【GAMES101现代计算机图形学笔记】Lecture02 Review of Linear Algebra
发布时间
阅读量:
阅读量
文章目录
-
- 图形学依赖的学科
- 线性代数基础知识
-
- 向量
- 矩阵
图形学依赖的学科
核心数学领域包含线性代数领域、微积分学以及统计学等学科。
物理学领域的研究包括波动光学。
其他领域涵盖信号处理中的采样与重采样技术以及数值分析中的计算方法,其中涉及蒙特卡洛积分等具体技术。
美术艺术审美是其独特的表现形式。
线性代数基础知识
向量
向量表示法

Vector Normalization

向量加法
* 几何意义:平行四边行定则或三角定则
* 代数意义:坐标值简单相加

笛卡尔坐标系
* 通常使用正交单位向量作为基底

向量乘法
点乘
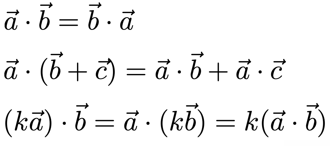
常用来计算两个向量之间的夹角

满足交换律和结合律

笛卡尔坐标系意义

图形学意义
- 分解两矢量间的夹角
- 求一矢量在其矢量上的投影
- 分解一矢成为垂直分项与竖直分项
- 判别同性异性:当点积结果正时同性;结果负时异性;结果零时正交。



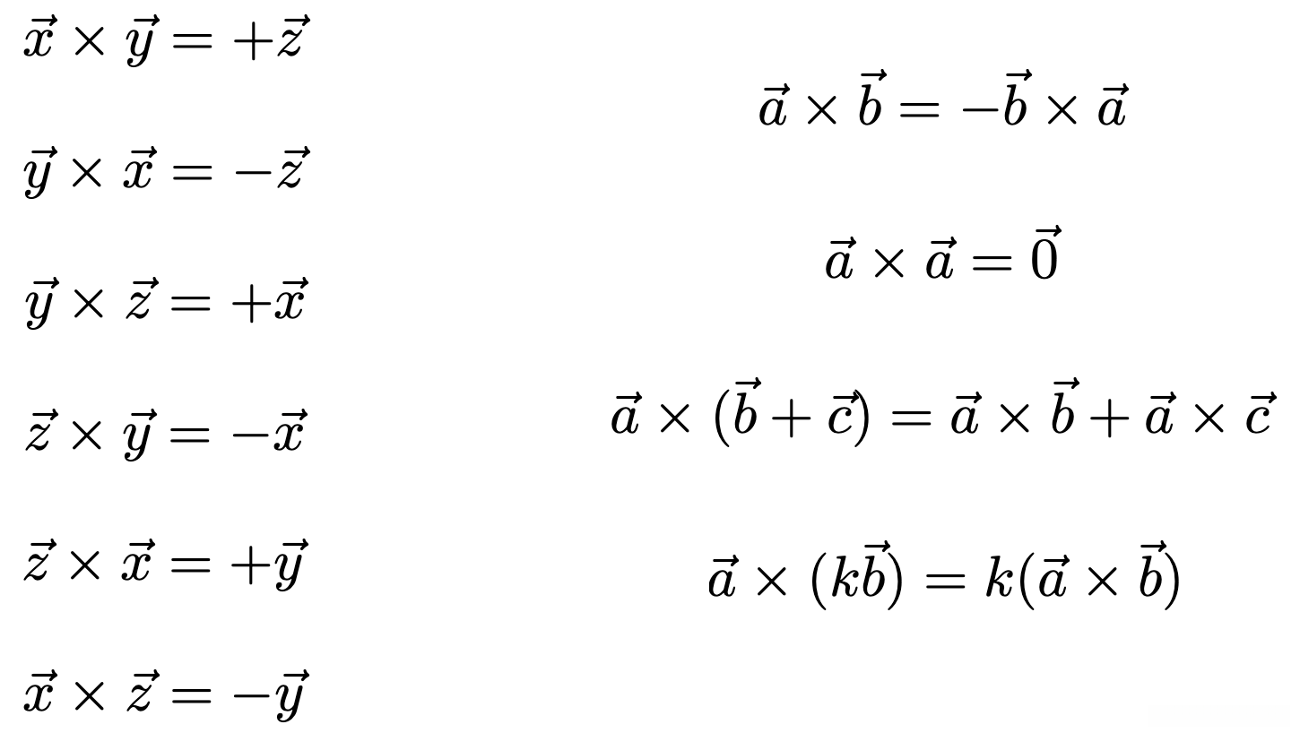
叉乘
两个向量的叉乘垂直于这两个向量
用右手定则确定其方向
常用来构建坐标系:如切线空间变换到模型空间的TBN矩阵

性质

向量叉乘可表示为矩阵与向量相乘的形式:对偶矩阵

图形学应用
判断一个向量在另一个向量左侧还是右侧
判断一个点在三角形内还是在三角形外:AB x AP、BC x BP、CA x CP是否同向

正交基和坐标系
* 标准正交基定义

矩阵
通常用来表示Transform变换:位移、旋转、缩放、shear
矩阵乘法

矩阵乘法通常不满足交换律,但满足结合律

矩阵转置及性质

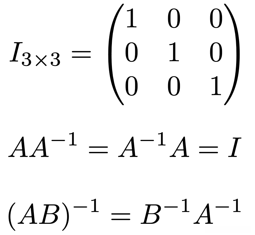
单位矩阵与逆矩阵定义

向量乘法和矩阵表示形式

全部评论 (0)
还没有任何评论哟~
