Rule-Guided Compositional Representation Learning on Knowledge Graphs-学习笔记
Rule-Guided Compositional Representation Learning on Knowledge Graphs
1.表示学习知识图谱(KG)是将KG的实体和关系嵌入到低维连续向量空间中。
2.可以使用Horn规则在语义级别上组合路径和关联关系,以提高学习路径上KG嵌入的精度,并增强表示学习的可解释性。
3.DPTransE共同构建了KG的潜在特征和图形特征之间的交互,以提供精确而有区别的嵌入。
4.路径增强模型:由于多跳路径可以提供KG中看似未连接的实体之间的关系,因此KG中存在的路径已受到更多关注,可以与KG嵌入相结合。
5.论文提出了一种新颖的基于规则和基于路径的联合嵌入(RPJE)方案,该方案利用了逻辑规则的可解释性和准确性, KG嵌入的一般化以及路径的补充语义结构。特别是,首先从KG中提取以Horn子句形式存在的不同长度(规则主体中的关系数)的逻辑规则,并精心编码以表示学习。然后,使用长度为2的规则来精确地组成路径,而明确使用长度为1的规则来创建关系之间的语义关联并约束关系嵌入。而且,在优化中还考虑了每个规则的置信度,以保证将规则应用于表示学习的可用性。

1.Logic Rules Extraction from KG**:** 从KG中挖掘规则及其置信度,表示为μ∈[0,1]。 具有较高置信度的规则具有较高的保持可能性。将有效规则的最大长度限制为2。
R1:长度为1的规则集,关联规则主体和规则头中的两个关系。
R2:长度为2的规则集,可用于组成路径。
一些规则R1和规则R2的示例:

2.Rules Employment for Compositional Representation Learning**:** 首先通过PTransE在KG上执行路径提取过程,其中每个路径p及其可靠性 都通过路径约束资源分配机制获得,并表示为R****(p | h****,t****) 在实体对(h,t)之间。通过选择实体对(h,t)之间的路径(其可靠性超过0.01)来生成每个路径集P****(h****,t****) 。特别是,必须由规则R2中每个规则主体的原子形成一个顺序路径以构成路径。对每个规则进行编码,以形成其规则主体的定向路径。

同时需要考虑到可以同时在路径中匹配多个规则的情况,应选择置信度最高的规则来构成路径。为了表示学习,需要将(a,r2,b)⇐(b,r1,a)形式的规则编码为(a,r2,b)r(a,r1-1 ,b)。
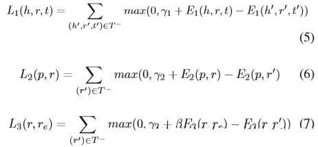
3.Compositional Representation Modeling**:** 定义了三个能量函数分别与直接三元组以及典型的基于翻译的方法,使用规则R2和使用规则R1的关系对:

E2(p,r)表示评估路径p与关系r之间相似性的能量函数。C(p)表示路径p的合成结果,它是根据2(Rules Employment for Compositional Representation Learning)中说明的路径合成过程获得的。B(p)= {μ1,...,μn}表示与构成路径p的过程中使用的规则****R2 中的所有规则相对应的置信度级别集合 。E3(r,re)是能量函数,指示关系r和另一个关系re的相似性,并且如果re是与规则R1关联的关系r所隐含的关系,则re应当被赋予更少的分数。
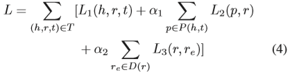
4. Objective Formalization**:** 引入了成对排名损失函数来形式化用于训练的RPJE的优化目标:

D(r)定义为根据规则R1从r推导出的所有关系集,而re是D(r)中的任何关系。

三个基于边际的损失函数。 γ1,γ2,γ3是分别表示方程式5、6、7中每个损失函数的三个正超参数。三元组的权重固定为1,而α1,α2是两个超参数,分别加权路径的影响和关联对的重合度,以r表示约束。所有规则的置信度都被认为是优化中的惩罚系数。
T代表在KG中观察到的所有正三元组的集合。T-包含通过随机替换T中的实体和关系并删除T中已存在的三元组而重构的负三元组。

为了解决优化问题,使用小批量随机梯度下降(SGD)。并考虑训练效率,将路径限制为不超过3个步骤。
