Deep Bilateral Learning for Real-Time Image Enhancement
模型结构为:

low resolutioion 图像特征提取
1 low-lever features
如上图所示,利用n_S个卷积(4层,卷积核为3\times3,stride=2),从low-resolution图像中提取低层特征S^i:,公式如下:

式中,I=1,...,n_S为每个卷积层的索引,c,c'为为卷积层的channels的索引.w'为卷积核权重矩阵.b^i为bias.激活函数\sigma采用ReLU,卷积时采用zero-padding.
2 Local features path
低层特征输入一个n_L=2层卷积层得到局部特征L^i.n_S+n_L对于语义特征的获取很关键,如果要获得一个更高空间的分辨率,可以通过减小,增大n_L实现.
3 Global features path
全局特征层有2个卷积层,stride=2,之后接3个全连接层组成,层数为n_G=5.全局特征效果:

4 Fusion and linear prediction
使用一个pointtwise仿射变换,加一个ReLU激活函数,来融合全局和局部特征:

这样得到了一个16\times16\times64的特征矩阵,将其输入1\times1的卷积层得到16\times16,output channels=96:

参数设置如下:

Image features as a bilateral grid
由low resolution 图像湖提取特征为16\times16\times96的feature map.可以等价与grid深度为d的多通道 bilateral grid:

取d=9,这样就等价于有一个16\times16\times8的 bilateral grid,每个grid cell包含12个,每个还有一个3\times4的仿射颜色变换矩阵.
Upsampling with a trainable slicing layer
Guidance map auxiliary network
定义g为一个pointwise非线性变换,


式中,M_c^T为的颜色变换矩阵,M_c^T,a,t,b,b'为网络要学习的参数.
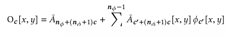
Assembling the final output
最后的输入O_c由full-resolution features和sliced feature map的仿射变换得到:

模型inference代码为:
def inference(cls, lowres_input, fullres_input, params,
is_training=False):
with tf.variable_scope('coefficients'):
bilateral_coeffs = cls._coefficients(lowres_input, params, is_training)
tf.add_to_collection('bilateral_coefficients', bilateral_coeffs)
with tf.variable_scope('guide'):
guide = cls._guide(fullres_input, params, is_training)
tf.add_to_collection('guide', guide)
with tf.variable_scope('output'):
output = cls._output(
fullres_input, guide, bilateral_coeffs)
tf.add_to_collection('output', output)
return output
每个模块代码分析
1 low-lever features
输入为low-res input,网络结构为n个卷积层,卷积核为,stride=2,代码如下:
with tf.variable_scope('splat'):
n_ds_layers = int(np.log2(params['net_input_size']/spatial_bin))
current_layer = input_tensor
for i in range(n_ds_layers):
if i > 0: # don't normalize first layer
use_bn = params['batch_norm']
else:
use_bn = False
current_layer = conv(current_layer, cm*(2**i)*gd, 3, stride=2,
batch_norm=use_bn, is_training=is_training,
scope='conv{}'.format(i+1))
splat_features = current_layer
2 local features
用于提取图像的局部特征,网络结构为l2个卷积层,卷积核为,stride=1,第一个卷积层采用batchnorm.
with tf.variable_scope('local'):
current_layer = splat_features
current_layer = conv(current_layer, 8*cm*gd, 3,
batch_norm=params['batch_norm'],
is_training=is_training,
scope='conv1')
# don't normalize before fusion
current_layer = conv(current_layer, 8*cm*gd, 3, activation_fn=None,
use_bias=False, scope='conv2')
grid_features = current_layer
3 global features G^i
用于提取全局特征,网络结构为两个卷积层,卷积核为,stride=2,卷积层之后是三个全连接层,代码如下:
with tf.variable_scope('global'):
n_global_layers = int(np.log2(spatial_bin/4)) # 4x4 at the coarsest lvl
current_layer = splat_features
for i in range(2):
current_layer = conv(current_layer, 8*cm*gd, 3, stride=2,
batch_norm=params['batch_norm'], is_training=is_training,
scope="conv{}".format(i+1))
_, lh, lw, lc = current_layer.get_shape().as_list()
current_layer = tf.reshape(current_layer, [bs, lh*lw*lc])
current_layer = fc(current_layer, 32*cm*gd,
batch_norm=params['batch_norm'], is_training=is_training,
scope="fc1")
current_layer = fc(current_layer, 16*cm*gd,
batch_norm=params['batch_norm'], is_training=is_training,
scope="fc2")
# don't normalize before fusion
current_layer = fc(current_layer, 8*cm*gd, activation_fn=None, scope="fc3")
global_features = current_layer
将local feature 和global feture相加,得到fusion feature:
with tf.name_scope('fusion'):
fusion_grid = grid_features
fusion_global = tf.reshape(global_features, [bs, 1, 1, 8*cm*gd])
fusion = tf.nn.relu(fusion_grid+fusion_global)
bilateral grid of coefficients
with tf.variable_scope('prediction'):
current_layer = fusion
current_layer = conv(current_layer, gd*cls.n_out()*cls.n_in(), 1,
activation_fn=None, scope='conv1')
with tf.name_scope('unroll_grid'):
current_layer = tf.stack(
tf.split(current_layer, cls.n_out()*cls.n_in(), axis=3), axis=4)
current_layer = tf.stack(
tf.split(current_layer, cls.n_in(), axis=4), axis=5)
tf.add_to_collection('packed_coefficients', current_layer)
guidance map g
输入为full-res input I.
def _guide(cls, input_tensor, params, is_training):
npts = 16 # number of control points for the curve
nchans = input_tensor.get_shape().as_list()[-1]
guidemap = input_tensor
# Color space change
idtity = np.identity(nchans, dtype=np.float32) + np.random.randn(1).astype(np.float32)*1e-4
ccm = tf.get_variable('ccm', dtype=tf.float32, initializer=idtity)
with tf.name_scope('ccm'):
ccm_bias = tf.get_variable('ccm_bias', shape=[nchans,], dtype=tf.float32, initializer=tf.constant_initializer(0.0))
guidemap = tf.matmul(tf.reshape(input_tensor, [-1, nchans]), ccm)
guidemap = tf.nn.bias_add(guidemap, ccm_bias, name='ccm_bias_add')
guidemap = tf.reshape(guidemap, tf.shape(input_tensor))
# Per-channel curve
with tf.name_scope('curve'):
shifts_ = np.linspace(0, 1, npts, endpoint=False, dtype=np.float32)
shifts_ = shifts_[np.newaxis, np.newaxis, np.newaxis, :]
shifts_ = np.tile(shifts_, (1, 1, nchans, 1))
guidemap = tf.expand_dims(guidemap, 4)
shifts = tf.get_variable('shifts', dtype=tf.float32, initializer=shifts_)
slopes_ = np.zeros([1, 1, 1, nchans, npts], dtype=np.float32)
slopes_[:, :, :, :, 0] = 1.0
slopes = tf.get_variable('slopes', dtype=tf.float32, initializer=slopes_)
guidemap = tf.reduce_sum(slopes*tf.nn.relu(guidemap-shifts), reduction_indices=[4])
guidemap = tf.contrib.layers.convolution2d(
inputs=guidemap,
num_outputs=1, kernel_size=1,
weights_initializer=tf.constant_initializer(1.0/nchans),
biases_initializer=tf.constant_initializer(0),
activation_fn=None,
variables_collections={'weights':[tf.GraphKeys.WEIGHTS], 'biases':[tf.GraphKeys.BIASES]},
outputs_collections=[tf.GraphKeys.ACTIVATIONS],
scope='channel_mixing')
guidemap = tf.clip_by_value(guidemap, 0, 1)
guidemap = tf.squeeze(guidemap, squeeze_dims=[3,])
return guidemap
sliced coefficients 与 full-res output
def _output(cls, im, guide, coeffs):
with tf.device('/gpu:0'):
out = bilateral_slice_apply(coeffs, guide, im, has_offset=True, name='slice')
return out
def bilateral_slice_apply(grid, guide, input_image, has_offset=True, name=None):
"""Slices into a bilateral grid using the guide map.
Args:
grid: (Tensor) [batch_size, grid_h, grid_w, depth, n_outputs]
grid to slice from.
guide: (Tensor) [batch_size, h, w ] guide map to slice along.
input_image: (Tensor) [batch_size, h, w, n_input] input data onto which to
apply the affine transform.
name: (string) name for the operation.
Returns:
sliced: (Tensor) [batch_size, h, w, n_outputs] sliced output.
"""
with tf.name_scope(name):
gridshape = grid.get_shape().as_list()
if len(gridshape) == 6:
gs = tf.shape(grid)
_, _, _, _, n_out, n_in = gridshape
grid = tf.reshape(grid, tf.stack([gs[0], gs[1], gs[2], gs[3], gs[4]*gs[5]]))
# grid = tf.concat(tf.unstack(grid, None, axis=5), 4)
sliced = hdrnet_ops.bilateral_slice_apply(grid, guide, input_image, has_offset=has_offset)
return sliced
bilateral_slice_apply = _hdrnet.bilateral_slice_apply
github代码:https://github.com/mgharbi/hdrnet
下载:
git clone https://github.com/mgharbi/hdrnet
安装依赖库:
cd hdrnet
sudo pip2 install -r requirements.txt
编译:
cd hdrnet
make
测试:
cd hdrnet
py.test test

返回train.py所在目录,训练:
cd ..
python train.py checkpoint/ sample_data/identity/filelist.txt
checkpoint为模型保存目录,sample_data/identity/filelist.txt 为训练数据路径.
测试训练好的模型:
python run.py checkpoint/ input_val/ test_output/
