(ETN)Learning to Transfer Examples for Partial Domain Adaptation笔记
发布时间
阅读量:
阅读量
Learning to Transfer Examples for Partial Domain Adaptation笔记
这是篇关于部分域适应的论文,他也提到了之前三篇比较经典的关于部分域适应的论文,并指出了它们的不足之处。
1.SAN:<>
2.PADA:<>
3.IWAN:<>
作者认为SAN和PADA虽然减少了离群源类的权重,但是对于源分类模型的训练还是用到了所有的源域数据,那么当分类模型应用到目标域数据上时,离群数据就会对性能产生一定的影响; IWAN的第一个域判别器区分源域和目标域只是基于域信息,而没有根据源域的辨别性信息,这会对共享类和离群类产生无差别的重要性权重。
关于上句话的理解:举个例子,如果源域中有猫和老虎这两个类别,而目标域中只有猫这一个类别,因为猫和老虎有很多相似的特征,所以IWAN会给猫和老虎都赋予比较高的权重。
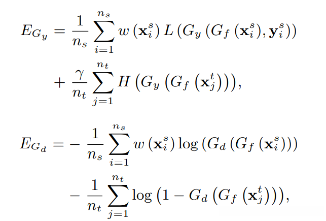
作者提出了ETN方法,用
表示源样本的权重,他把权重进一步放到了源分类模型中。得到以下的目标函数:

那么如何量化每个源域样本的可迁移性
呢?
作者采用了一个额外的域鉴别器
,它通过将源域样本分类到目标域的sigmoid概率来粗略的衡量源域样本的可迁移性。为了在域信息中同时考虑到辨别性信息,作者在
前还设置了一个额外的标签预测器
。
使用的是leaky-softmax激活函数:
至于为什么要在分母上增加一个常数,
感觉作者没有说,以我的理解是为了让大概率变得更大,小概率变得更小。 哇·····写到后面我才意识到leaky-softmax的作用,就是让下面这个式子加和小于1啊。感谢~~~

表示样本属于源域中类别c的概率,加和之后就是样本属于源域的概率(因为使用的是leaky-softmax激活函数,所以加和概率是小于1的)
的值越小,就以为这该样本越可能来自共享类,就给他一个高权值,所以
的输出可以量化源域样本对可迁移性:

全部评论 (0)
还没有任何评论哟~
