A Discriminative Feature Learning Approach for Deep Face Recognition
发布时间
阅读量:
阅读量
作者提出了一个新的中心损失函数,并将其与softmax loss结合起来应用
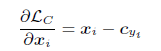
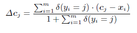
在分类任务中, Softmax损失增强了不同类别样本之间的距离;而中心损失则降低了同一类别样本之间的距离;通过联合监督学习机制构建CNN模型后, 在分类性能上取得了显著提升.






center loss代码(mxnet):
import os
# MXNET_CPU_WORKER_NTHREADS must be greater than 1 for custom op to work on CPU
#os.environ['MXNET_CPU_WORKER_NTHREADS'] = '2'
import mxnet as mx
# define metric of accuracy
class Accuracy(mx.metric.EvalMetric):
def __init__(self, num=None):
super(Accuracy, self).__init__('accuracy', num)
def update(self, labels, preds):
mx.metric.check_label_shapes(labels, preds)
if self.num is not None:
assert len(labels) == self.num
pred_label = mx.nd.argmax_channel(preds[0]).asnumpy().astype('int32')
label = labels[0].asnumpy().astype('int32')
mx.metric.check_label_shapes(label, pred_label)
self.sum_metric += (pred_label.flat == label.flat).sum()
self.num_inst += len(pred_label.flat)
# define some metric of center_loss
class CenterLossMetric(mx.metric.EvalMetric):
def __init__(self):
super(CenterLossMetric, self).__init__('center_loss')
def update(self, labels, preds):
self.sum_metric += preds[1].asnumpy()[0] #preds[1]?
self.num_inst += 1
# see details:
# <A Discriminative Feature Learning Approach for Deep Face Recogfnition>
class CenterLoss(mx.operator.CustomOp):
def __init__(self, ctx, shapes, dtypes, num_class, alpha, scale=1.0):
if not len(shapes[0]) == 2:
raise ValueError('dim for input_data shoudl be 2 for CenterLoss')
self.alpha = alpha
self.batch_size = shapes[0][0]
self.num_class = num_class
self.scale = scale
def forward(self, is_train, req, in_data, out_data, aux):
labels = in_data[1].asnumpy()
diff = aux[0]
center = aux[1]
# store x_i - c_yi
for i in range(self.batch_size):
diff[i] = in_data[0][i] - center[int(labels[i])]
loss = mx.nd.sum(mx.nd.square(diff)) / self.batch_size / 2 #1/2*||diff||^2
self.assign(out_data[0], req[0], loss)
def backward(self, req, out_grad, in_data, out_data, in_grad, aux):
diff = aux[0]
center = aux[1]
sum_ = aux[2]
# back grad is just scale * ( x_i - c_yi)
grad_scale = float(self.scale/self.batch_size)
self.assign(in_grad[0], req[0], diff * grad_scale)
# update the center
labels = in_data[1].asnumpy()
label_occur = dict()
for i, label in enumerate(labels):
label_occur.setdefault(int(label), []).append(i)
for label, sample_index in label_occur.items():
sum_[:] = 0
for i in sample_index:
sum_ = sum_ + diff[i]
delta_c = sum_ / (1 + len(sample_index))
center[label] += self.alpha * delta_c
@mx.operator.register("centerloss")
class CenterLossProp(mx.operator.CustomOpProp):
def __init__(self, num_class, alpha, scale=1.0, batchsize=64):
super(CenterLossProp, self).__init__(need_top_grad=False)
# convert it to numbers
self.num_class = int(num_class)
self.alpha = float(alpha)
self.scale = float(scale)
self.batchsize = int(batchsize)
def list_arguments(self):
return ['data', 'label']
def list_outputs(self):
return ['output']
def list_auxiliary_states(self):
# call them 'bias' for zero initialization
return ['diff_bias', 'center_bias', 'sum_bias']
def infer_shape(self, in_shape):
data_shape = in_shape[0]
label_shape = (in_shape[0][0],)
# store diff , same shape as input batch
diff_shape = [self.batchsize, data_shape[1]]
# store the center of each class , should be ( num_class, d )
center_shape = [self.num_class, diff_shape[1]]
# computation buf
sum_shape = [diff_shape[1],]
output_shape = [1, ]
return [data_shape, label_shape], [output_shape], [diff_shape, center_shape, sum_shape]
def create_operator(self, ctx, shapes, dtypes):
return CenterLoss(ctx, shapes, dtypes, self.num_class, self.alpha, self.scale)
全部评论 (0)
还没有任何评论哟~
