。为了在核医学领域获得高质量图像信息,则需要适量注射放射性标记物以实现最佳效果;若射线剂量超出规范范围,则会降低信号与噪声比并影响图像质量进而影响诊断效能
SPECT因其在医学影像学中的显著作用,在每年约有90%的研究涉及其应用。随着对其所引发的安全性问题愈发关注,在不牺牲诊断或临床效用的前提下已开发出多种解决方案以应对核医学影像中的挑战。针对这些挑战,现有解决方案主要可分为以下几类:基于统计迭代算法的空间图像重构方法、采用后重建滤波或后续处理技术提升图像质量的技术、结合新型硬件设备实现更高效率的技术以及运用新兴的人工智能算法优化成像效果的方法。
迭代图像重建算法将其视为一个凸优化问题,并通过统计建模信号形成与噪声来抑制低剂量图像重建效果;在SPECT-MPI成像领域已证明注射剂量或获取时间可降低两倍以上;Ramon等人量化了SPECT-MPI灌注缺损检测的准确性作为注射剂量函数并最小化给药剂量同时保持诊断性能;其他方法则依赖于不同后处理及后重建去噪技术如非局部均值(NLM)与双边滤波器以抑制低剂量成像中的噪声;传统双头SPECT系统因分辨率与灵敏度受限通常需长时间数据采集高给药量等;专用心脏SPECT仪器在过去几年实现了显著进步新型商业化超快固态心脏相机(DSPECT及GE 530c/570c)可在低剂量下实现诊断质量成像;此外深度学习算法虽无法完全恢复低剂量图像的基础信号/结构但仍展现出良好的性能潜力可直接从低剂量图像估计预测高质量标准剂量图像
Abstract
摘要
This work aimed to evaluate the feasibility of dose reduction in single-photon emission computed tomography (SPECT) myocardial perfusion imaging (MPI) while maintaining diagnostic accuracy. A deep learning-based method was developed for generating full-dose images from low-dose projections across various levels of dose reduction.
本研究致力于探讨,在不影响诊断准确性的同时,在SPECT心肌灌注成像( MPI )中能否减少给药剂量的研究。我们提出了一种基于深度学习的方法,在投影空间中生成不同给药剂量水平下的低分辨率图像以支持高分辨率图像的重建。
Method
方法
The clinical SPECT-MPI imaging data from 345 patients, acquired using a dedicated cardiac SPECT camera in list-mode format, were retrospectively analyzed to predict standard-dose SPECT images from low-dose projections. To simulate realistic low-dose projections, random sampling was performed at 50%, 25%, and 12.5% levels using binomial subsampling techniques. A generative adversarial network was employed to generate non-gated standard-dose SPECT images in projection space across different dose reduction levels. Well-established metrics, including peak signal-to-noise ratio (PSNR), root mean square error (RMSE), and structural similarity index metrics (SSIM), along with Pearson correlation coefficient analysis and clinical parameters derived from Cedars-Sinai software, were utilized to quantitatively evaluate the predicted standard-dose images. The predicted image quality was assessed by an expert in nuclear medicine using a seven-point evaluation scale ranging from −3 to +3.
临床SPECT-MPI图像来自345名患者,并通过专用心脏SPECT摄像机以列表模式收集数据。这些数据用于从低剂量图像回溯预测标准剂量的图像,在1/2、1/4和1/8的标准剂量水平上分别进行模拟实验。为了模仿真实低剂量投影效果,在列表模式数据中随机选取约50%、25%及12.5%的事件进行采样。研究团队构建了一个生成对抗网络模型,在不同剂量水平下的投影空间中预测非门控标准剂量SPECT图像。为了评估预测效果,研究团队采用了峰值信噪比(PSNR)、均方根误差(RMSE)以及结构相似性指标(SSIM),同时结合皮尔逊相关系数分析方法,并从Cedars-Sinai软件中提取临床参数对标准剂量预测图像进行了定量评估分析。在临床领域进行评估分析时发现,在七点评分系统中核医学专家对其质量给出了高度认可
Results
结果
The Pearson correlation values obtained for predicted standard dose images were
Using reference standard dose images,
In clinical evaluation by nuclear medicine specialists
在一半剂量水平上实现了最佳的图像质量(PSNR值42.49±2.37),同时保持了极高的相似度(SSIM 0.99±0.01),并且具有最低的空间误差(RMSE 1.99±0.63)。对于减少到一半、四分之一和八分之一剂量水平的标准剂量图像预测结果,在与选定参数绘制的标准参考图中进行比较时,在所有减少剂量水平下生成的低剂量图像均显示出显著更低的空间误差程度及较低的空间变化范围。通过将标准参考图作为基准,在Bland-Altman分析中发现,在所有减少剂量水平下生成的标准预测图像均表现出极低的空间误差程度及较低的空间变化范围。综合考虑核医学专家的实际应用情况后,在减少到一半、四分之一和八分之一剂量水平的标准预测图像分别有100%、80%及11%的比例被临床判定为可接受度较高
Conclusion
结论
The noise was significantly reduced through the proposed network architecture. The predicted standard-dose images at half- and quarter-standard doses showed similarity to reference standard-dose images. However, recovery of underlying signals/information from low-dose images exceeding a quarter-standard dose level would be practically unachievable (due to The signal-to-noise ratio being extremely low), rendering challenging clinical interpretation of resulting imaging data.
该方法能够有效抑制噪声,并且其预测的标准剂量化因子图像与参考标准剂量化因子图像具有可比性,在1/2和1/4的标准剂量水平上表现突出。然而,在低于1/4标准剂用量时,此时难以恢复低剂量化因子所包含的关键信息(因为信噪比极为低下),这将不利于对结果图像进行临床上的详细分析
Figure
图

Fig. 1 Architecture of the generator network in the GAN model
图1 GAN模型中生成器网络的架构

图2展示了GAN模型中判别器网络的架构。该架构包含卷积神经网络;其中包含批处理归一化层;以及使用Leaky ReLU激活函数的激活层
在图2所示的GAN模型中,鉴别器网络采用了以下架构设计:其Convolutional layer用于提取空间特征;其Batch normalization layer有助于加快训练并提升稳定性;其Leaky ReLU activation function能够缓解梯度消失问题。

Fig. 3 illustrates the forecasted non-bypassed projections from randomly selected patients in the test dataset at the half, quarter, and one-eighth dose levels when compared with both the reference standarddose and low-dose projections.
图3展示了从测试数据集中随机抽取的一个患者的预测的非门控CT图像,在与参考标准剂量和低剂量CT图像进行对比时,分别在不同剂量水平下进行了评估。

Fig. 4 Reconstructing non gate images for a patient experiencing severe risk. a) short axis perspective, b) elongated vertical axis perspective, and c) horizontal extended axis perspective. Within each of these views (a, b, and c), the rows running from top to bottom align with standard dose (SD) , half dose (HD) , quarter dose (QD) , one eighth dose (OD) , predicted half dose (PHD) , predicted quarter dose (PQD) , and predicted one eighth dose (POD) respectively
如图4所示,在对一位风险极高的患者实施非门控型图像重建的过程中完成了操作。其中,在短轴切面图中显示的是a部分,在长纵切面中显示的是b部分,在水平长轴切面中显示的是c部分。
在这些切面中从上至下依次展示基线剂量组BLD、半量组Q、四分位量组Q1、八分位组Q2以及预期各阶段组。

Fig. 5 Comparison of Pearson correlation coefcients obtained from the low-dose and predicted standard-dose reconstructed images at half-, quarter-, and one-eighth-dose levels
在不同剂量水平上(如50%、25%和12.5%),较低剂量与预期的标准水平重建图像所得出的皮尔逊相关系数进行比较

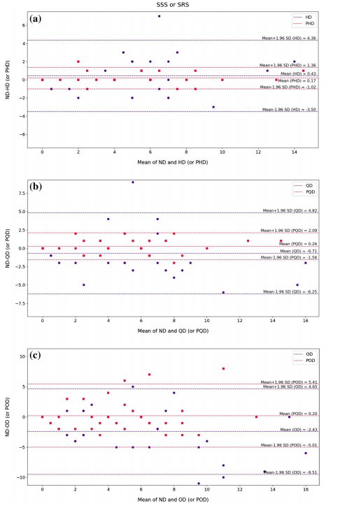
Fig. 6 Bland–Altman plots of SSS index for low-dose and predicted standard-dose images at the half-, quarter-, and one-eighth-dose levels were compared with those of the reference standard-dose images. The blue and red dashed lines denote the mean and 95% confidence intervals for low-dose and predicted standard-dose images respectively. HD represents half-dose, PHD is predicted half-dose, QD is quarter-dose, PQD is predicted quarter-dose, OD is one-eighthdose, POD is predicted one-eighth dose.
图6展示了不同给药剂量水平(包括1/2、1/4、1/8倍的标准参考给药量)下低效应药物组与预估标准给药量下的SSS指数Bland-Altman图分析结果。通过分别用蓝色虚线表示低效应药物组与预估标准组之间的SSS差异均值及其95%置信区间(CI),以此评估两组间的差异性。其中HD代表1/2倍的标准参考给药量;PHD代表预估的一半给药量;QD代表1/4倍的标准参考给药量;PQD代表预估的标准四分之一给药量;OD代表1/8倍的标准参考给药量;POD代表预估的标准八分之一给药量

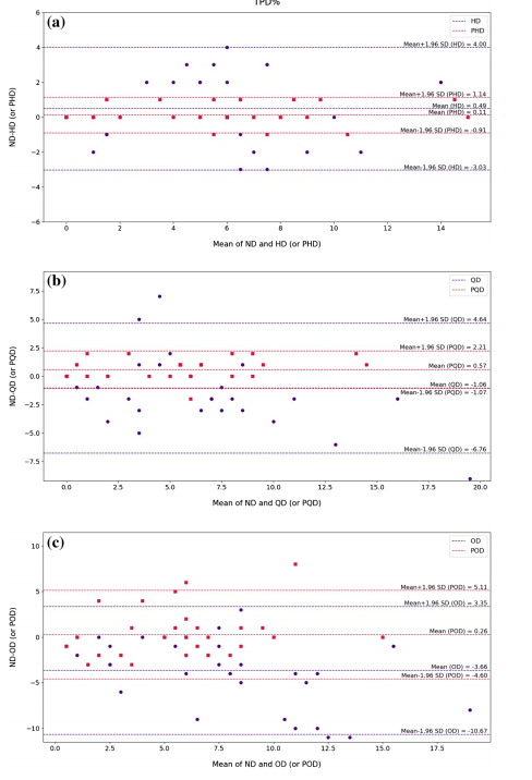
Portraits of the TPD% parameter across various dose levels (half-, quarter-, and eighth-) were compared using Bland–Altman plots in this figure. The blue and red dashed lines indicate the mean difference and its 95% confidence interval for low- versus reference standard doses respectively. HD denotes half-, PHD predicts half-, QD denotes quarter-, PQD predicts quarter-, OD denotes eighth-of-, POD predicts eighth-of-.
图7 在1/2、1/4和1/8剂量水平上,在低剂量预测标准剂量化核对图像与参考标准剂量化核对图像之间绘制了TPD%指数的Bland-Altman图。通过蓝色虚线表示低剂量预测标准剂量化核对图像与参考标准剂量化核对图像之间的TPD%均值差异;红色虚线则表示预测的标准剂量化核对图像与参考标准剂量化核对图像之间的TPD%均值差异。HD(1/2),PHD(1/2预),QD(1/4),PQD(1/4预),OD(1/8),POD(1/8预)。

The study presents findings from an evaluation of image quality assessments (total score difference) for three progressively lower dose levels in comparison to reference values under the guidance of a nuclear medicine specialist. The clinical cases deemed acceptable are highlighted using specific markers for each reduced dose level: HD represents a half dose, PHD denotes a predicted half dose; QD is a quarter dose and PQD is a predicted quarter dose; OD stands for one-eighth dose and POD denotes its predicted counterpart.
图8中,在核医学领域的专家对三个不同的减少剂量水平下的低剂量和标准预测剂量的图像进行了详细的图像质量评估,并给出了总评分类别(如A到F等级)。其中,在图表中用斜线标注出临床可接受的情况:HD代表一半的标准 剂量、PHD代表预测的一半标准量、QD代表四分之一 的标准量、PQD代表预测的四分之一标准量、OD代表 八分之一的标准量、POD代表预测的八分之一标准 量。

Fig. 9: The predicted gated projections of a randomly selected patient from the test dataset at the half-dose level are compared to those of the reference standard-dose and low-dose projections.
图9 使用半量级剂量,在测试数据集中随机选取的一位患者中生成预测门控投影图像,并分别与参考标准剂量和低剂量下的门控投影图像进行比较
Table
表

Table 1 presents quantitative results related to different dose levels in the projection space. The p-value for comparing low-dose and predicted standard-dose projections is provided for each reduced dose level.
表格1在投影空间内探讨了不同剂量水平间的关联数值结果。该研究被给出每个减少剂量水平下的低剂量与预测的标准 doses 投影之间的p值

Table 2 presents quantitative results of association with different dose levels in the image space. The p values between low-dose and predicted standard-dose projections at each reduced dose level are provided.
表2 描述了在图像空间中与不同剂量水平相关的定量结果。每个减少剂量水平下描述了低剂量及预测标准剂量投影间的p值。

Table 3中考虑实际标准剂量图像作为参照标准的QPS定量参数的Pearson相关系数
表3 考虑实际标准剂量图像作为参考的QPS定量参数的皮尔逊相关系数

Tabellen 4 berücksichtigen die Korrelation der Pearson-Koeffizienten für die Werte von SS, die von dem Nuklearmedizinexperten zugeordnet werden. In jedem reduzierten Dosisniveau wird der p-Wert zwischen dem niedrigenDosierungsszenario und dem Vorhersagedosissszenario bereitgestellt.
表格4列出了核医学专家分配给SS值的相关性程度;详细描述了每个减少剂量水平下低剂量与标准剂量投影之间的关系及其显著性差异。
