论文阅读Bayesian Loss for Crowd Count Estimation with Point Supervision
A Bayesian Loss Function for Estimating Crowd Counts Using Point Supervision
代码:https://github.com/ZhihengCV/Bayesian-Crowd-Counting
本文是ICCV 2019口头展示(Oral)文章.
传统的方法主要依赖于基于从点标注生成的人工标记数据集产生的伪标签作为监督信号,并非通过直接对概率密度函数建模来进行密度回归

该论文采用了全新的策略,完全摒弃了基于点标注生成不完美伪标签的做法,转而直接将数据库提供的高质量标注信息作为弱监督信号使用.在概率密度估计的基础上进一步计算其期望值,并在此基础上设计损失函数与回归模型.通过结合离散的概率密度期望值和离散的高质量标注信息来构建损失函数,最终实现对目标变量的预测.

请仔细观察两种方案中监督信号的作用位置的不同之处。对于传统的方案来说,在基于样本的标记生成全图'伪真实标签'的基础上构建模型是其主要特点之一——这种方法带来了显著噪声问题。相比之下,在我们的解决方案中,则采用了概率密度估计的方法,在概率密度图上进行期望计算,并直接与真实样本的标记点进行回归拟合以获得参数估计结果——这种方法避免了上述缺陷带来的负面影响。
训练过程
所提方法的训练过程示意图如下所示:

该论文提出贝叶斯损失模型,并基于标注样本构建了密度贡献的概率模型。所提出的损失函数不直接约束图像中每个像素的值,而是采用了更为可靠的方式对每个标注样本的期望计数进行监督学习。
将问题可视为基于图像中某个点的位置,该特定点位置出现人类的概率,因此人群计数的期望值等于后验概率与密度函数的内积.通过高斯核加权的密度函数表示为:


代表二维空间的位置,给定每个点的label

,

的似然函数为:

问题: 这个不是跟上面的高斯变换的密度图一样吗?
首先,在解决某个人出现在某个位置的概率问题时, 通过贝叶斯估计进行求解, 其依据为贝叶斯公式:


表示density map上某个位置,yn表示第n个人,总共是N个人,观测值是

,表示

处观测到一个人,然后p(yn|xm()在

处观测道德人是yn的概率,

从观测结果来看, 一个人来自N个候选者中的任何一个的可能性相同,因此先验分布p(yn)服从均匀分布的概率为1/N,接着...

表示yn出现在

处的概率,那么这个概率好表示,文中用了2D的高斯分布表示

zn代表的是yn所在的位置坐标,在这种情况下就意味着当与yn的距离越远时其在该位置出现的概率也会相应降低。具体来说,在xn处如果存在一个人则该个体的身份被确定为yn的概率即由贝叶斯公式给出如下的计算结果:P(yn|xn)=∫p(xn|yn)p(yp) dyp/(∫∫p(xn|yp)p(xm|yq)p(yq)p(yq) dyq dyq) 这样的计算过程能够帮助我们得出关于整体区域内出现人数的统计学指标。基于后验概率模型以及密度分布图的构建在整个图像区域内的预期人群数量得以确定。

其中

表示为空间位置

对于其标注

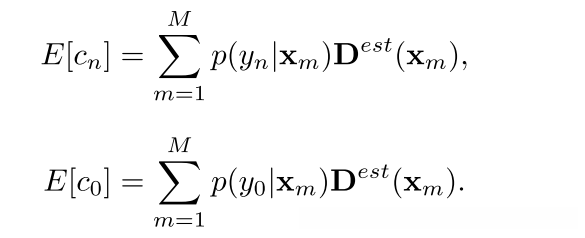
其主要贡献在于估计某一空间位置上存在人头的可能性大小。随后将这一概率向量与密度图进行内积运算,从而推导出整幅图像中人群数量的期望值。预测生成的密度图中共有M个采样点,并对每个采样点处所对应的值则表示在该位置上存在人的概率。结合后验概率p(yn|xm)的概念,则上述公式用于计算yn个体在整体密度分布中出现的可能性。显然他确实存在,并且应当标记为1;因此,在计算损失函数时一般地,在每个位置只会标注一个人

本文的核心内容在于贝叶斯损失函数F的定义为L1损失函数(也称绝对误差)。基于预测的概率密度图推断每个被标记过的目标体的存在概率,并希望这些存在概率能够趋近于1。
问题, 这个
表示的是某个点处的人数吗?
答:表示yn这个人在整张density map上出现的概率.
在前向时,没必要知道该后验概率,图像中人群数量估计为:

对于背景点位置,没必要给他们分配标注,因此给他们一个背景标注


则


我们希望前景的期望趋于1,背景的期望趋于0,因此该贝叶斯loss改为:

为每个像素构造一个虚拟像素点,

通过d参数调节了标有人脸与虚拟背景之间的距离。当某个区域距离标有人脸较远时,则为其配置相应的虚拟背景。同样地,我们采用高斯核函数来评估各背景的可能性。


问题: 这个d是如何确定的呢?
