星载SAR系统参数设计过程自动化方法研究
摘要: 针对星载合成孔径雷达(Synthetic Aperture Radar, SAR)系统参数设计过程中的问题,在部分参数仍需人工选择的同时存在系统无法依据设计结果进行反馈调节的现象。本文提出了一种基于自动化原理的星载SAR系统参数优化方法。首先,在确定脉冲重复频率(Pulse Repetition Frequency, PRF)等关键参数的选择范围时进行了优化设计;然后通过引入比例⁃积分⁃微分(Proportion⁃Integral⁃Differential, PID)控制算法对系统的最终参数配置实现自适应调节;仿真与实验表明该方法相较于传统的人工化验与参数调试方式具有操作简便、效率显著提升的特点,并能有效提高系统的自动化水平;特别适用于当设计指标不满足用户需求时的动态自适应优化过程
关键词: 合成孔径雷达;参数设计;优化设计;PID控制
0 引 言
由于SAR具备全天时、全天候、作用距离远及高分辨率等特点,在空间探测、民用遥感与军事侦察等领域得到了广泛应用。
杨淋等构建了星载P波段SAR的系统分析流程,并针对体制选择、工作频率以及极化方式进行了深入分析,并提出了相关关键参数的设计方案[4] 。总体而言,在现有的研究文献中通常仅着重于SAR系统的整体设计流程阐述。然而,在提高SAR系统的参数设计自动化程度方面仍存在不足之处。具体而言,在选取脉冲重复频率这一重要参数时通常需要依赖于专业的斑马图进行人工优化,并且在仿真平台发现性能指标无法满足用户需求时仍需操作人员不断调整相关参数以达到理想效果。
本研究致力于探索SAR系统参数设计自动化的方法。首先,在PRF和天线方位位置的选择上进行了优化设计[5]。其次,在满足用户需求的前提下对方位分辨率、距离分辨率及方位模糊比等技术指标进行评测时,则采用PID控制器实现对天线尺寸、信号带宽及PRF等关键参数的自动调节机制。最后通过对仿真结果的分析验证了该方法的有效性
1 PRF的优化选取设计
1.1 传统方法
PRF被视为合成孔径雷达的关键参数。它的选择受制于多种因素包括雷达速度飞行高度天线长度入射角度脉冲宽度以及测绘带宽等关键参数的选择会直接影响其性能进而影响发射信号的峰值功率数据率以及 radar 的距离模糊和方位模糊的大小因此选择合适的 PRF 是 radar 系统设计中的一个重要环节参考文献 6
如图 1 所示,在 SAR 系统设计中选择 PRF 时需要遵循以下原则:首先,在降低数据率频率间隔(PRF)的同时尽量最小化其值;其次,在选取测图范围内端部区域时需确保避免受到星下点和发射脉冲干扰的影响;最后,在选择一组测图范围时需确保各测图范围之间存在重叠区域以保证图像的连续性和完整性。

从这一角度来看,在使用斑马图来选择PRF和波位时需要考虑多个因素[10⁃11]。目前主要依赖观察的方法来进行优化,并且为了验证PRF与波位的各种组合的有效性而耗费大量时间;这使得SAR系统的参数设计变得异常复杂。
1.2 优化设计
本文旨在通过优化方案提升参数设计的便捷性和效率。以优化为核心策略构建相应的数学模型,并通过该模型快速确定PRF及波位的位置参数。其目标函数旨在最小化雷达所需的数据传输速率,在此过程中需要考虑多个关键变量的影响因素。
其中PRF与入射角作为两个关键变量进行分析。
首先需要考虑的是PRF取值范围的问题。
其次还需关注入射角的取值范围。
此外,在避免发射脉冲干扰的情况下,
必须同时满足PRF与入射角需满足相应的取值范围。
同时为了避免星下点回波产生的干扰,
也需要对PRF及入射角进行严格的限制。

式中
2 PID控制应用于SAR参数自动化 调节设计
2.1 SAR参数自动化调节原理
在实际应用场景中,SAR系统会受到噪声干扰、天线方向偏差以及硬件系统误差等因素的影响,这可能导致所设计的理论参数难以达到用户的性能指标要求.因此必须依赖于设计人员持续调整相关参数,以减少调节周期所需的时间.为了应对这一挑战,SAR系统的参数设计应具备自我调节能力,即根据用户的性能指标变化自动优化相关参数设置,从而实现精确配置并提升系统的响应效率.随着现代技术的进步,基于软件实现的PID控制方法已经在信号处理和智能控制等多个领域得到了广泛应用.[12]
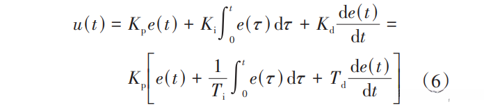
PID 控制算法相对简单, 具有较强的抗干扰能力, 其鲁棒性较好, 并且反应速度较快, 具有较好的实时性, 可满足 SAR 系统参数设计过程自动化的需求. 如图 2 所示, 基于 PID 的 SAR 系统参数自动化调节原理图进行了详细展示. 在 SAR 系统参数设计过程中, 通过建立基于 PID 的线性控制模型, 计算雷达指标的实际输出与期望输出之间的系统偏差 e(t), 将其作为 PID 控制器的核心输入信号. 通过对其系统偏差 e(t) 进行加权处理后得到控制信号 u(t), 进而驱动受控对象运行, 实现系统偏差 e(t) 的持续减小直至趋于零的状态. 这种基于 PID 控制器的自动化调节方法其核心数学表达式可表示为

在式中

2.2 指标分析
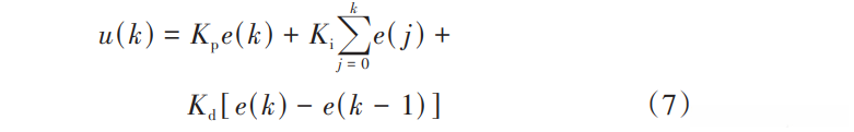
在 SAR 仿真中引入一个 PID 控制器用于 系统参数调整,并将其转换为 数字形式以实现自动化操作。数字形式下的 PID 控制算法分为两类(如表 1 所示),具体展示了两种不同 PID 算法的适用范围及其优缺点。本文选择 位置反馈控制方案来精确测定空间分辨率和模糊比对比系统参数的影响程度。该类控制系统的特点在于其响应速度快且调节精度高(其数学表达式见下文)。

在式中定义变量时

工作人员在设计SAR系统时需关注各项技术参数,在这一过程中由于不同工作模式下相关的技术参数与指标之间相互影响因此并非所有技术都能适用传统的PID控制方法为此本文选取SAR条带模式作为研究对象对其相关的技术参数与指标进行了理论推导和分析得出了能够适应PID控制的最佳调节范围

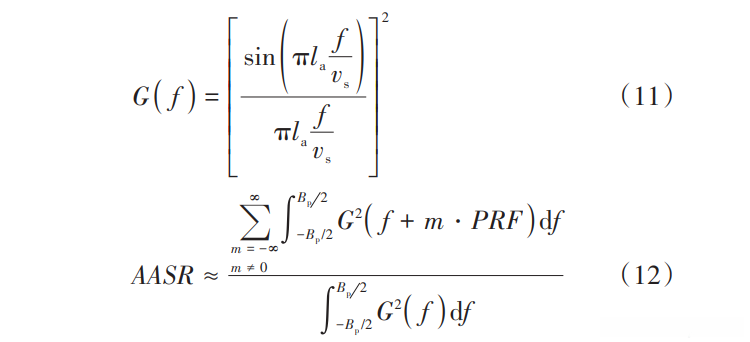
在式(8)中,la表示方位向天线的尺寸。根据式(8)可以看出,在方程式中la代表的是方位向天线尺寸这一技术参数。值得注意的是,在这种情况下方位向分辨率与天线尺寸之间呈现出明确的线性关系这一特性。具体而言,在这种情况下由于方位分辨率仅受单一参数的影响因此当采用PID控制方法针对该参数进行调节时可以实现仿真所得的结果达到预设的目标同时也能确定相应的具体数值范围这一过程具有一定的科学依据和可行性。此外在实际应用中由于该调节过程会对脉冲重复频率下限以及天线增益等重要性能指标产生显著影响因此必须对最终得到的结果进行详细评估这一环节不可忽视

在式中使用Br表示信号带宽

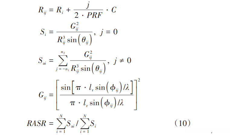
下一步是针对SAR条带模式的距离模糊比(全称Range Ambiguity to Signal Ratio,简称RASR)进行适用性评估。其中,RASR的计算公式为

式中

改写说明

在式中

2.3 参数自动化设计流程
在 SAR 系统的参数设计阶段综合考虑天线方向图、系统噪声等因素后进行理论分析,则方位分辨率、距离分辨率以及方位模糊比三大指标往往难以满足用户设定的需求。此时可采用 PID 控制器对天线尺寸、信号带宽以及 PRF 三项参数进行自动调节控制直至达到指标要求。本文在遵循经验法的基础上对 PID 参数整定过程进行了优化研究具体实施步骤如图 6 所示

3 仿真结果与分析
3.1 PRF优化设计的结果分析
在MATLAB环境中应用fmincon函数通常是解决非线性优化问题的有效手段。通过求解第1.2节的目标函数可以在较短时间内确定出PRF、波位以及数据率的具体数值。如表2所示,在需要选择多个PRF及不同波数中心入射角组合的情况下,则可以通过调节PRF以及波束中心入射角下限的方法获得参数选择结果与数据率的具体数值。相比传统方法依赖斑马图来选择PRF的情况而言,则能显著减少工作人员在设计PRF及波位组合时所花费的时间与精力。

3.2 系统参数自动化调节的结果分析
针对SAR系统参数设计中出现的部分技术指标与实际用户需求之间存在偏差的问题
如图7所示,在应用PID控制系统实现SAR系统参数自动调节方面具有显著效果。与PID参数之间的微小差异主要影响到系统的收敛速度。通过采用PID控制实现方位向天线尺寸、信号带宽以及PRF的自动调节,在从SAR图像中提取的空间分辨率、距离分辨率和方位模糊度逐步逼近预设目标值的过程中不断优化系统性能。相比传统的人工参数调校方式,在保证相同设计精度的前提下显著提升了系统的自动化水平和运行效率,并实现了SAR系统指标参数向用户预期指标的有效过渡过程


4 结束语
本文提出了一种基于SAR系统的参数自动生成方法。首先,在部分参数仍需人工选择的情况下建立了优化求解模型,并得出了PRF以及波位位置的最佳选择结果;从而使得整个参数设计流程更加高效便捷。然后,在SAR系统的设计过程中发现部分技术指标无法自动调节的问题时采用了PID控制器实现了方位天线尺寸、信号带宽以及PRF等关键参数的自动调节;从而使得各项技术指标逐步趋近于用户的实际需求值
