IPS:Debiasing Learning based Cross-domain Recommendation
Debiasing Learning based Cross-domain Recommendation(IPS)
第38届国际 ACM (CCF A) 计算机科学与技术大会;由 Siqing Li 等人共同组织(35位学者参与),定于 2021 年举办
思路
在跨领域的应用中纠正数据选择偏差的广义倾向得分是一个重要的研究方向;为此提出了一种基于领域的方法,在减轻跨域信息传输过程中的领域偏差方面具有创新性。
这种新方法的核心在于设计了一个新型去偏学习模型,并在此基础上提出了新的逆倾向分数IPS估计器;进而针对特定领域的混淆情况提出了新的倾向得分估计方法。
通过这种方法可以在不同领域中动态调整用户偏好在各个领域的差异变化规律;从而有效缓解由于偏好偏差带来的负面影响。
经过通用框架整合后各种推荐算法都可以实现跨域迁移;而本文则是首次将去偏学习技术应用于跨域推荐问题的研究中,并提出了创新性的解决方案。
推荐模型
问题定义
设D、U、I分别代表一组域、用户集合和项目集合;其中每个元素分别用d、u、i表示。设置允许用户在不同域之间存在重叠关系;不假定项目间存在重叠关系。然而,在不同领域中的项目共享相同的属性集J(共有m个)。给定一个用户的偏好向量u∈U,假设该用户的偏好向量由两部分组成:第一部分是通用偏好特征k维;第二部分是受所在领域特定因素影响的领域特定偏好特征。
对于每个用户u和其属性集J_i(i∈I),我们的目标是推导出用户的通用偏好特征,并从受领域内偏好的影响中消除领域特定因素带来的偏见;以提升对用户的推荐效果。
通过消除领域内偏好的影响,推导出的通用偏好特征能够迁移到其他相关联的领域中去。
因果背景
将因果关系图 记为G,是描述变量之间因果关系的有向非循环图DAG,

R是随机变量的集合,E是边的集合。比如一条边存在且方向从a到b,那么a就是b的直接原因。
倾向评分 在因果推理中定义为个体被分配到特定treatment的概率 。在RS中,treatment可以看作给定一个特定项目,然后倾向分数是观察用户对某个项目的评级或点击行为的边缘概率,在一定程度上反映了用户对该项目的偏好强度。
为对跨域偏好进行建模,引入倾向得分p ujd ,表示u在d域内对属性j的偏好程度。在一定程度上捕获了与域相关的混杂因素。
跨域偏差 主要是由特定领域的混杂因素引起的,包括用户偏好偏差和数据选择偏差。
去偏学习框架

在本研究中,在附图中展示了因果关系图以及三种限制条件。我们致力于通过解决跨域选择偏见带来的特定领域混杂问题。基于因果关系的视角分析下,在这种情况下用户的嵌入表示其偏好。
考虑到这一背景,
对于给定的域D中的项目属性J,在将某个处理t分配给用户u时,
我们需要考察u是否会将其视为理想的结果。

我们的目标是构建一个能够处理混杂因素的treatment模型,并通过解决跨域学习中的偏差问题来实现目标。
跨域去偏的IPS估计器
是从一般的IPS估计器推广来的
是从一般的IPS估计器推广来的
是基于广为人知的IPS估计器的一个衍生方法

该方法可被归类为推荐技术,并包括FM和DeepFM等技术。其中符号▲代表误差指标,在实际应用中可选用诸如平均绝对误差、均方误差等指标来衡量模型性能。然而,在数据存在缺失的情况下,则会导致该方案难以直接应用。通常会采用观测样本的平均值来进行估计以弥补数据缺失的问题。

其中

因DSC,GC影响用户的偏好和不同域中的评级、点击行为数据而存在
因DSC与GC会直接影响用户的偏好以及跨领域间的评分、点击行为数据而存在

然后,上述R被定义为:

不同于传统的IPS估计器,我们的 IPS 估计器无论何种概率分配机制都不会产生偏差。

跨域倾向得分学习
在估计器中作为去偏调节使用的权重系数即为倾向得分的同时这一指标也代表了用户的偏好程度因此研究者便基于这一特点设计了不同的限制条件以确保估计的有效性具体而言研究者分别从三个层面构建了限制条件即估计水平域水平以及个人水平这三个层次构成了完整的限制框架以保证模型的整体适用性




域水平 :通过平衡用户在不同领域中的一般偏好来学习倾向得分。


个人水平 :使用拉普拉斯正则化来限制个体水平上的重复次数。

在每个域中训练

,然后跨域训练

。
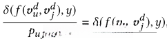
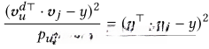
估计水平中第一个式子可以写为


。
实验
对比模型:Wide&Deep, DeepFM, CMF, Mult-View DNN, CoNet. 当应用于常规推荐方案时,在实验结果表明我们的方法能够显著提升这些方案的表现,并且无论是基于常用数据集还是工业实际数据集都能实现性能上的优化与增强。
总结
IPS只是一个方法,并不是一个模型,大概框架是确定一个预测公式,然后逐层确定其中参数,确定参数的过程中考虑了如何将选择偏差的有偏估计转化成无偏估计,最后就是参数的训练,也就是用损失函数给它做一个最优化问题
本文目前仅涉及到了选择偏差这一类问题,在曝光偏差、位置偏差等方面尚未展开深入探讨。 IPS属于一类方法而非独立的模型框架,在其基本流程中旨在构建预测公式并逐步优化各层次参数以实现无偏估计的目标;其核心逻辑是通过最小化损失函数来进行参数优化的过程
