WeNet 热词增强 2.0 强势来袭
继《WeNet 更新:支持热词增强》两年后,WeNet 近期更新了热词增强 2.0。本次更新内容是使用 AC 自动机 (Aho-Corasick automaton) 对热词进行构图,解决热词之间存在的重叠问题[1]。
早在 2022 年 5 月份,@victor45664 就在 Github 上 Pull Request 了相关的代码实现[2](非 OpenFST 版本)。

巧的是,当时 WeNet 也正在开发 OpenFST 版本的 AC 自动机热词增强。更巧的是,K2 近期也开源了相关的实现,感兴趣的同学可以参考《新一代 Kaldi 热词识别功能》[2]。
热词增强原理
我们来回顾一下语音识别解码和热词增强的原理:

我们可以简单地认为 WeNet 训练出来的声学模型是一个多分类器,例如对于常用的 5000 个汉字,每输入一帧音频,模型输出一个 5000 维的向量。解码就是要在多帧音频对应的多个 5000 维向量中,剪枝掉概率较小的文字序列,保留概率较大的文字序列。
热词增强则是在剪枝的过程中,不仅考虑声学模型输出的概率,也考虑匹配热词得到的奖励,最终提高包含热词的文字序列的概率。
热词增强 1.0
我们再来回顾一下 WeNet 热词增强 1.0 的原理:
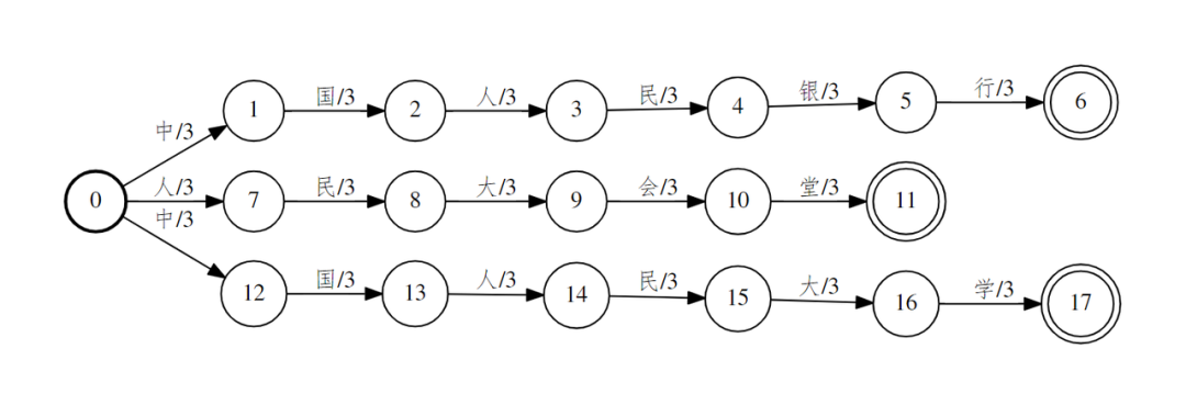
假如我们有以下热词列表:
人民大会堂
中国人民大学
中国人民银行
代码解读
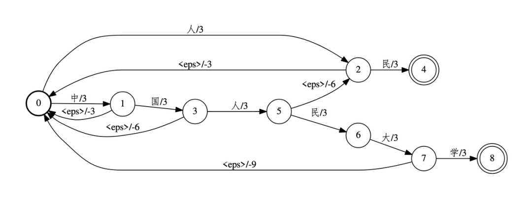
构建热词图后,“中国人民银行”可以完全匹配热词,而“中国人民大会堂 ”却无法完全匹配热词。匹配的过程如下:


虽然也可以在每次跳转的时候,都把开始状态 0 作为热词的状态,但是在包含较多热词状态时,计算复杂度会大大提升。
热词增强 2.0
当热词数量增加后,热词和热词之间存在上述前缀重叠的情况非常常见,最终我们决定使用 AC 自动机完成热词的构图(构图过程有点像字符串匹配的 KMP 算法),改善热词前缀重叠的问题。
基于 AC 自动机的热词构图过程,主要包含以下两个步骤:
根据热词列表,构建热词前缀树
给热词前缀树添加回退弧,得到 AC 自动机
前缀树
前缀树 (Trie):一个节点的所有子孙都有相同的前缀(充分必要条件)。
前缀树可以看作是做了确定化 (Deterministic) 的有限状态接收器 (FSA, Finite State Acceptor),也叫 DFA。因此我们可以借助 OpenFST 工具来完成构图。
FSA

DFA

AC 自动机
在前缀树的基础上,添加一些失配的回退弧即可得到 AC 自动机,算法原理参考论文:Local Grammar Algorithms[4]。

“中国人民大会堂”在匹配“中国人民大学”失败后,回退到状态 6 继续匹配“人民大会堂”,回退的同时需要减去“中国”两个字共 6 分的奖励。
举例
假如我们热词列表中有两个热词 A 和 B,它们之间可能存在以下几类重叠关系:
无前缀重叠
A:中国人民大学
B:北京大学
无需特殊操作,即使热词增强 1.0 也能处理。

A 包含 B 的前缀
A:中国人民 大学
B:人民 大会堂
AC 自动机可以处理回退的问题。

A 的前缀是 B
A:中国人民 大学
B:中国人民
如果需要记录完整匹配了哪些热词,需要在构图时记录每个结束状态对应的热词;同时,在匹配的过程中需要记录到达过哪些结束状态。

A 的后缀是 B 的前缀
A:中国人民大学
B:大学 之路
“中国人民大学之路”应该包含两个热词。需要注意的是,状态 4 和状态 6 的回退分数在构图的时候是无法确定的,需要在实际解码的过程中统计(当前代码尚未处理这种情况,欢迎大家 PR)。

A 的后缀是 B
A:中国人民大学
B:人民大学

这种情况需要保留结束状态的回退弧。状态 10 可以回退到状态 8,因此到达状态 10 时,即可认为完全匹配了两个热词。

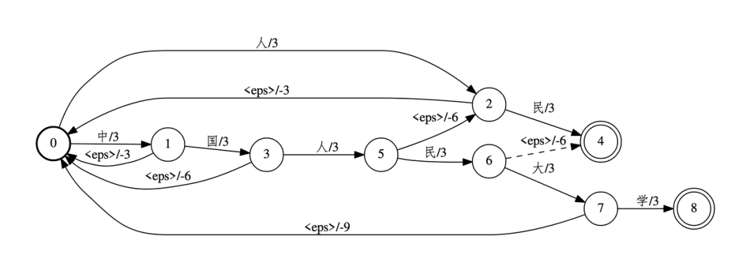
A 包含 B
A:中国人民 大学
B:人民

状态 6 可以回退到结束状态 4,因此到达状态 8 时,即可认为完全匹配了两个热词。需要注意的是,状态 7 的回退分数只包含“中国”和”大“三个字的分数。

优化:SortedMatcher
完成了构图后,我们可以使用 SortedMatcher 对每个状态上的出弧进行排序,使用二分搜索优化在热词匹配过程中的搜索时间。

WFST Beam Search & 热词增强
使用 WFST Beam Search 时,我们有两种方式实现热词增强:
作用在 TLG 的 ilabel:相当于先应用热词增强,再对热词增强的结果使用语言模型
作用在 TLG 的 olabel:相当于先应用语言模型,再对语言模型的输出使用热词增强
热词增强 1.0 作用在 TLG 的 olabel 上:

语言模型的输出是词,导致只能在词的级别上回退。由于在分词的时候,使用的是最长匹配策略,可能会产生下述热词图,令“中国人民大学校长”无法正常回退。
这次我们将热词增强作用在 ilabel 上,可以解决上述问题。但是带来的新问题是:增强出来的热词,有可能被语言模型剪枝掉。
实验指标
测试数据是在 LibriSpeech 和 AIShell1 中抽取的,将其中的专有名词,例如人名作为热词。分别统计含热词和不含热词的词错率。
WER:词错误率
U-WER:词错误率(标注不含热词)
B-WER:词错误率(标注含热词)
LibriSpeech
| librispeech | WER | U-WER | B-WER |
|---|---|---|---|
| 热词增强 1.0 | 8.14% | 5.63% | 30.19% |
| 热词增强 2.0 | 8.13% | 5.61% | 30.26% |
AIShell1
| aishell1 | U-WER | B-WER |
|---|---|---|
| 热词增强 1.0 | 5.42% | 12.86% |
| 热词增强 2.0 | 5.42% | 12.99% |
在不含热词的测试数据上,热词增强 1.0 和热词增强 2.0 指标几乎没有变化,因为热词没有匹配成功,不影响最终识别结果。
在含热词的测试数据上,热词增强 2.0 的指标略有下降,分析是因为热词增强后,语言模型又把正确的结果剪枝掉了。
感兴趣的同学可以找一些热词具有重叠关系的数据来测试一下,欢迎贡献和分享测试结果。
热词增强 3.0
基于 OpenFST 构图和人工设计分数的热词增强还是会存在不少局限,例如具体每个字应该奖励多少分,也是需要结合测试集去调的。现在有很多基于深度学习的热词增强算法,WeNet 也会持续探索,敬请期待。
特别鸣谢
特别感谢这些在热词增强 2.0 开发过程中助力过的同学,@吕航博士提供了 AC 自动机的算法支持,@黄凯勋提供了英文分词的部分代码和 librispeech 的测试指标。
Reference
[1] https://github.com/wenet-e2e/wenet/pull/1937
[2] https://github.com/wenet-e2e/wenet/pull/1163
[3] https://mp.weixin.qq.com/s/d7Ab9u1_OAGLF76V1ymHmg
[4] https://web.stanford.edu/group/cslipublications/cslipublications/koskenniemi-festschrift/9-mohri.pdf
