论文笔记:Supervised Neural Networks for the Classification of Structures
学术笔记:监督式神经网络在结构特征分类中的应用
本文深入探讨了递归神经网络在处理复杂数据方面的有效性。
结构域、图和神经网络
结构域
- 图论中的概念:涉及节点集合、边集合以及节点之间的映射关系。
- 结构域指的是由标签集生成的一组特定性质的图。
- 结构域的价格定义为其对应节点的最大出度值。
- 目标函数是通过特定映射将结构域中的图状数据转换至K维空间中。
- 训练数据集由(X, fun(X))组成,并满足X属于该特定结构域的要求。
神经网络
标准神经网络中单个神经元的计算:

循环神经网络单个神经元的计算:

先验编码的缺点
在先验编码中,神经网络进行图分类时的输入是一组固定长度的向量。此向量独立于分类任务,并在模型训练前完成图数据的编码过程。如上所示,图示进一步验证了编码与分类之间的完全分离关系。

编码过程的先验定义有两个主要缺点:
- 图的不同特征之间的关联性在各类学习场景中可能会呈现出明显差异。
- 由于编码过程需要适用于所有分类任务而使得每个图都必须得到不同的向量表示,从而导致生成的向量表征在分类时面临较大的挑战.
大致意思是说,在图中存在多种分类任务;然而所有这些分类任务若采用统一的先验编码,则会降低其分类精度。
一阶广义递归神经网络
概述
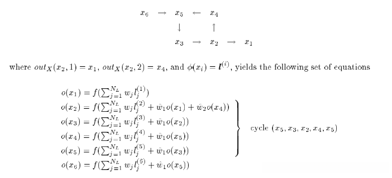
扩展型循环神经网络的概念是对传统循环神经网络的一种延伸。其中该系统并未关注前一时间步输入单元产生的输出结果,而实际上该系统关注的是当前输入单元(作为节点存在)指向的所有其他节点的输出信息。见下图。

递归神经网络一层的单个神经元的计算公式如下:

其中f函数被定义为Sigmoid函数,在本研究中NL表示当前输入X的空间维度数。假设域的空间维度数为n,则每个广义递归神经元将建立n条递归连接;然而,并非所有这些递归连接都会参与到单个顶点x的输出计算中。
图递归神经网络的生成
递归神经网络的生成满足一下两个条件:
- 递归神经元网络中各节点之间的递归连接数量必须等于该网络模型中各节点间边权总和。即上图p₁至pₙ之间共有n条边。
- 图X必须包含一个超源点s, 该节点能够抵达任意其他顶点。
若图X不存在超源,则可通过人为补充措施为其添加超源。若要实现这一目标,在满足上述条件时,我们可设定神经网络在状态s处的输出值为 o(s) 。在此基础上,神经网络的前向传播可分为两种情形:一种是包含循环结构(即存在环路),另一种是没有循环结构(即无环)。

即o(x²)就无法直接计算了, 只有当完成整个循环后才能进行计算.
在神经网络的一层中包含了多个神经元的计算公式如下:
其中包含了Ng个神经元的数量.

总结
本文尚未彻底阅读完,在线等待进一步的内容补充中。此外还有关于具体地说,在优化训练集中, 具体操作上, 以及反向传播等技术的具体介绍, 但目前对于细节信息掌握有限, 大致了解了模型的整体架构先
