基于Simulink的汽车ABS系统仿真
提示:文章写完后,目录可以自动生成,如何生成可参考右边的帮助文档
文章目录
- 引言
- 第一章 ABS控制系统仿真参数设置
- 第二章 模型建立与仿真实验
- 第一节 轮毂制动模型构建
- 第二节 滑动率控制逻辑设计
- 第三节 Simulink建模与仿真实验
前言
建议在此处补充本文的主要内容:
提示:以下是本篇文章正文内容,下面案例可供参考
一、ABS系统仿真参数
汽车ABS系统仿真所需参数见表1。

二、建模及仿真
1、车轮制动模型
车轮的受力状况如图:

若忽略空气阻力与车轮滚动阻力,运动微分方程:
{I_w}\frac{{dw}}{{dt}} = {F_x}{r_a} - {M_b}(1)
m\frac{{du}}{{dt}} = {\rm{ - }}{F_x}(2)
{F_x} = {\varphi _b} \times {F_n}(3)
其中车轮模型质量为m ,车轮滚动半径为 {r_a},车轮转动惯量为 {I_w},车轮旋转角速度为w ,车轮中心前进速度为 {u_w},地面制动力为{F_x} ,路面附着系数为 {\varphi _b},作用于车轮的制动力矩为 {M_b}。
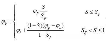
该研究工作中涉及到了一种重要的非线性特性分析方法——制动力系数波形图(即 {\varphi _b} - s 曲线)。基于此,在本研究中采用了分段线性逼近的方法来描述这种复杂的动态关系特征,在仿真过程中需要综合考虑计算效率与仿真精度之间的平衡关系。

在式中,C_{\text{peak}} 为峰值附着系数;C_{\text{frozen}} 为车轮抱死状态下的路面附着特性(peak coefficient),其对应的速度变化率为 v_s。
faip=0.82;fais=0.61;faib=[];
for s=0:0.05:1;
if s<0.2
fb=faip*s/0.2;
else
fb=fais+(1-s)*(faip-fais)/(1-0.2);
end
faib=[faib,fb];
end
plot([0:0.05:1],faib);
title(‘附着率滑移曲线’)
xlabel(‘车辆滑移率’);
ylabel(‘附着系数’);
matlab


2、滑移率控制策略
控制流程如图1所示:
a.设置车速和轮速的初始值并启动仿真过程;
b.当当前车速数值为负时停止仿真运行;若当前车速为正值则执行步骤c;
c.计算当前车辆滑移率,并通过附着系数滑移率曲线确定此时车辆的附着程度及所能施加的最大附着力;
d.根据当前车辆滑移率S与设定范围[Smin, Smax]的关系判断:若S处于该范围内,则维持恒定制动力矩;若S低于该范围下限,则提升制动力矩以增大附着能力;若S超出该范围上限则降低制动力矩以避免失控;
e.计算当前车辆的角加速度与线加速度,并据此更新下一时刻的车速与轮速参数后返回步骤b继续循环

3、Simlulink建模与仿真
Simlulink模型如图(2)所示:

设置步长为0.02s,仿真时间5s,仿真结果如下:
车辆滑移率的时域曲线:

车轮前进速度时域曲线

车轮线速度的时域曲线:

地面制动力的时域曲线

车轮制动力矩的时域曲线

车轮制动减速度的时域曲线

车辆附着率的时域曲线

基于未考虑轴荷转移的情况,在分析车辆制动力学行为时
