最优传输论文(四十七):Curriculum manager for source selection in multi- source domain adaptation论文原理
文章目录
- 引言
- 摘要
- 第1章 绪论
- 第2章 相关研究综述
- 第3章 预备知识
- 第4章 CMSS: 课程管理师-源选择方案 – 理论视角
-
4.1 CMSS: 理论基础
-
5 Experimental Results
-
代码
-
前言
本文发表于2020年的ECCV会议。
作为本人在领域自适应与最优传输研究方向上的综述性论文,
它完整地介绍了该领域的最新研究成果和应用进展,
并深入探讨了自适应学习与最优传输理论之间的联系。
与此同时,
我整理并分享了完整的代码库,
恳请大家star我们的GitHub仓库以示鼓励,
并期待您的宝贵反馈和建议。
摘要
多源无监督域自适应性能在其标记源域样本转移效率上受到显著影响,在本研究中我们提出了一种对抗性代理机制(Curriculum Manager for Source Selection, MSS),该机制通过动态学习路径帮助源样本实现系统化管理。这一机制由一个独立的网络模块构成,在训练过程中持续优化学习路径,并反复筛选出最适合与目标领域保持一致的内容区域。这种设计背后的直觉是通过设计机制促使课程管理模块持续评估潜在领域的迁移潜力随时间的变化趋势,并以此指导潜在领域的迁移过程以降低迁移过程中的误判概率。值得注意的是该课程管理模块完全无需依赖于领域标签信息,在四个典型基准测试任务中展现出超越现有方法的表现并提供了清晰的结果说明。
无监督领域适应 多源 课程学习 对抗训练
1 Introduction
生成深度神经网络需要具备高质量标注数据集。然而,在实际应用中获得这些标注数据耗时费力。早期研究者在[15]中首次提出了一种无监督领域适应方法——无监督领域适应(UDA)——以解决这一问题。该方法通过利用对抗训练技术从标签丰富的数据集中学习到未标记数据集(目标域)上的性能表现令人瞩目。
从直觉上讲,在源域中拥有更多标记样本是有益的。然而这一观点并不完全正确因为源域可能包含大量不同领域的分布信息这可能导致跨域迁移效果不佳尽管目标是实现多源无监督领域自适应(MS-UDA)但这种方法存在两个主要缺陷:首先为了保证迁移效果必须假设所有潜在领域已知并且其分布与目标域严格匹配这会增加模型训练难度并可能导致模型在决策边界附近产生模糊表示从而影响迁移效果;其次这种方法对潜在领域数量及分布缺乏灵活性因此难以处理实际场景中的复杂情况例如从互联网收集的数据集通常涉及大量未知来源。
针对多源无监督领域自适应问题MS-UDA我们开发了一种新型对抗代理机制CMSS(课程选择管理器)。该机制能够动态识别最适合与目标分布对齐的潜在领域或样本并通过不断更新的学习过程优化模型表示能力。
作为主要贡献我们提出了一种全新的基于课程学习的方法用于解决MS-UDA问题我们的方法不需要任何先验知识即可自动发现多个潜在相关领域并且能够有效提升迁移性能实验结果表明我们的方法在包括约60万张图像的大规模DomainNet基准以及4个其他知名基准上均取得了超越现有最先进的水平的表现。
此外我们还提供了一个清晰的理论分析框架证明了所提出的课程选择机制具有显著的优势并展示了其与现有技术体系的独特性这使得我们的方法能够在现有技术框架之外形成显著突破。
2 Related Work
- UDA是机器学习和计算机视觉研究中一个活跃的研究领域。由于ben - david等人[1,2]的开创性贡献,已经提出了几种不受域移位影响的学习表示的技术[10,11,23,25,45]。在本节中,我们回顾一些与我们的工作最相关的最新方法。
- 多源无监督域自适应(MS-UDA) :假设源训练示例本质上是多模态的。源域包含有标记的样本,而目标域包含未标记的样本[15,22,27,32,46]。在[32]中,通过调整每个源-目标对之间的特征分布矩来进行自适应。深度鸡尾酒网络(Deep Cocktail Network, DCTN)[40]除了考虑域移位外,还考虑了更现实的类别移位情况 ,提出了一个k-way域对抗分类器和类别分类器来生成目标的组合表示。
- 由于在实际数据集中很难获得域标签 ,因此潜在域发现[27,Boosting domain adaptation by discovering latent domains]作为一种减少显式域标签标注需求的技术有许多实际应用。Xionget等人[39]提出利用基于类别分布的平方损耗互信息聚类来推断图像的域分配。Manciniet al.[27]使用域预测分支来引导使用多个batchnorm层的域发现。
- 自DomainAdversarial Neural Network (DANN)[15]提出以来,领域对抗训练被广泛应用[7,9,31]。其核心思想是训练一个鉴别器网络从目标中区分源特征,训练特征网络欺骗鉴别器。Zhaoet al.[46]首先提出将DANN推广到多源环境,并提供了关于多域对抗界的理论见解。最大分类器差异(MCD)[33]是另一种强大的技术[19,24,32,38],它使用两个分类器以对抗的方式进行自适应。该方法首先对分类器进行更新,使分类器对目标样本的预测差异最大,然后在更新特征生成器的同时使差异最小。
- 域选择与加权 :以往采用样本选择和样本加权技术进行域自适应的方法有[12-14]。Duanet al.[14]提出利用来自不同来源的大量松散标记的web图像来使用域选择机器。[14]的作者采用了一组基分类器来预测目标域的标签,以及一个基于平滑假设的域相关正则化器。Bhatt等人[5]提出通过选择最佳源来迭代适应,以更快地学习共享表示。Chenet al.[9]使用手工加权向量,使得源域标签分布与未知目标标签分布相似。Manciniet等人[26]使用图对领域依赖关系建模,并利用辅助元数据进行预测领域自适应。Zhanget al.[43]使用了一个额外的域分类器,它给出了样本来自源域的概率。这种额外分类器的置信度越高,它就越有可能从目标域中被区分出来,在这种情况下,该样本的重要性相应降低。
- 领域适应课程 :目标是随着时间的推移采取适应策略,以提高领域转移的有效性 。课程可以手工制作,也可以学习。Shuet。Al[34]将分类损失和鉴别器损失作为一种加权策略来设计课程,以消除源域中的损坏样本。另一个动机类似的作品是[8],在其中Chenet。提出用分类原型来衡量目标样本的预测置信度。在选择部分目标样本进行进一步对准时,利用人工设计的阈值进行二值决策。Kurmiet。Al[20]使用了一个基于课程的辍学判别器来模拟样本方差的逐渐增加。
这篇论文的related写的还是非常不错的,分类对现有模型进行了整理 。
3 Preliminaries
- 老样子,这里是符号描述:

- 领域对抗训练 :首先,我们讨论来自[15]的领域对抗训练公式,这是我们扩展到MS-UDA的基础。领域对抗训练的核心思想是最小化作为对抗博弈的源和目标特征分布之间的分布距离 。该模型具有特征提取器、分类器和域鉴别器。分类器从特征提取器中提取特征并将其分类。优化了鉴别器,实现了源特征与目标特征的鉴别。另一方面,对特征网络进行训练,在欺骗鉴别器的同时达到良好的分类精度。
- 然后:

主要采用的是分类与领域对抗相结合的方法。具体而言,在该方法中,L_{cls}表示源域的交叉-熵损失(其中y'_i为标签y_i的one-hot编码),而L_{dom}则代表源样本与目标样本之间的鉴别器损失。值得注意的是,在本方法中所使用的两个损失函数均基于所有来源领域的样本进行计算。
通常情况下,在可区分的来源标注场景下(即我们知道某个源领域的具体来源信息),我们可以基于以下两种主要方案进行领域鉴别:方案一要求训练k个独立的领域鉴别器(每个鉴别器专门用于识别特定的源领域与其他领域之间的差异),而方案二则通过一个具有多分类功能的单体模型实现这一目标(具体而言是一个(k+1)-way分类问题)。然而,在我们所研究的情景中(即在实际应用中通常遇到的情况),由于缺乏对样本所属领域的先验知识(即所谓的"无标签"场景),因此无法直接应用这些方法。
4 CMSS: Curriculum Manager for Source Selection
对于本质上是多模式的源域,在我们的研究中旨在设计动态课程以筛选出最具代表性的样本,并使目标特征分布与之匹配。在训练初期阶段,在线课程经理的目标是优先选择那些具有高可移植性并能与目标样本实现良好对齐的源样本——这些样本应具有与目标样本相似的特征分布特性。一旦这些具有相似特征分布特性的源样本被识别出来,则在线课程经理将逐步关注其他更具代表性的特征维度,在此过程中不断优化可移植性评估标准。由于我们提出的方法旨在从不同源域中选择最优样本并构建统一的教学体系方案,则将其命名为源选择课程管理器(CMSS)。

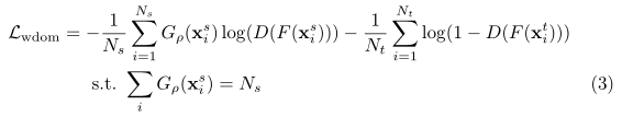
利用CMSS生成的源样本权值,域鉴别器的损失函数为

主要构建了一个网络G用于生成每个源域对应的权重值,并在此过程中,在鉴别器的作用下对齐目标域与各源域时更加注重分配
图1:

图1: 训练阶段中的CMSS示意图。所有训练样本均经由特征网络f进行处理。CMSS倾向于优先选择具有较好可迁移性的样本来与目标进行匹配,并定期评估其可迁移性以同步更新鉴别器参数。经过充分的迭代后,在大多数情况下,源样本间的CMSS权重趋于趋同。
- 总体优化目标为:

其中,在源分类系统的交叉熵损失 L_{cls} 与目标域上的加权域鉴别器损失 L_{wdom} 之间进行了平衡。具体而言,在优化过程中采用了来自Eq.(2)的结果来确定各权重参数。值得注意的是,在梯度反转层的设计中引入了一个超参数λ,默认情况下将其视为该层的关键参数之一。根据退火计划跟踪[15]并采用公式 λ_p=2/(1+exp(−γ·p))−1 来设定其值(其中p代表当前迭代次数与总迭代次数的比例)。在所有实验设置中,默认将γ设为固定值10(如参考文献[15]所描述)。完整的训练细节可在算法框图中找到描述(算法框图未展示)。

图2:

如图2所示,在左侧使用了DANN[15]算法,在中间部署了IWAN[43]模型。其中红色虚线标识了反向传播路径。(见附图)具体而言,在右侧部分比较了三种主要组件:特征提取器(F)、分类器(Cls)、域鉴别器(D)、梯度反转层(GRL)以及课程管理器(CM)。在公式1中定义了域损失项L_dom;在公式3中引入了加权因子以优化域损失项L_{wdom}。
4.1 CMSS: Theoretical Insights
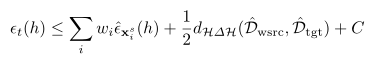
我们系统性地探讨了领域自适应的经典泛化界[3,6]。假设空间H被定义为d维的,并在此基础上引入对称差分算子 H∆H={h(x)⊕h'(x)| h, h'∈H}。令 D_{src} 和 D_{tgt} 分别代表源域和目标域的概率分布,并通过从源域样本集与目标域样本集分别抽取m个实例生成的经验分布 D'{src}, D'{tgt} 。其中真实风险由 \epsilon_s(\epsilon_t) 量化表示,在这种情况下(根据定理1),则有概率至少为 (1−δ)$ 满足下述关系式:∀h∈H

其中:

其中λ代表假设h下能达到的最优综合风险(源与目标风险之和),即公式推导: λ=argmin_{h^*∈H}\ ε_s(h^*)+ε_t(h^*)。设\{x_s^{i}\}_{i=1}^{m}与\{x_t^{j}\}_{j=1}^{m}分别代表来自经验分布D'_src和D'_dtg的样本集合,则对于每个样本x_s^{i}的概率值以及x_t^{j}的概率值均为1/m。基于上述定义的实证来源风险则可表示为:公式推导: ε'_s(h)= \frac{1}{m}\sum_{i=1}^{m}ε'_{x_s^{i}}(h)
基于CMSS重新分配权重后的源分布D'_{wsrc}而言,在这种情况下有P(x^s_i) = w_i这一关系成立。由于D'_{wsrc}构成一个有效的概率质量函数,在满足\sum_iw^s_i= 1, w^s_i≥0的前提下展现出良好的统计特性。
请注意D'_{src}和D'_{wsrc}基于相同的样本集构建,仅其权重有所差异。该重加权分布的泛化边界可通过以下方式表示:

由于这个界限适用于任意权重向量w= [w^s_1, w^s_2,…, w^s_m]在单纯形内域中存在,则我们可以通过最小化该变量下的目标函数来推导出更为严格的限制条件。

换句话说,在该方法中我们旨在选择适当的权重向量w以使右侧表达式的值达到最小这一操作能够有效降低目标域误差上界这一过程正体现了该模型的核心思想整个模型的核心任务则是寻找一个适当的权重向量w即通过调节参数θ来构建相应的网络结构G
- 第一项是加权风险度量 d_{H∆H}(D'_{wsrc} , D'_{tgt}) ,它是基于我们提出的加权对抗损失函数实现的一种对称发散形式。
注意:当权重向量 w 等于 [1/m,1/m,…,1/m] 时(即回到情况(5)),我们得到原始的界值(5)。因此,在优化过程中所得的界值始终位于可行域之内。
采用放松策略 在实际应用中,默认情况下我们会采用深度神经网络来优化上述边界条件。
由于在源样本权重向量 w 上的最优界(6)是最小值这一特性,在实际操作中一个简单的方法是在源样本中仅给极少数样本分配非零权重值。
在这种情况下,在训练过程中神经网络会对这些被赋予高权重的源样本进行过拟合学习,
从而使得训练风险较低、域间发散程度较小。
然而,
这种做法存在潜在的风险,
即可能导致模型出现异常行为:
在这种情况下,
尽管损失值很小,
但这种配置实际上是不理想的,
因为它可能导致模型过于依赖少数几个特异样本而导致泛化能力下降。
为了避免这种情况的发生,
我们需要采取以下两种放松策略:
- 使用未加权的损失函数作为源样本的风险度量(即上界(6)的第一项)
- 对发散项而言,
我们不再最小化所有样本的目标函数,
而是仅对小批量样本进行优化。
对于每个小批量处理后的结果中都至少有一个非零权重值。
此外,
我们将权重设定为输入数据的函数形式:
即 w_i = G_p(x^s_i) ,
其中 G_p 是用神经网络实现的一个映射函数,
这有助于平滑地预测权重分布,
并使权重网络能够根据目标域的相关性对源样本进行soft选择分类。
值得注意的是,
在上一节中所讨论的 G_ρ 网络设计满足以上标准要求。
对本文进行一下总结,

首先,在训练过程中希望选择具有高跨语言可移植性的样本对齐目标样本。这种对齐策略的核心在于选择那些在特征分布上与目标样本高度相似的源样本。
与此同时,在这一过程中获得启发:难以从目标样本中分离出具有相似特征分布的源样本可能是因为它们来自同一领域或高度相关的领域。
基于此观察我们提出了基于特征相似度的多任务学习方法(CMSS)该方法通过引入鉴别器损失函数来优化对齐过程并设计了相应的优化算法。
需要注意的是在本研究中假设领域标签信息不可用。
具体而言首先引入加权鉴别器损失函数l_{wdom}如公式3所示该函数在源域损失中加入了一项与样本相关的权重系数G_ρ这些权重系数由自适应机制生成并根据公式3反向调节自适应网络参数从而使得网络能够识别哪些样本应该被优先对齐。
具体实现如算法1所示通过最大化域鉴别器对齐损失来优化自适应网络参数
其次在优化过程中我们采用了两步策略第一步是放大域鉴别器的基本损失l_{dom}以提高其区分能力
第二步是结合加权策略进一步提升整体性能
最后我们将传统源域分类损失与加权后的鉴别器损失结合起来用于优化特征提取层以及分类器参数
在整个学习过程中通过这种联合优化的方式可以使模型更新更加有效从而提高整体性能
5 Experimental Results
- 实验部分原谅我不赘述了,感兴趣的可以去查看原文~!
代码
-
官方并没有给出代码,这里我复现了一下,并没有过多调参,在digits5->mnist的实验上大概有98 的准确率,看来复现应该是对的。
-
代码网址:
https://github.com/CtrlZ1/Domain-Adaptive-CodeBase :这里是以项目工程的方式存放代码
https://github.com/CtrlZ1/Domain-Adaptation-Algorithms :这里是以模型的方式存放代码 -
欢迎Star !
