Visual-lidar Odometry and Mapping: Low-drift, Robust, and Fast. V-LOAM论文. ICRA2015
4.系统概略
整个系统被分为两部分:
视觉里程计
视觉里程计以图像帧率估计帧间运动,使用的是带有激光雷达辅助的视觉图像。
在这个部分中,特征提取模块提取并且匹配相邻帧的特征点。
深度地图注册depth map registration模块将激光点云和local depthmap关联到一起,为视觉特征提供深度。
帧间运动估计模块使用视觉特征估计运动。
激光雷达里程计
一次sweep扫描定义为一帧,本系统一次扫描持续1s,每完成一次扫描执行一次激光雷达里程计。
帧(sweep)间refinement模块匹配相邻帧的点云来refine估计出来的运动并且消除点云畸变。
帧-地图注册模块匹配点云和已经建好的地图,并发布相对于地图的位姿。
发布出去的位姿是整合了两个里程计的结果,以图像频率发布。
大概就是60hz帧的速度做视觉里程计,1hz的帧率做激光里程计。
当有激光的时候发布refine结果?没有激光的时候等于还是视觉里程计输出的位姿?
5.视觉里程计
通过激光点云的帮助,视觉里程计注册并且维护了一个深度地图depth map,用以估计运动。
计算运动的时候,三种视觉特征会被考虑进去,以深度的来源区分为:1. 深度地图提供深度 2. 根据之前运动估计三角化得到的深度 3. 无深度。
对于一个特征点
,它可以表示成
,第k帧的第i个特征点X。(原文还有个左上标S表示Sensor坐标系)
对于一个不知道深度的特征点,使用标准化坐标表示方式,
,其中
。
使用刚体运动方程建模帧间运动,R为旋转矩阵T为位移向量,得到:
(再省略一个特征下标i)
当k帧特征点
深度存在的时候,我们能直接把这距离跟上一帧的点关联。
什么情况特征点的深度是知道的?
然而
的深度总是未知,因为k-1到k帧的运动还未知,我们没办法从深度地图或者通过运动T三角化获得k帧深度。
通过运动T来三角化特征点以获得深度?一般是我们是通过两帧的特征点对来三角化特征点并且估算T吧?
定义
,用
取代(1)中的
得到
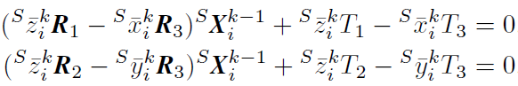
,第一第三行抵消d,第二第三行抵消d,得到:
。
整理成
标记成(2)和(3)。
当特征点深度不存在的时候,前一帧
后一帧
的深度都不知道。以相似的方法用
和
分别替换掉(1)中的部分。
结合三行消除d,得到:
标记为(4).
咋消的d?
上面处理说明,当一个特征具备深度的时候可以给出2-3式,而不具备深度信息的时候只能给出4式。
我们把所有的点提供的等式摞在一起,把运动T用6自由度表示,用LM方法求解。每个点的残差用来提供权重,以减少错误匹配的影响。
当维护深度地图的时候,新收到的激光雷达点云会被加入到地图中。只有摄像头前面的点,并且不是太久的点会被考虑进去。
深度地图会被downsized(how?)以保持固定的点密度,并且投影到最近的相机帧(一旦最近帧和上一帧的转换关系知道)。
深度地图中的点用球坐标系表示(两个角度一个距离),并且以2D KD-tree存储(两个角度为轴)。
当查找特征点的深度的时候,我们找到该点最近的三个深度地图点,构成一个平面,相机光心到该平面的距离就是深度。(跟后来某paper一样做法)
另外,如何有些特征点在地图中找不到深度,但是已经被追踪了一段距离,我们会将这些点用连续图像帧三角化。
下图绿色特征点深度来自深度图,蓝色特征点深度来自三角化

还是不清楚具体流程,盲猜是
求RT
当相机观测到特征点,这时候k和k-1的运动还不知道,
所以通过图像中的特征点匹配关系,找到k-1的对应特征点,如果k-1的点知道深度(上图绿色蓝色),构建2-3式,如果不知道k-1特征点深度(上图红色),构建4式。
摞好所有特征点的公式,带上权重,利用LM求最优RT。
维护深度地图
这时候已经知道k到k-1的运动了,我们把激光雷达的点云投影到深度地图中,用KD tree存储。
当k+1帧来的时候,要在k帧里面找对应特征点的深度(蓝色绿色),这个深度信息就来自于这张更新到了k帧的深度地图。
激光雷达里程计
激光雷达和后面的部分好理解的多。。。有空再写 忙读其他论文去了。
