【论文笔记】Deep Visual-Semantic Alignments for Generating Image Description
尽管这是一个两年前发布的论文片段,在GitHub上仍可找到 AK 留下的可供学习的代码资源(如 neuraltalk,neuraltalk2),并由 AK 大神为我们铺设了通往知识的道路。然而仅仅停留在表面应用是不够的;查阅后发现关于这篇论文的解析资料较为稀缺。尽管文章中确实存在一些新颖之处让人挑刺但也充分展现了其内在逻辑与启发性值得认真研读。下面让我分享我对本文的理解和个人见解吧!如有不当之处还请多加指正
注:只对文章整体流程以及部分重点内容进行摘要理解,并不是文章翻译。

By employing datasets of images and their sentence descriptions, our approach identifies semantic relationships between language and visual data. The summary paragraph effectively encapsulates the essence of the paper. While original m-RNN models, introduced in prior work, were limited in their ability to capture detailed inter-modal correspondences, our method uniquely focuses on leveraging each training image paired with its corresponding annotation to uncover these intricate relationships. It might seem impressive that these annotations were typically brief summaries of the overall image content, neglecting important details such as objects, actions, and other visual elements. However, this approach fundamentally differs from how humans intuitively understand images: Our intuitive understanding involves first identifying objects and actions before comprehending their collective meaning. This paper builds upon object detection techniques to advance image captioning research. Let's delve into how this is achieved.
在Introduction部分提到了当前模型对标注数据高度依赖性的问题,并指出生成多样化的描述具有挑战性。为此我们需要解决这一难题。首先我们将标注数据中的单词与图片中的具体物品一一对应提高粒度的精细程度随后提出multi-model RNN方法以实现图像注释功能
Model构建的第一步是实现标注片段与图像位置的对应关系。在此基础上建立模型框架,并经过训练后完成对新输入图片进行注释处理的任务。具体而言,在遵循R-CNN算法的基本流程下完成以下步骤:首先利用VGGNet网络提取候选区域特征;其次根据概率计算确定19个最大置信度的边界框,并在原有图像上叠加得到20个区域;接着对于每个提取出的区域特征通过CNN网络处理,并经过仿射变换得到统一维度的向量表示;随后将每个单词对应的词嵌入信息通过双向RNN网络连接其前后文信息以生成固定的长度向量;最后逐一比较匹配每个单词与其对应的区域特征以计算出相应的匹配分数值(如图所示),系统能够根据区域向量与单词向量之间的相似度进行匹配评估。


Loss function(十分SVM有木有):

十分想请教一下,这里面Skk是啥意思?
整体概念图:

由于每个region都分配一个word显然不够合理,并且这些word在分配给各个region时却没有明确的规律。这样一来运行后的结果就难以理解。于是随后采用了马尔可夫随机场(MRF)来进行更精确的优化
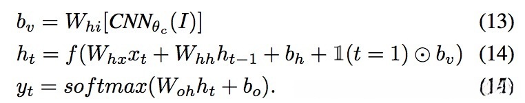
损失函数已经建立完毕,在接下来的工作中自然可以开展训练工作。对于这个相对简单的RNN模型来说无需过多赘述其原理与实现细节。值得注意的是,在公式推导过程中,图片作为偏置项被纳入RNN模型中进行处理与其他方法存在显著差异。具体而言,在公式中将图片数据作为输入单元时会被视为一个独立的偏置项参与计算;而其他模型可能采取不同的处理方式。为了深入理解这一过程建议读者仔细阅读相关章节并配合公式推导过程进行学习。

详细阐述了此模型的优势所在,并获得了显著高的分数,在现有研究中并不罕见的现象。。看到这一点时我感到疑惑的是按理来说通过配图配合简洁的文字即可清晰传达核心观点这样的讨论似乎已臻完善?然而这仍让我意犹未尽回头一想这是本研究的最大亮点也是为何标题直接采用了该关键词Deep Visual-Semantic Alignments的原因
看来文章好像还没完呢。看来文章终于说到一种输出完整的一句话注释的方式了——也就是大家常说的full image experiments吧?不过这种技术主要是为了证明这个模型能够输出完整的一句话注释并且效果还挺不错的呢。但随后出现了问题——对全图进行标注会出现很多已经在训练集中出现过的词组,并且这与之前提到的问题类似。不过呢?如果按照前面说的方法来做的话——也就是先提取区域然后打分——那BLEU等指标就会好很多啦!
在结尾部分,文章还提出了自己模型的局限性:1、输入RNN的input dimensions被固定后可能导致部分数据特征丢失。2、仅通过bias处理图像可能显得过于简化。3、该模型并非完全端到端设计且其操作流程相对繁琐。
就目前而言,在CNN架构中进行进一步优化似乎是可行的。尽管现有的VGG架构在纯视觉任务中表现尚可,但这些特征更多地反映了纯视觉信息。而image caption基于语义关系,则依赖于更复杂的语义理解能力。因此,在输入阶段结合区域信息或其他辅助特征(如SPP)进行融合或许能够进一步提升效果。类似本文所述的方法对区域进行详细解释确实有助于理解机制本身的效果如何影响最终结果。那么对已经解释完的区域以及标注信息进行进一步处理是否会生成更加丰富、更具细节的整体图像描述呢?我们期待看到相关研究取得突破性进展。
