基于YOLOV5的车辆跟踪与目标检测
目录
摘要
第1章 绪论
1.1 课题背景及研究的目的和意义
1.2 国内外研究现状
1.2.1 测速领域
1.2.2 目标检测领域
1.2.3 目标跟踪领域
第2章 理论基础
2.1深度学习
2.2 YOLOv5 目标检测理论
2.3 DeepSort目标跟踪理论
2.4视觉标定和测速算法
第3章 系统设计与实验
3.1 实验概述
3.3实验过程
3.3.1 流程概述
3.3.2车辆检测
3.3.3车辆跟踪
3.3.4车辆测速
3.3.5评价指标
第4章 实验结果与分析
4.1复杂度的分析
4.2目标检测性能的分析
4.3目标跟踪性能的分析
第5章 总结
摘要
经济持续以显著的速度增长
车辆使用规模呈现爆发式增长
传统的测速手段多是基于获取波在物体表面反射运动的时间差来计算速度。
在车辆检测领域我们应用了YOLOv5算法这一技术方案YOLOv5不仅是一种先进的实时目标检测技术而且能够保证高准确率同时实现了快速运算速度不仅能够保证高准确率而且实现快速运算速度这一特点使其成为适合大规模实时应用的理想选择通过对其模型架构进行优化并收集并标注了大量的训练数据结合多轮自监督学习方法我们在交通场景中取得了显著的技术突破特别是在识别各类交通工具特别是城市主干道上的大型交通工具方面表现尤为突出
在车辆追踪领域方面方面方面方面方面方面我们采用了DeepSort算法。该算法通过融合深度学习特征表示与卡尔曼滤波器等传统追踪技术的优势,在复杂背景下实现了对多目标的有效追踪,并展现出很强的鲁棒性特性特性特性特性特性特性特性特性特性特性特性特性特性能力特性能力特性能力特性能力特性能力特性能能特性能能特性能能特性能能
在车辆测速领域中,我们基于摄像机标定原理并结合摄像头参数及时间戳数据,在此基础上建立了像素坐标与世界坐标的映射关系。随后通过分析位移随时间的变化规律来计算车辆的实时速度。
研究结果表明,在智能交通领域中采用YOLOv5与DeepSort结合的车辆测速系统能够实现精确且实时地完成检测、跟踪以及速度测量任务。该系统不仅展现出良好的抗干扰能力和扩展性特点,在实际应用中能够为智能交通系统提供核心技术支撑,并有助于实现科学的交通管理与规划决策。此外,在城市交通管理与规划层面的应用上也取得了显著成效:不仅提升了道路安全水平和运行秩序,并显著提高了道路通行效率及服务质量
第1章 绪论
1.1 课题背景及研究的目的和意义
在改革开放后, 我国经济实力持续增强, 这促使我国交通运输体系快速扩张, 汽车使用规模呈现爆发式增长。2023年1月11日, 国公安部正式发布全国机动车及驾驶人数据统计报告: 根据统计数据显示, 全国机动车保有量达到4.35亿辆, 驾驶人数量达到5.23亿人。随着清洁能源汽车技术在全国范围内的推广普及, 包括比亚迪、理想Such等在内的多个车企纷纷研发生产新能源汽车, 国内新能源车总量已突破2041万辆, 其中纯电动汽车占比高达76.04%。值得注意的是, 在春节期间, 公路交通呈现显著高峰特征: 单日流过78.3亿人次的公路流量占到全社会跨区域人员流动总量的约八成左右;其中超过九成的道路交通流量集中在自驾出行群体身上, 自驾出行已成为主要出行方式之一。由此产生的巨大交通运输压力必然会导致诸多与交通安全相关的管理难题, 并给执法监管带来了额外压力
传统的测速手段多基于物体表面反射运动时间差的信息来推算其运动速度。这些方法中包括利用电磁波、声波等多种手段以获取所需数据。尽管技术已较为成熟,但仍面临设备安装费事且维护不便的问题。此外,在道路上布置这类设备往往会对路面结构造成影响,并可能降低道路美观度。当前深度学习技术已在智能交通管理方面展现出巨大发展潜力,而YOLOv5与DeepSort算法结合的应用则可实现对车辆目标的有效检测与跟踪,从而显著降低设备部署成本并提升交通管理效能。因此,本文旨在开发基于机器视觉技术的车辆速度监测系统
1.2 国内外研究现状
1.2.1 测速领域
传统测速手段是广泛采用的一种技术手段。传统的车速监测手段主要包括感应线圈探测法、雷达探测技术以及激光测距仪等多种方式[1]。该类技术具有较高的准确性优势;然而,在成本方面存在较高投入;操作相对较为繁琐;且多数装置布置在固定地点。在实际应用中通常需要沿路设置相关监测设备
基于电磁感应原理的地感线圈检测技术是一种有效的非接触式检测手段。当电感线圈通入交流电流时会产生变化的磁场场,在这种情况下若将金属物体置于其周围空间中,则会导致磁通量发生变化进而产生涡流效应同时会使电感量发生相应的变化[2]。由此可知,在交通超速监控领域具有较为广泛的实用性
该种检测法则基于多普勒雷达原理实现测量[3]。
radar system emits wireless communication signals, and according to the emission principle, these signals are transmitted to the vehicle, which then retransmits them back to the radar system. The radar system receives these signals.
In this process, the frequency of the wireless communication signal will change. The variation in frequency is utilized to determine the vehicle's speed.
This detection method can be applied using single-point, double-point, or multiple-point measurement techniques. However, it is also susceptible to interference from weather conditions and other radar signals.
在机器视觉技术领域取得了快速进步的情况下
1.2.2 目标检测领域
传统目标检测技术中包含帧差法、光流法以及背景差分法[4]等方法,在计算复杂度上均较高,并且都存在一定的延迟特性。然而,在外界环境干扰方面却表现出显著劣势。相比之下,在深度学习技术框架下构建的目标检测模型包括Faster R-CNN、YOLO和SSD等方法均展现出强大的图形特征学习能力,在实现快速检测速度的同时也能够保证较高的检测精度[4]。
在目标检测领域的发展历程中,在此之前的主要技术都是基于人工设定特征来进行图像目标识别的阶段。如VJ检测器和HOG检测器等便是这一时期的代表方法。然而,在经历了2014年的突破性进展后,在线上的卷积神经网络研究逐渐成熟,并在此时提出了一种名为R-CNN的技术。这种新方法凭借其创新性不仅带来了显著提升,在较之传统方法提升了至少30%的准确率的同时还具备了更强的表现力。R-CNN的成功得益于其能够利用卷积神经网络进行特征提取,并由此实现了对复杂多样的图像数据的有效适应能力。
R-Net(即R-CNN)自诞生以来不仅奠定了深度学习技术在目标检测领域的重要地位,并开创了该领域研究的新方向;也为后续提高检测效率提供了重要思路
与此同时,在技术领域持续发展和完善中的环境下
总体而言,在R-CNN至YOLO系列算法的发展历程中, 不仅推动了目标检测技术的进步, 并为其相关领域如目标跟踪研究提供 了有力支持; 同时, 在实际应用中也显著提升了检测的准确率和速度, 并为深度学习在更多领域的发展提供了重要启示.
1.2.3 目标跟踪领域
传统的目标跟踪技术主要包括扩展卡尔曼滤波、无迹卡尔曼滤波以及粒子滤波等方法,在过去的时期内尽管发挥了重要的作用但在应对复杂的交通场景时逐渐暴露出诸多不足 显然这些方法很容易受到外界环境因素如天气条件光线状况以及遮挡物等因素的影响 而近年来随着深度学习技术的发展 以其卓越的特征提取能力和强大的模型学习能力 在图像处理方面取得了显著的进步 因此 在车辆多目标跟踪问题上基于深度学习的方法已经成为了研究与应用的重点方向
马尔科夫链蒙特卡洛(Markov Chain Monte Carlo, MCMC)方法是一种数值模拟技术[6] ,其主要应用于从复杂概率分布中抽取样本。尽管MCMC在某些特定领域能够辅助构建多目标跟踪模型 ,但它本身不具备直接执行多目标跟踪的功能。然而 ,基于MCMC原理的数据驱动版本——即数据驱动的马尔科夫链蒙特卡洛算法(Data-Driven MCMC ,DDMCMC)——已被提出 ,旨在通过数据驱动的方式改进MCMC性能 ,并可能应用于某些与多目标跟踪相关的统计建模问题 。于2016年 ,Bewley等研究者提出了Simple Online and Realtime Tracking (SORT)算法[7] 。该算法作为一个专为实时多目标跟踪设计的高效框架 ,采用卡尔曼滤波器预测目标下一帧的位置 ,并通过匈牙利算法 (亦称KM算法或Munkres算法)实现预测与检测位置的最佳匹配 。该方法能够在高帧率和高分辨率视频中展现出卓越的跟踪效果 ,因为它避免了传统特征提取与匹配过程中的复杂性
但是,SORT算法的主要缺点在于它忽视了目标物体的外观特征(如大小和形状等),从而导致在目标存在高度不确定性(如被遮挡或快速移动)的情况下,跟踪精度可能受到影响。为此,Wojke等人提出了一种称为DeepSORT的新算法,该算法通过有效的特征提取和匹配机制有效地解决了这些问题。
基于 SORT 方法的框架中整合了深度学习技术以提升目标追踪性能。该系统通过卷积神经网络(CNN)提取目标外观特征并利用这些特征进行关联度量计算[8]。具体而言,该方法首先基于提取的目标外观特征计算其相似度;随后结合运动信息和匈牙利算法实现精确的关联匹配。这种方法不仅提升了在目标遮挡或外观变化时的跟踪精度;还通过多级别匹配策略进一步优化了整体性能。
总体上而言,在多目标跟踪领域中经历了从MCMC逐步发展到DDMCMC,并延伸至SORT和DeepSort等方法的过程中
第2章 理论基础
2.1深度学习
深度学习属于一种基于人工神经网络实现的机器学习方法。该技术通过构建多层次的人工神经网络模型来使计算机能够从大量数据中自动识别并提取特征与模式。从而能够完成包括分类、预测以及生成等多种复杂的任务。
深度学习模型主要由神经元组成的人工智能系统。每个简单的神经元都会被设计来接收多个输入信号,并对这些信号进行加权计算总和后通过激活函数计算输出值。例如, 一个神经元可能被设计来接收

,其权重分别为

,那么加权求和的结果为

通过激活函数计算得到输出。多个神经元之间建立连接构成神经网络的层结构。常见的神经网络类型包括多层感知机(MLP)、卷积神经网络(CNN)以及循环神经网络(RNN)。多层感知机由输入层、若干个隐藏层以及输出层组成。输入层接收输入数据并传递给隐藏层;隐藏层从输入数据中提取特征并进行转换;输出层则根据这些转换后的特征生成最终结果。例如,在图像分类任务中,输入层接收图像像素值作为输入;随后各隐藏层层间逐步提取图像的关键特征如边缘、纹理等;最终输出层根据这些特征判断图像所属类别。卷积神经网络适用于处理具有网格状结构的数据如图像与音频信号;其核心机制是利用卷积核从局部区域中提取关键特征;通过滑动窗口的方式遍历整个数据集以捕捉更多的细节信息。而池化操作则有助于减少计算复杂度同时保留关键信息;通常采用最大值池化或平均值池化的方式进一步压缩数据维度以便于后续处理步骤的应用。循环神经网络则特别适合处理序列型数据如自然语言文本或时间序列预测问题;其独特之处在于各节点之间存在反馈连接从而能够有效捕捉序列中的长期依赖关系。
深度学习模型的训练旨在最小化损失函数以优化参数配置。该损失函数用于评估模型预测结果与实际目标值之间的差距大小。例如在回归问题中 常用的均方误差(MSE)作为基准指标 在实际应用中被广泛应用于度量预测准确性作为基准标准

和真实值

,有

通过反向传播算法对模型参数进行调整或优化。反向传播基于损失函数计算各层参数的梯度,并按照从输出层到输入层的方向依次更新各层参数以最小化损失函数值。
2.2 YOLOv5 目标检测理论
相较于传统目标检测方法而言,在实现过程上存在明显的差异性。传统的滑动窗口方法通过扫描图像的所有可能位置来实现这一过程,并在此基础上生成大量候选区域(例如R-CNN系列方法)。这种方法虽然能够覆盖所有可能性但同时也带来了计算量大效率低的问题以及随之而来的大量冗余候选框的产生。相比之下YOLO系列算法的出现则彻底改变了这一状况并标志着目标检测领域的重大进步
YOLO摒弃了传统的方法而采用了一种全新的思路
YOLOv5算法继承了YOLO系列算法的核心理念,并采用了更为先进的网络架构以及相应的优化策略,在检测速度与准确率上均获得了明显的提升效果。将输入图像划分为S×S网格单元,在每个单元中进行特定任务的预测工作:首先预测固定数量的边界框及其对应的存在目标置信度;随后针对每个边界框进一步推测所属类别及其概率分布情况。在训练过程中,则通过最小化多任务损失函数来综合学习边界框的位置、尺寸、置信度及各类别概率值;这一损失函数体系主要由定位误差(Bounding Box Regression Loss)、分类误差(Classification Loss)以及置信度误差(Confidence Loss)三个部分构成;最后基于反向传播算法配合梯度下降优化器完成模型参数迭代更新工作
基于YOLOv5的架构设计中,该算法的主要组成部分包括输入端(Input)、主干网络(Backbone)、颈部网络(Neck)以及头部网络(Head)四个关键模块。
输入端: YOLOv5 主要采用不同分辨率的图像作为输入。该系统主要支持 416×416、512×512 和 640×640 等常见分辨率的图片处理。在数据预处理阶段,系统会对原始图像进行缩放.裁剪和翻转等操作以提升模型性能
主干网络采用CSPDarknet53结构
颈部网络:颈部网络主要承担将主干网络提取的特征进行融合与提升的任务。基于YOLOv5的设计,在其架构中采用了PANet(Path Aggregation Network)作为颈部网络的核心模块,在此过程中通过上采样及下采样的操作实现了不同尺度特征图的融合,并成功提升了模型在检测不同尺寸与形状目标方面的性能能力;同时,在这一环节中还特意引入了SPP(Spatial Pyramid Pooling)模块以进一步提升特征图的表征能力
注
2.3 DeepSort目标跟踪理论
本研究基于目标跟踪领域的研究工作,并采用DeepSort算法作为核心方法。该种算法作为SORT(Simple Online and Realtime Multi-Object Tracking)算法的一个升级版,在其基础上结合了深度学习技术来提升追踪性能。然而,SORT算法在处理多个紧密排列且部分被遮挡的目标时会遇到挑战,而DeepSort通过结合深度学习技术来提取目标物体的深层特征,从而显著提升了追踪精度和鲁棒性。在该方法中,对于每帧图像中的检测结果,系统会运用深度学习模型提取出各目标体的关键特征描述子,并基于这些描述子计算不同检测体之间的相似度值。这种方法使得DeepSort能够有效地实现跨帧的目标关联功能,即使被遮挡也能维持稳定的追踪效果
类似于SORT算法的是DeepSort中的匈牙利算法通过多层次匹配策略实现对目标界的成功定位。在第一阶段中, 利用运动外观特征来识别并完成有效的轨迹配对;而在第二阶段中, 未完成配对的目标状态则会在后续步骤中继续寻找合适伙伴, 实现全面覆盖。
在多目标跟踪场景中,目标框的匹配过程可以分为成功和失败两种情况。当卡尔曼滤波器预测的轨迹框与当前帧的检测框成功匹配时,卡尔曼滤波器会利用这一匹配来更新轨迹的状态,并预测下一帧目标的位置,生成新的预测轨迹框。这个预测框随后将用于与下一帧的检测框进行对比。如果在匹配过程中,预测的轨迹框和检测框未能成功匹配,DeepSort 算法会采用一种二次匹配的策略来处理这一问题。首先,算法会计算检测框与轨迹框的交并比(IOU)。如果IOU值低于设定的阈值,表明匹配失败,此时算法会基于检测框的信息创建一个新的轨迹。对于未能与任何检测框匹配的轨迹框,它们会被标记为未匹配状态,并且相应的轨迹会被从轨迹集合中移除。另一方面,如果一个新的轨迹能够连续三次成功匹配检测框,它会被升级为确认态轨迹,并加入到轨迹集合中。对于已确认的轨迹框,算法会为其设定一个生命周期。如果在生命周期内连续出现匹配失败的情况,算法会假设目标已经离开了监控区域,并删除该轨迹框。这样的机制有助于维持轨迹的清洁,避免跟踪已经不存在于场景中的目标。
2.4视觉标定和测速算法
在三维机器视觉系统中摄取的画面包含了物体在三维空间中的关键信息。画面中的每个像素点亮度值反映了物体表面某一点反射光线强度。这种亮度变化受材料特性、光照条件以及观察视角等多个因素的影响。画面中这些像素的位置与它们在三维空间中的对应点之间的几何关系紧密。这一关系由摄像机成像几何模型所决定。该模型描述了光线从物体表面出发经过镜头系统最终成像于摄像机感光元件的过程。这个过程涉及多个参数如焦距参数主点位置参数及镜头畸变参数等这些统称为摄像机参数[13]。通过精确标定摄像机即确定这些具体数值可以显著提高三维重建或识别精度。标定后的摄像头可以通过分析图像上的像素位置信息结合成像模型反推出物体在三维空间的具体位置及其方向。
世界坐标系(world coordinate system) : 由用户定义的三维空间中的坐标体系,在表示目标物体在真实世界中具体位置时被引入使用。通常采用的方式是将该体系与目标物的位置信息相结合以实现定位功能。

相机坐标系(camera coordinate system):以相机为基准建立的坐标系,在描述物体相对于相机的位置时被定义出来,并且位于世界坐标系与图像/像素坐标系统之间起到中介作用

图像空间坐标系统(image coordinate system): 用于描述成像过程中物体在相机空间与图像空间之间的映射关系而引入的一种数学模型体系。它为后续推导和计算出像素空间中的位置信息提供了基础。

。
像素坐标系(pixel coordinate system):它是一种用于描述物体成像后在数字图像中(照片)所对应的像点位置的坐标系统,在相机内部获取的真实信息所在的坐标位置为u,v),其单位是像素数目个数。

第3章 系统设计与实验
3.1 实验概述
本研究采用了 Pychar
m 作为集成开发环境(IDE),基于 Pytorch 深度学习框架对收集的数据集进行标注后,并通过 YOLOv5 进行模型训练。随后系统接收视频流或图像序列序列输入,并利用 YOLOv5 检测模块对每一帧图像执行车辆检测操作,
获取待测车辆的边界框坐标及其类别信息。将这些检测结果 fed 到 DeepSort 多目标跟踪算法中,在当前帧内与历史跟踪目标进行匹配处理,
更新车辆位置信息及运动速度参数。系统最终通过结合摄像头标定技术,
计算出各车辆运行速度值,
并根据实际需求完成速度数据的统计与记录工作。
该系统采用先进的目标检测技术和多目标跟踪算法,
能够在保证高精度的前提下实现实时性较高的车辆测速功能。
此外系统还具备在复杂场景下识别消失与重新出现等动态变化对象的能力。
最后系统可根据具体需求实现功能模块的定制化设计与性能优化调校,
以适应不同应用场景下的实际应用需求
3.2实验准备

3.3实验过程
3.3.1 流程概述

针对车辆测速的任务,在目标识别方面应用YOLOv5模型,在实时跟踪的基础上建立关联性的DeepSORT算法。
目标检测(YOLOv5):YOLOv5能够提取并标注出待检测物体的边界框坐标与车辆类型信息。此为系统处理的第一阶段,在此之后将直接将这些检测结果传递给DeepSORT算法以完成车辆追踪任务。
跟踪关联(DeepSORT):该方法基于YOLOv5提供的目标检测结果,在连续帧间建立车辆关联关系,并生成连续的运动轨迹。该系统通过深度特征嵌入机制,在区分外观相似物体方面展现出良好的性能表现。
轨迹预测与更新: 基于卡尔曼滤波的方法中使用了DeepSORT算法。即使在车辆短暂被遮挡的情况下, DeepSORT依然能实现持续状态更新.从而使得在测速过程中实现了对动态变化的道路交通状况的有效跟踪.
速度计算:借助于基于连续帧的位置变化和帧间时间间隔的计算方法来确定物体运动速度这一技术指标。该方法能够精确获取每帧车辆的位置信息,并通过分析这些数据来实现测速效果
3.3.2车辆检测
YOLOv5 是一种遵循 YOLO(You Only Look Once)系列算法设计的目标检测模型,在实践中得到了广泛应用。本文重点阐述了YOLOv5在车辆检测中的实现方案及其关键环节。YOLOv5通过多尺度特征提取网络捕获目标细节信息,并结合先验框生成机制精确定位目标边界。
(1)YOLOv5 采用端到端的方式完成目标检测任务,分为以下三大模块。
本研究采用Backbone模块(基于特征提取技术),在降低计算开销的同时生成高质量的特征表示,并通过多层卷积模块从输入图像中捕获并表达不同尺度的空间信息。
Neck(特征融合):通过FPN(Feature Pyramid Network)和PAN(Path Aggregation Network)架构设计,在不同尺度的特征提取上实现了良好的信息整合与结合,并能有效提高目标检测模型的整体性能表现
Predictive Head:通过三个不同尺度的检测头分别用于检测不同尺寸的目标。每个预测头均输出对应区域的边界框描述、显著性评分以及分类概率值。
(2)YOLOv5 的核心实现如下。
输入处理: 对输入图像实施预处理措施(包括但不限于缩放、归一化及数据增强等操作),随后将其调整至统一尺寸(例如640×640或1280×1280),为了进一步提升模型性能,在训练过程中采用多尺度分辨率的数据作为输入来源
在主干网络架构中,YOLOv5采用了CSPNet框架,通过分别从不同层级提取并整合这些特征,有效降低了计算复杂度却并未牺牲模型性能。此外,该网络还集成了一种自上而下的多尺度特征聚合机制(FPN)以及一种基于金字塔式的自下而上的目标检测精炼方法(PAN),从而进一步提升了整体检测能力。
**锚框(Anchor Box)机制:**该技术通过K-means聚类算法在训练数据集中自动生成先验锚框(Anchors),这些锚框被用来识别并定位目标物体的边界区域。每一份anchor输出对应的目标检测系统都会计算其与候选区域匹配程度的概率值以及所属类别标签的信息分布于多个类别中。
(3)本研究中所采用的目标跟踪系统采用了基于深度学习的方法,并且其核心机制包括三个关键组件:第一部分负责边界框的精确定位;第二部分用于对目标类别进行识别分类;第三部分则用于评估目标的存在概率。
①******边界框回归损失(Boundary Box Regression Loss)**** 采用 Complete IoU(CIoU)损失函数 来优化预测框与真实框之间的位置关系。其计算公式如下:

最终的边界框损失为:

分类预测损失(Class Prediction Loss) 用于优化检测框内目标的类别预测。YOLOv5 采用 二元交叉熵(Binary Cross Entropy) 损失函数进行计算,在公式中表示为:

③置信度损失(Objectness Loss)****
用于优化每个锚框的置信度预测(即是否存在目标)。YOLOv5 也使用 BCE 损失来计算目标存在的置信度:

④********总损失函数
YOLOv5 的总损失是上述三部分的加权和,公式为:

3.3.3车辆跟踪
在基于YOLOv5的目标检测器上进行研究时
值得注意的是,在DeepSort算法中使用目标的特征向量来进行跟踪性能的提升是必要的策略之一。我们可以通过训练一个ReID模型来提取目标的具体特征信息。这些特征包括颜色、纹理以及深度信息等多维度的数据指标。此外,在DeepSort算法中包含几个可调节的关键参数设置:例如匹配阈值和最大连续丢失帧数等指标。根据我们的具体需求与所使用的数据集特性调整这些参数设置将有助于进一步提升整体算法的跟踪效果
值得注意的是,在DeepSort算法中使用目标的特征向量来进行跟踪性能的提升是必要策略之一
3.3.4车辆测速
在本研究中完成了视觉标定与测速计算相关的理论阐述,并根据上述理论基础,在本研究中设计出了一种用于车辆测速的算法。将目标车辆所在边界框中心点的世界坐标系位置进行转换,并计算该时间段内各轴在世界坐标系中的位移量。通过以上步骤计算得出平均速度,这个平均速度即为目标车辆的速度值。基于上述分析结果,在跟踪器输出结果中发现有x1,y1,x2,y2分别表示目标边界框左上角与右下角点的位置坐标,并且其中(x, y)为中心坐标的计算公式如下:

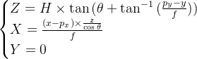
通过获得中心坐标的手段,在基于相近焦距 f 的情况下(即已知主点位置 (P_x,P_y) 和相机离地面的高度 H 以及相机的角度 \theta),我们可以推导出相应的世界坐标 (X,Y,Z)。以下为具体的数学转换公式:

均为真实测得的数据,本研究已通过网络资源查询获取相关数据.焦距则是相机固有参数,主点坐标是视觉标定方法确定的结果.

基于视频帧率F1(其中手机拍摄的速度为30FPS)的情况下,在每隔F2帧的时间间隔内执行一次目标检测。通过两次连续检测所得的位置信息(即上一次与下一次的目标中心坐标),利用上述公式即可计算出相应的全局坐标点L1和L2。
那么所需要求的被检测车辆的速度 V 即可被求出。

由于帧率定义为每秒所能捕捉到的帧数,则两次检测之间的时间间隔即为(F₂/F₁)秒。其中α被定义为缩放因子,在速度计算中起到调节作用。假设物体在相邻视频帧内的运动轨迹被视为线性变化,并基于欧氏距离公式来评估两点间的间距
3.3.5评价指标
真阳性(TP)是指模型正确地将真实为正类的数据点预测为正类的数量;假阳性(FP)是指模型错误地将真实为负类的数据点预测为正类的数量;假阴性(FN)是指模型错误地将真实为正类的数据点预测为负类的数量;根据这些定义我们可以计算出两个常用的性能指标即精确率(P)召回率(R)。精确率表示在所有被模型预测为正类的数据点中真实属于正类的比例其计算公式是精确率衡量的是模型识别准确度尤其关注误报率;召回率则表示在所有真实属于正类的数据点中有多少被正确识别出来其计算公式是召回率衡量的是模型覆盖能力
\begin{cases} & P=\frac{TP}{TP+FP} \\ & R=\frac{TP}{TP+FN} \\ & AP=\int_0^1P(R)dR & \end{cases}
第4章 实验结果与分析
完成固定机位下的视频录制后, 将视频上传至电脑指定目录位置, 运行程序即可达成测速目标.

在系统性能评估过程中考察了多个关键指标。具体而言,在计算资源方面的考量包括时间复杂度和空间复杂度等两个维度,并且同时关注了目标检测和目标跟踪两大类的核心能力。
4.1复杂度的分析
YOLO的目标检测与目标跟踪部分的计算资源消耗与其所依赖的因素之间存在密切关联
从时间复杂度来看,在目标检测任务中占据重要地位的是两个关键指标:一是该算法处理单个视频帧所需的时间(以毫秒为单位),二是视频图像的帧率表现(即每秒处理多少帧)。该算法处理单个视频帧所需的时间会受到多个因素的影响:包括神经网络架构深度、计算复杂度以及输入图像尺寸等因素。此外,在实际应用中为了进一步提高效率通常会借助GPU加速技术来降低算法运行所需的时间。而在目标跟踪过程中,则需要关注匹配与更新时间这两个指标:它们用于评估算法在每帧中识别并更新目标状态所需的时间长度。这些指标的变化直接反映了整个系统性能的表现情况
在空间复杂度方面,在目标检测任务中是以千字节(KB)、兆字节(MB)或更大的单位来衡量的数据存储需求,其中包括神经网络的参数量、中间运算结果以及必要的辅助数据。对于基于深度学习的模型而言,在这种场景下所需的空间通常是固定的,并取决于其架构设计与模型规模大小。而在目标跟踪任务中,则需要关注模型参数量以及用于存储目标特征、历史轨迹等相关数据的空间占用情况,在后续各帧数据处理过程中起到关键作用。为了进一步提升目标检测与目标跟踪的性能表现,在本研究中可以通过优化算法结构设计、减少冗余运算开销以及采用更高效的数据组织方式来降低时间复杂度;通过合理规划数据存储结构以降低内存占用量及访问时间从而提高空间利用率;借助高性能计算设备如GPU等来加速算法运行过程从而提升整体处理效率与帧率;最后通过模型压缩与量化技术来缩减模型参数数量及所需存储空间的同时尽量维持性能水平稳定
4.2目标检测性能的分析
本研究在 YOLOv5 训练模型环节,所训练的模型结果如图 4.4 所示。

随着训练epoch数的不断增加,可以观察到一系列关键性能指标在模型学习过程中的变化趋势。 训练损失与验证损失的减少。这反映出模型正在逐渐学习并优化其内部参数,以更好地拟合训练数据和泛化到未见过的数据上。损失的减少是模型性能提升的直接体现,表明模型在减少预测误差方面取得了进步。 精确率、召回率、mAP0.5、mAP0.5:0.9 均有所上升。精确率的提高表明模型在识别正样本(即目标物体)时越来越准确,减少了将负样本(即背景或非目标物体)误判为正样本的情况。召回率的增加意味着模型能够识别出更多的正样本,减少了漏检 的情况。这是模型检测能力增强的另一个重要标志。mAP 是衡量目标检测算法性能的重要指标,其中 mAP0.5 表示在 IoU(阈值为 0.5 时的平均精度。随着 mAP0.5 的上升,说明模型在多个类别上的检测性能都在提高,特别是在 IoU 阈值较为宽松(0.5)的条件下。而 mAP0.5:0.95 考虑了从 0.5 到 0.95 的更广泛的 IoU 阈值范围。这一指标的上升表明模型在更严格的检测要求下仍然能够保持良好的性能,体现了模型在精确匹配目标边界框方面的能力增强。
4.3目标跟踪性能的分析
本研究应用 Multiple Object Tracking Accuracy 和 MOTA[16] 指标来评估目标跟踪性能。该方法能够有效评估跟踪系统的整体性能指标但不考虑多目标识别的独特性。
第5章 总结
本研究工作中针对YOLOv5与DeepSort算法构建的车辆测速系统进行了全面测试。本研究利用智能手机作为视频采集设备,并借助Pychar
m整合开发环境并基于Pytorch搭建深度学习平台。经过多组实验数据的采集、处理及分析,在此基础上实现了车辆速度的有效监测与记录。
基于实验数据的评估结果表明, 该测速系统在检测和跟踪车辆的过程中表现出了令人满意的性能水平. 在这一过程中, 系统不仅实现了较高的灵敏度和精确度, 而且所得速度测量值具有良好的一致性与稳定性, 其速度变化范围极为有限. 在系统性能分析方面, 目标检测任务所需的时间与其处理的帧率呈现高度相关性; 而借助GPU加速技术的应用可将处理时间减少约三分之一. 与此同时, 目标跟踪任务中的匹配与更新时间则主要受制于算法复杂度的影响. 在空间复杂度方面, 目标检测模块与目标跟踪模块各自拥有不同的评估维度与侧重点. 根据上述分析结果, 我们在此基础上进一步优化系统性能, 并提出了若干改进方向
然而该实验仍存在明显的局限性。实验结果表明,在当前条件下虽然取得了良好的效果(如准确率较高),但现有数据难以覆盖多种道路类型、复杂的交通状况以及多样的车辆特征(如行人横穿马路或紧急刹车)。此外,在不同光照条件下(如阴天或强光环境下)的表现尚不明确,在复杂路况下的适应性也需要进一步验证。
在未来的日子里,在多样的应用场景中持续开展实验工作,并致力于不断提升系统的性能水平。通过优化模型的训练效率来促进系统的运行速度得到显著提升;与此同时,在保障用户直观体验的基础上构建专业的可视化平台。对于测速精度这一核心指标而言,在现有基础上值得进一步深入研究,并特别关注物体非线性运动情况下的优化工作。针对现有测试方案存在的问题——即测试流程较为繁琐且数据传输速度较慢——我们计划采取一系列改进措施。通过解决这些问题使得系统能够充分发挥其潜力,在智能交通领域发挥出更大的作用,并最终起到更加积极的安全保障和支持作用
