面向蜂窝化的反向散射通信综述:关键技术与标准化研究
【摘 要】 面向6G时代千亿设备的连接需求,低复杂度、低成本、低功耗的反向散射通信技术是实现这一愿景的关键使能技术。但其自身在连接距离、速率、可靠性等方面依然存在不足。另一方面,不断演进的蜂窝网络具有良好的网络覆盖和通信性能。将蜂窝网络与反向散射通信结合可以充分发挥二者的优势,在降低部署成本的同时,实现干扰管理以及灵活的设备管控,提升反向散射通信的传输覆盖和可靠性。基于此,该综述主要论述反向散射通信系统蜂窝化演进的可行技术路线与支撑技术,包括系统架构、空口设计、核心网与协议栈设计等;接着介绍了主流国际标准化组织关于蜂窝化反向散射通信的研究进展;最后,讨论反向散射通信的未来研究方向和技术挑战。
【关键词】 6G;蜂窝网络;反向散射通信;极低功耗通信
0 引言
面向2030+,6G将实现“万物智联,数字孪生”的总体愿景[1],支持千亿级的万物互联。IoT Analytics在2021年9月发布的物联网市场预测报告指出,到2025年全球将有超过271亿的物联网终端连接需求[2]。海量的物联需求将对物联网的部署和维护成本提出新的挑战,比如,现有NB-IoT(Narrow Band Internet of Things,窄带物联网)、RedCap(Reduced Capability,降低能力)模组价格在数十元到数百元人民币左右,在大规模部署时的成本很高,且更换电池等后期维护也带来高昂的运营成本[3]。一些低温、高湿、高压、高辐射等要求无电池供电的极端场景,或是植入式健康医疗、物流仓储等生活应用领域,对物联网终端的低成本化和无源化提出了较高要求。
反向散射通信(Backscatter Communications),或称为背向散射通信、背向反射通信等,是实现物联终端低成本和无源化的重要潜在技术,并且已经在RFID(Radio Frequency Identification,射频无线电)领域得到广泛使用,包括商品识别、仓储物流等场景[4]。以RFID为代表的传统反向散射通信技术具备极低成本、部署简单等优势,比如单个标签的成本仅需几分钱,部署单个读写器就可实现标签信息读取等功能。然而,其缺点也很明显,比如覆盖范围、通信速率、连接数、安全鉴权等性能都较差,无法很好地满足未来物联网的需求,因此需要研究新型的反向散射通信技术。
基于新型反向散射通信技术的极低功耗终端设备,将具有比eMTC(enhanced Machine-Type Communication,增强机器类通信)、NB-IoT和RedCap等物联网设备更低的功耗和成本。新型反向散射通信技术将助力构建可持续发展的极低功耗甚至零功耗的下一代物联网,满足绿色节能和可持续发展的需求,成为未来5G-Advanced网络甚至6G网络不可或缺的一部分。基于反向散射通信的低功耗设备的优势在于[4-5]:
(1)无需人工维护、可持续稳定运转,解决了极端环境下的适用性和后期维护成本的问题,极大扩展物联网的应用场景,更好地满足智慧城市、智慧农业、工业制造、环境监测等需求。
(2)无需依赖复杂精密的射频器件和复杂的电路,无需高昂的部署成本,具有微型化的优势,可移植性强,能够为低功耗医疗设备、人体植入设备提供通信服务。
(3)不再受限于RFID的近距离通信范围,利用蜂窝网络在覆盖、可管可控、安全鉴权等方面的优势,为客户提供便捷、安全、高性能的低功耗物联能力,激发新的应用潜力。
(4)相比于NB-IoT,基于反向散射通信技术的设备成本将更低,例如模组成本低于0.5美分;功耗进一步降低,达到百μW级别,甚至零功耗。
(5)支持感知或定位等功能赋能高附加值业务,使能物理世界和数字世界的互联互通。
目前,学术界和工业界对反向散射通信展现了浓厚兴趣,并围绕调制与编码、多天线、干扰消除、多址接入等物理层技术进行了深入研究[5-6]。不限于传统低阶调制和编码方案,高阶调制和新型编码方案作为提升反向散射通信速率的关键技术之一,近年来已被广泛研究[7-8]。为了增强反向散射通信的覆盖范围和传输速率,结合反向散射通信低功耗的特点,研究学者对包括波束成形、空时编码等多天线技术进行了研究[9]。干扰消除[10]、多址接入技术[11]作为提升反向散射通信传输可靠性的使能技术,也是业界研究重点。
总体来说,现有学术界关于反向散射通信的研究主要是围绕着物理层关键技术、资源与调度、系统优化等,而关于如何将反向散射通信与蜂窝网络融合的研究比较少。而蜂窝化的反向散射通信研究,包括对应的空口设计、协议栈设计、网络架构设计等,是标准化工作的主要内容。在2019年芬兰奥卢大学6G旗舰研究计划发布的全球首部6G白皮书中[12],把结合环境供能的反向散射通信列为6G的关键技术之一。2021年,欧盟Hexa-X研究项目在6G报告中也将反向散射通信技术作为6G的潜在技术之一[13]。2021年,佐治亚理工大学和贝尔实验室研制出一种印刷毫米波调制器和天线阵列,实现了反向散射通信的2 Gbps速率的传输[14]。2023年,日本NTT DOCOMO公司发布白皮书,将反向散射通信作为超低功耗通信的关键技术之一[15]。蜂窝物联网技术的演进如图1所示 :

此外,国内的运营商、设备厂商、终端厂商等也都对反向散射通信技术高度关注。比如,中国移动于2022年9月联合各产业伙伴成立无源物联网技术联合创新中心,并发布《面向万物互联的无源物联网技术》白皮书[5];以华为、中兴为代表的设备厂商也正积极推动无源互联技术的标准化与产品落地。在终端厂商方面,OPPO在2021年发布了《零功耗通信》白皮书[16];vivo在2022年发布的《6G服务,能力与使能技术》白皮书将反向散射通信作为使能6G的极低功耗通信关键技术[17],并发布了反向散射通信样机平台。IMT-2030(6G)推进组也在其6G低功耗物联网需求研究中将反向散射通信作为实现极低功耗物联网的关键使能技术。
现有的关于反向散射通信的论文综述大多是从学术研究的角度进行论述[4,6,8,18],而本文则是从面向蜂窝化标准研究的角度进行论述,并且围绕未来无源物联场景在极低功耗、广域覆盖、大连接等方面的迫切需求,探索可行的技术路线,包括新型的调制及编译码、多天线传输、干扰消除、多址接入等物理层关键技术,以及在蜂窝组网中的潜在网络系统架构及关联的协议栈设计。最后,本文也将介绍相关的标准化进展,并指出未来蜂窝化后的潜在研究方向与技术挑战,为反向散射通信技术的演进和研究提供参考。
1 反向散射通信基本原理与典型应用场景
1.1 基本原理
与传统通信中的信号调制与发送过程不同,支持反向散射通信的设备并不具备载波生成能力,无法“主动”对外发送信号,而是将设备自身需要发送的信息比特调制在第三方信号进行调制。反向散射设备根据需要发送的信息比特选择对应的负载阻抗从而改变第三方信号的幅度、相位或频率等物理属性,从而实现“被动式”通信,具体调制原理与硬件架构如图2所示 。其中,

表示入射到反向散射设备天线的信号,即射频源信号;

表示该信号从反向散射设备天线向外反射的信号,即反向散射信号。二者关系可由式(1)表示:

其中,

是反向散射信号与射频源信号之间的比值,称为反射系数。一般地,若分别用

分别表示射频源信号的幅值、频率和相位,那么

可以表示为

。
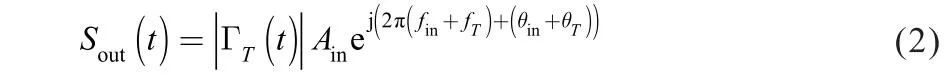
反向散射设备通过改变反射系数来实现对 的幅度调制、频率调制或相位调制,其原理可通过式(2)表示[19]:

其中,

分别表示反射系数的幅值改变量、频率偏移量和相位旋转量。反向散射通信的调制过程可分为:(1)数字调制:如图2(a)所示 ,反向散射设备配置不同的负载阻抗,通过切换到不同负载阻抗改变

,实现幅度调制或相位调制;或通过产生的方波信号控制开关的切换频率改变

,实现频率调制;(2)模拟调制:如图2(b)所示 ,反向散射设备通过如反射放大器等射频器件连续控制反射系数的幅值、频率或相位的调制方式,例如,控制反射放大器直流偏置的大小实现幅值调制。
上述的反向散射通信原理主要涉及发送端,一个典型的反向散射设备除了包括涉及发送端的信道编码和调制模块之外,通常还包括天线、微控制器、信号接收模块、存储器或传感模块(取决于应用场景)等硬件模块组成,如图2(c)所示 。其中,信号接收模块负责接收网络侧或者读卡器等发送给反向散射设备的下行信号,其架构和技术可以重用目前3GPP(3rd Generation Partnership Project,第三代合作伙伴计划)正在开展研究的低功耗唤醒接收机技术[20];微控制器负责执行命令、收集传感信息、写入/读取数据等功能,并根据待传输的信息控制编码和调制模块。由于反向散射通信并不主动生成载波信号,其能耗极低,通常为数十微瓦到数百微瓦之间。设备可以由能量采集模块采集环境中如射频信号、光能、热能等能量供信号的调制、解调和反射,无需自身具备电池等能量源;也可以由纽扣电池等小型供能模块供给,从而降低对供能信号的强度要求。无论采用哪种方式,得益于反向散射通信的极低功耗优势,反向散射设备都能实现极长的维护间隔,甚至免维护。
1.2 典型应用场景
反向散射设备特别适合需要大规模部署或因苛刻环境条件难以进行后期维护的场景,其潜在应用领域涵盖工业制造、智慧交通、仓储物流、农林牧业以及智能家居等。
工业制造:工业4.0是未来工业制造的重要愿景,核心是打造一个数据驱动、智能协作的自动化规划、生产与维护平台。这就需要高密度地部署各类工业传感器,进行全面和迅速的环境感知和信息收集。这类传感器通常还需要克服高温、高压等苛刻条件。免电池、免维护的反向散射设备在这一方面有着天然优势。此外,还包括一些诸如加工制造环节的控制指令类的信息,需要传递给生产线上的各类机械设备。
智慧交通:智慧交通需要在道路上部署如流量监测、压力等传感器,以监测车辆和行人动态,从而进行合理的道路规划、规避道路风险,提升交通效率和安全性。具有低成本、低功耗并且具有一定感知能力的反向散射设备,很适合在交通领域大规模部署,以支持数据传感、流量检测、定位传感等业务需求。
仓储物流:现代化仓储和物流工业需要保证货物储存和运输的准确性、及时性、安全性、可溯源等。这些优势在码头、航空港这类繁忙的货物集散地更加重要。同时,由于仓储物流的流量巨大,因而对成本极其敏感。因此可以使用低成本的反向散射设备来标识或管理货物,准确地告知货物的信息、追踪货物动向,做出最优的物流仓储转运策略。
农林牧业:农林业和畜牧业都是对环境因素高度敏感的产业,比如温室种植需要精确控制温湿度,否则会影响产量或品质;或在干旱气候时,容易发送森林火警等。反向散射设备可以用于实时监测各类温湿度等环境数据,甚至追踪养殖动物的体温、活动等动态数据,对于异常情况及时采取干预措施。
智能家居:智慧的家居管理服务能够提升用户生活质量。比如,可用反向散射设备收集环境数据,以自动化地调整温湿度,营造舒适的居家环境;也能在物品上安装支持定位功能的反向散射设备,在物品遗失时及时定位。家居管理更与生命安全息息相关,比如,将反向散射设备用于探测瓦斯等危险气体[21],可及时检测并排除危险情况。各类智能家居的控制指令也可通过安装在家居上低功耗接收模块来实现。
根据3GPP关于Ambient IoT典型应用场景的总结[22],反向散射通信的典型应用场景也可以总结为四大典型应用场景:①资产或货物盘点;②传感器数据上报;③无线定位类;④控制类。这几类业务可以单独或联合使用,以支持不同领域的具体应用场景,表1 从不同维度总结了典型应用场景涉及的业务类别及其特征。

然而,目前如RFID等反向散射通信系统仅能支持局部覆盖的盘点类业务,并且在通信范围、通信速率、可支撑的连接数等方面都比较受限。更重要的是,由于这类系统并非面向组网设计,缺乏相对可靠的安全鉴权机制,无法满足未来的物联需求。为此,需要结合蜂窝网络对反向散射通信技术进行增强。一方面与现有的蜂窝网络结合,实现网络对反向散射设备的可管可控,提高自动化程度与安全鉴权保障;同时可以基于现有的蜂窝网络设施为反向散射设备提供射频能量与信号载波,降低部署成本。另一方面,反向散射设备在保持低成本、低功耗的同时进一步扩展通信性能,实现更多维的感知能力。
2 面向蜂窝化的空口设计
受制于功耗与硬件能力,以及双程信道衰减、信号干扰等客观环境因素,传统反向散射通信系统普遍存在接收灵敏度低、覆盖能力弱、系统容量不足、可靠性低等问题。因此,需要在保证反向散射通信低功耗、低复杂度的同时,通过速率提升、覆盖增强,可靠性传输、干扰消除以及支持大规模接入等性能增强,更好地与现有的蜂窝网络融合。
为了更好地支持反向散射通信系统与蜂窝网络的融合,需要考虑将蜂窝网络中相关的物理层技术引入到反向散射通信系统设计中,包括对应的编码调制技术、波形技术、多天线技术、大规模接入技术等。同时,设计适合于蜂窝化反向散射通信系统的物理信号、物理信道、随机接入方式、同步机制等。并以此来拓展并增强反向散射通信在不同场景下的适用性和鲁棒性,使得蜂窝网络原生的支持反向散射通信设备的接入。
2.1 调制与编码技术
在传统反向散射通信系统中,反向散射设备采用简单的低阶幅度调制或相位调制,因而其频谱效率较低,并且使用FM0码、Miller码等编码增益有限的线编码方式。这都严重制约了通信速率或通信可靠性性能,因此需要对现有的调制与编码技术进行增强。
高阶调制是提升通信速率的有效方式。在具体实现方式上,反向散射设备可通过二极管或晶体管组合功分器的方式来实现高阶调制[23]。或者通过使用中频调制的调制结构,来实现低功耗高速率的反向散射通信[24]。另外,通过单边带调制、脉冲成型等信号处理也可以有效地提升反向散射通信的通信速率。
信道编码是提升通信可靠性、改善服务质量的有效手段。因为反向散射通信的业务数据包大小通常为几十字节,甚至小于100比特[13],所以需要对现有的信道编码方案进行创新设计,并根据反向散射通信业务特性、信道条件和使用场景设计最佳码结构和低复杂度的信道编译码方案。目前,5G NR(New Radio,新空口)数据信道采用的编码方式为LDPC(Low Density Parity Check Code,低密度奇偶校验码),其实际性能与码长有限编码理论的性能界间存在1~2 dB的差距。Polar码和Reed-Muller、Reed Solomon等短线性分组码是缩小性能差距的可行技术[25]。特别地,针对Polar码,在考虑硬件能力约束下,还可以采用如串行抵消列表的低复杂度译码器、修改极化核函数、级联外码等手段来简化编译码复杂度,提高编译码的能效。针对线性分组码,也可以通过合适的码字构造、低复杂度译码等方法进行优化设计,从而来适配反向散射通信。
进一步,为了提升链路自适应能力和传输可靠性,可以联合编码与调制设计。比如,文献[26]提出一种基于FM0的平衡分组码,通过优化码字结构,在保证低实现复杂度的同时,获得比传统FM0高50%的编码效率;文献[27]使用一种基于简单移位寄存器的循环信道编码方式,实现了150 m的长距离传输;文献[28]提出一种低功耗的μcode编码技术,不但能够提升系统通信距离,还能获得并形传输能力。
2.2 干扰处理技术
经过远距离的级联信道传输后,反向散射信号在接收端的信号强度通常较小,容易淹没在自干扰信号或者直接链路的射频源信号中。另外,发射信号在无线环境中遇到障碍物反射回接收端,以及发射天线阻抗与射频链路阻抗不匹配导致信号反射引起的反射信号,同样会影响反向散射通信系统。更进一步,器件的非线性或稳定性产生的干扰,比如三阶交调干扰、相位噪声或模数转换器的量化噪声引入的干扰,同样不可忽视。其中,强的自干扰或者跨链路干扰将会严重影响反向散射通信系统的传输覆盖距离、传输速率等系统性能。
以自干扰为例,其产生原因为由于环形器、定向耦合器或收发天线的隔离不理想,导致发端信号泄漏到收端形成的泄露干扰。强的自干扰将会降低接收端的接收灵敏度[29-30],包括:(1)使接收机增益压缩导致减敏,从而导致后级电路噪声贡献增加;(2)强自干扰信号将有源器件的低频噪声上变频到射频自干扰载波频率处,恶化电路噪声性能;(3)自干扰信号的噪声将抬升接收机噪声基底,退化接收机接收灵敏度;(4)自干扰信号与本地振荡信号相位噪声会发生互易混频,降低接收信号的信噪比。
为了有效地消除强自干扰,相关的技术包括:
(1)提高收发隔离度,降低或消除射频自干扰信号强度并抑制其噪声。根据对干扰处理方式的不同又可以分为增加收发隔离度、干扰消除类和干扰避免类技术,具体包括:
1)增加收发隔离度:当收发共天线的情况下可以使用环形器、定向耦合器来降低自干扰信号的强度。当收发天线分离的情况下,通过增加收发天线的距离,或者通过增加物理隔离屏蔽等方式来增加收发天线隔离度,从而降低自干扰的影响。
2)干扰消除:根据干扰消除的处理模块不同又可以分为模拟域干扰消除和数字域干扰消除。其中模拟域干扰消除是在数模转换之前在模拟域进行干扰消除的方法,而数字域干扰消除则是在数模转换之后的处理。由于射频域、数字域干扰消除都可以有效地消除干扰,但是考虑不同的干扰消除能力时需要精细的设计,尤其是在数字域干扰消除前需要考虑ADC(Analog to Digital Converter,模数转换器)位宽的影响。由于实际系统中的ADC位宽是有限的,即ADC的动态范围也是有限的,从而约束了允许的最大自干扰与有用信号的比值。这也就意味在模拟域的干扰消除能力必须要达到一定的阈值才行,否则ADC之后的有用信号会被噪声淹没,从而无法进行后续的数字域干扰消除。
3)干扰避免:对于具有搬频能力的反向散射通信设备,可以在反向散射通信端进行搬频,同时接收端通过滤波器就可以有效地滤除自干扰信号。但这种方式在针对诸如NR等宽带信号作为射频载波信号时,对设备的搬频的能力以及滤波器的性能都有较高的要求。
(2)降低本地振荡器信号相位噪声与降低发射机输出噪声,同时基于距离相关效应来降低自干扰的影响。
(3)提高接收机线性度,避免增益压缩并抑制低频噪声的上变频。
对于双基地架构中引入的直接链路干扰,也可通过设计合适的调制信号来辅助干扰处理。比如,当射频源信号为OFDM(Orthogonal Frequency Division Multiplexing,正交频分复用)这类具备时域重复结构的信号时,可以设计在相邻时隙具有差分性质的调制波形,从而在解调信号时消除干扰信号[31-32]。相同的设计思想也可以扩展到单正弦射频信号或差分调制信号[33-34]。更进一步,当反向散射通信蜂窝化组网之后,还将会面临同小区和邻小区干扰。蜂窝系统中的干扰消除技术、小区间干扰协调技术、干扰随机化技术、时-频-空-功率资源优化、波束成型等技术可以有效地降低同小区和邻小区干扰影响。
2.3 多天线技术
多天线技术是提升反向散射通信传输距离和通信速率的重要手段。一方面,射频源端可以通过波束成形来增强反向散射设备接收到的射频源信号的强度[35]。另一方面,由于反向散射设备也能够调整反向散射信号的幅值、相位及频率。因此,当其配置多天线时,也能实现反向散射设备端的波束成形传输,增强接收端的信号接收功率,提升上行通信距离[9]。与此同时,波束成形的分辨率随天线数量的增加而增加,但天线数量的增加也会相应地增加反向散射设备用于调整反射系数的负载阻抗数量,导致硬件复杂度和功耗的增加。更进一步,通过设计适用于反向散射通信的预编码码字,比如基于负载阻抗特性的预编码矩阵设计,可实现多流传输,从而提高反向散射通信系统的传输速率。
多天线还能用于提供分集增益,提供传输的可靠性,STBC(Space Time Block Code,空时分组码)是其中的代表性技术。STBC通过在空间和时间域构造信号冗余传输的分组编码传输矩阵,可以在不增加带宽的情况下获得分集增益[36]。由于反向散射设备需要通过如切换负载阻抗等方式来调制反向散射信号,其输出信号会因器件的非理想因素而存在误差。为了增加反向散射设备使用STBC时的误差可容忍度,文献[37]提出一种降低每根天线需要连接的负载阻抗数量,在保证分集增益的同时降低调制电路的复杂度。
2.4 超大规模接入技术
反向散射设备的低廉成本令其具备大规模部署的潜力,但同时也限制了支持多用户接入机制的能力。然而,这个问题在传统RFID系统中并不显著。传统的RFID主要用于与单一读写器覆盖范围内的设备进行通信,反向散射设备数量较少,因而可以用简单的资源配置和冲突管理技术解决,比如ISO 18000-6c采用了一种基于随机竞争接入的时分多址接入方式[38]。在这一机制中,反向散射设备首先发送握手竞争数据包,直到该数据包被接收端唯一接收且确认时,该设备获得信道的唯一使用权进行数据传输,而其他设备等待。RFID中的多址接入机制虽然能够满足对复杂度的要求,但这样的简单接入方式对资源划分粒度较粗,同时在设备数量较多时无法高效调解冲突,传输失败的概率比较高,也导致谱效的下降。
为了解决这一问题,一方面可以考虑采用更高效、更细粒度的资源划分方式,从而给更多设备配置传输资源。基于这一思路,文献[39]和[40]分别提出采用基于频分多址接入和码分多址接入的反向散射通信系统,在频率域和码域上划分资源支撑更多反向散射设备同时连接。此外,文献[41]还提出将正交频分多址接入用于反向散射通信,以更好地兼容现有的LTE和5G NR体系,但也面临了更高传输功耗和更高硬件复杂度的困扰。更进一步地,通过允许接入资源的非正交使用,非正交多址接入还能更高程度地复用有限的资源提升反向散射通信系统的并发连接数。比如,文献[11]提出了一种功率域非正交多址接入方案,通过优化不同反向散射设备的反射系数,使得多个设备的反向散射信号在接收端的接收功率强度具有一定顺序,因而接收端可以采用干扰消除技术来解调各个用户信号,实现多设备在相同时频资源上的并行传输。
另一方面,由于物联设备的业务通常由零星、自发和低频率的小数据包构成。因此,通过先竞争获得传输机会后进行数据传输的授权接入方式并非最优。与之对应地,以无用户标识接入为代表的免授权接入技术则允许设备在获得授权前直接传输数据,在接收端采用稀疏信号恢复、干扰消除等技术进行数据解调与恢复[42],从而支撑大规模的反向散射设备接入。
2.5 低复杂度同步技术
反向散射设备的多用户接入、高速率数据传输等功能都是以反向通信设备与网络之间具有严格的同步为前提的。而在反向散射通信设备中,用于定时和同步的晶振一般可分为无源晶振和有源晶振两类。其中,无源晶振的振荡频率一般小于1 MHz,精度和稳定性较差;有源晶振的振荡频率则为几十MHz~几百MHz,精度和稳定性可以得到保障。出于成本和功耗的考虑,传统反向散射设备主要使用无源晶振,导致的频率漂移问题难以忽略。因此,需要通过低复杂度的同步技术来纠正本地的频率漂移。
在文献[43]中,基于LTE网络中具有固定发送周期及信号格式的PSS(Primary Synchronization Sequence,主同步信号),提出了一种适用于反向散射通信的低功耗同步电路。该电路通过重复检测PSS进行同步,实现以概率为90%获得小于40 ms的定时误差。此外,也可以通过异步传输机制来降低反向散射设备对同步精度的敏感度[44]。
3 网络架构和协议栈设计
通过空口设计,反向散射通信系统在通信距离、速率等各方面的物理层性能指标可得到改善,但仍无法解决广域覆盖、大规模组网、安全鉴权等问题。为获得更广泛的适用性,反向散射通信系统的蜂窝化演进还需要设计与空口技术相匹配的网络架构和轻量化协议栈。
3.1 网络架构
在逻辑功能上,反向散射通信系统不但存在发送节点和接收节点这样的传统网元节点,还存在提供射频载波信号的激励源网元节点。根据激励源、下行发送节点和上行接收节点是否为相同设备,存在下述几种潜在的蜂窝组网架构。
(1)直连模式:激励源、下行发送节点和上行接收节点均为相同设备。根据该设备是基站等接入网设备还是UE(User Equipment,用户设备),直连模式又可分为基站直连模式和UE直连模式两种子模式。其中,基站或UE直连模式是指基站或UE和反向散射发送设备直接连接,基站或UE为反向散射发送设备提供射频载波信号,并完成上下行数据收发。其中基站直连模式的好处在于网络部署简单;而UE直连模式的好处在于该架构可用于无基站覆盖或覆盖范围有限的场景,或因隐私安全等原因需本地处理数据的场景。
(2)辅助模式:激励源、下行发送节点和上行接收节点中至少有两个节点为不同的设备。此时,向反向散射设备提供射频源信号的链路,或上下行通信链路的至少一条链路存在一个辅助设备,进行射频载波信号发送或转发上下行数据。借助辅助设备,该架构一方面能够提升射频载波信号或反向散射信号的发送功率,带来功率增益;另一方面还能增加收发端隔离度,降低系统自干扰,提升接收灵敏度。因此,该架构能有效地提升网络覆盖和提升通信系统性能。
(3)专用激励源模式:为进一步提升功率增益,增强覆盖,可以在距离反向散射发送设备较近的区域部署与上下行通信无关的专用激励源设备。该专用激励源设备可以受网络调度,可调整的参数包括信号的功率、频段、带宽等;也可以是环境中存在的信号,比如电视或广播信号、Wi-Fi(Wireless Fidelity,无线保真)信号等。
图3 为几种典型的蜂窝反向散射通信网络部署。

3.2 系统架构与协议栈设计
面对多样化的业务需求和差异化服务质量需求,网络需要灵活高效地管理反向散射设备,根据需求选择合适的网络功能,并合理地调度资源。在传统蜂窝网络中,这一目标是通过构建复杂的接入网-核心网系统架构,以及编排丰富的高层协议栈来实现的。然而,反向散射设备数量巨大,且面临硬件能力和功耗双重限制,复用现有蜂窝网络体系可能难以使用全球唯一的标识对反向散射设备进行管理,并对核心网的管理控制能力提出挑战。此外,复杂的系统架构和繁重的协议栈引入的信令开销和计算开销,也会带来较大的能量消耗,带来较高的运营成本,从而阻碍反向散射通信的大规模部署。
相较于传统蜂窝网络较高的业务适用性,反向散射设备支持的业务类型相对有限,因而可以使用轻量扁平化的端到端网络架构,并根据业务需求对协议栈进行深度裁剪。此外,也可以复用已建立的UE无线承载支持反向散射设备的传输,减少建立独立承载产生的额外开销。总的来说,蜂窝化的反向散射通信系统存在两种潜在的系统架构:
(1)反向散射设备不接入核心网:蜂窝网络根据业务需要,向UE或基站等接入设备进行功能授权,比如读写器功能,承载和支持反向散射设备的数据传输。
(2)反向散射设备接入核心网:将反向散射设备接入核心网,蜂窝网络可以对反向散射设备进行管理,如移动性管理和位置追踪。此外,也可对反向散射设备进行认证鉴权,允许其它UE远程访问反向散射设备;或进一步连接应用服务器提供应用层业务等。虽然能力较强的反向散射设备能直接接入核心网,但仍需要对现有核心网架构进行精简,比如精简网元的类型、合并网络功能等。对于大部分较弱的反向散射设备,则需要由接入网设备或UE利用自身的承载提供代理能力,并接入核心网。
反向散射通信与蜂窝网络融合系统架构如图4所示 :

可以看出,无论反向散射设备是否接入核心网,网络都需要向UE授权或向基站等接入网设备配置读写器功能或代理功能。从而,通过UE或接入网设备承载和支持反向散射设备的数据传输,并代理反向散射设备接入核心网或应用服务器。这样的代理方式可以极大限度地继承现有承载架构和传输方式,还可以为反向散射设备进行特殊的配置和服务保障,在确保反向散射设备需求的同时也避免了增加网络复杂度。
在现有技术中,UE接入5G系统时,UE与网络之间的交互通道可以分为控制面和用户面两种通道。其中控制面通道用于承载UE与网络之间的控制信令,用户面通道用于承载UE与应用服务器之间的数据交互。反向散射设备的通信需求主要包括应用服务器对其进行控制管理以及其上行数据的发送(例如传感数据等)。因此,针对反向散射设备的通信需求,其承载方式可以复用现有的UE的控制面、用户面等承载方式,也可以使用新的承载方式对反向散射设备的信令和上下行数据进行代理传输,例如反向散射通信专用的IoT Layer协议层承载等。
与系统架构对应的协议栈设计中,需要考虑反向散射设备的成本、功耗、能力来设计合适协议栈。对于能力较强的反向散射设备,可以对现有的协议栈进行精简,使其接入核心网或应用服务器。如图5所示 ,IoT Layer可以设计为反向散射设备与应用层服务器之间的协议,反向散射设备可以通过控制面(例如NAS(Non-Access Stratum,非接入层)协议栈)传输IoT Layer的业务数据,而无需在通信系统中为反向散射设备另外使用用户面协议栈来建立用户面, 从而简化协议栈设计。另外,RRC无线资源控制(Radio Resource Control,无线资源控制)层、PDCP(Packet Data Convergence Protocol,分组数据汇聚协议)、RLC(Radio Link Control,无线链路控制)层设计为可选协议层,进一步降低协议栈复杂度。

而针对应用更为广泛的低成本、低功耗、弱能力的反向散射设备,IoT Layer可以设计为反向散射设备与代理设备之间新的协议层。反向散射设备与核心网之间无单独的协议栈,而是使用代理设备帮助反向散射设备与核心网进行信息传输。以UE为代理设备接入核心网的网络架构为例,图6(a) 给出了一种反向散射设备通过UE的NAS协议层进行通信承载的协议栈设计示例。UE通过IoT Layer协议读取到反向散射设备的信令或数据之后,通过NAS协议栈将信令和数据传输到核心网AMF(Access and Mobility Management Function,接入和移动管理功能)中。其中作为代理设备的UE,可以通过3GPP的控制信令,从基站设备或者核心网节点接收来自于应用服务器的针对反向散射设备的指令信息。然后,UE根据指令信息,通过IoT Layer完成与反向散射设备的信令交互,对反向散射设备进行控制管理。
图6(b) 给出反向散射设备通过UE的用户面进行通信承载的协议栈设计示例。UE通过IoT Layer协议读取到反向散射设备的信令或数据之后,通过UE的用户面会话通道进行传输。UE也可以利用IoT Agent协议层,从应用服务器接收针对反向散射设备的指令信息。然后,UE根据指令信息,通过IoT Layer完成与反向散射设备的信令交互,对反向散射设备进行控制管理。

4 标准化进展
反向散射通信系统具备与蜂窝网络高度融合的潜力,成为构建未来无源物联网的重要使能技术,但仍需要业界共同努力才能将其进行产业化和标准化落地。
目前,反向散射通信技术已经得到了ITU(International Telecommunication Union,国际电信联盟)、3GPP、IEEE(Institute of Electrical and Electronics Engineers,电气与电子工程师协会)等多个国际标准化组织的关注。比如,ITU在《未来技术趋势》报告中将反向散射通信技术列为能够提高能效和降低能耗的新型通信技术[45]。3GPP也正进行面向5G-Advanced或6G的无源物联网的标准化研究工作。
4.1 3GPP研究进展
3GPP分别在SA(TSG Service & System Aspects,服务与系统工作组)以及RAN(TSG Radio Access Network,无线接入网工作组)设立了SI(Study Item,研究项目)开展相关研究。其中,SA工作组成立了Ambient power-enabled Internet of Things项目,目标是识别出潜在的用例、使用场景、关键服务需求、关键性能指标,并讨论其对网络架构、核心网功能及无线接入技术等方面的影响[22]。其中,关键服务需求包括安全鉴权、移动性管理、网络选择、接入控制、计费模式、终端生命周期管理等方面。关键性能指标则包括最大端到端时延、通信服务可用性、可靠性、用户体验速率、消息长度、设备密度、通信距离、服务区域面积、终端移动速率、定位服务可用性、定位精度等。截止SA第99次会议,相关研究已识别出超过30个潜在用例,可归纳出通信、定位、设备管理、信息采集、计费、安全和隐私等具体功能需求,而相应的技术指标则有待进一步讨论。SA的研究进展可参见技术报告3GPP TR 22.840[22]。
并行地,RAN工作组也正开展相关研究[46],研究涵盖终端类别划分;进一步细化SA工作组识别出的用例,识别代表性用例和相关需求;明确网络部署场景,如室内/室外、网络拓扑、潜在部署频段等;探讨无线接入技术需满足的具体指标;确定满足性能需求的功能性假设;建立较为完备的技术可行性与性能评价体系。截至2023年6月的RAN第100次会议,对反向散射设备的类别划分达成了共识,具体包括:
(1)Device A:无能量储存能力,不能自行生成射频信号,完全依赖反向散射通信,功耗小于1 μW或小于10 μW。
(2)Device B:有能量储存能力,不能自行生成射频信号,完全依赖反向散射通信,但能够使用储存的能量对反向散射通信进行放大等操作,功耗介于Device A和Device C之间。
(3)Device C:有能量储存能力,能自行生成射频信号(即不再需要第三方的射频源信号),但复杂度远低于NB-IoT,功耗在1~10 mW。
其中,能量储存能力可以划分为三类,包括无能量储存能力、不大于E1焦耳的储存能力、不大于E2焦耳的储存能力(E1<E2),但E1和E2的具体数值还有待进一步讨论。此外,RAN工作组也在连接拓扑、频谱、流量类型等方面达成了如下初步共识。
1)连接拓扑:
①拓扑1:基站-IoT设备:双向直接连接;
②拓扑2:基站-辅助节点-IoT设备:中间节点可能是IAB、UE、中继等,辅助节点与IoT设备进行双向直接连接,然后辅助节点将信息流转至基站;
③拓扑3:基站-辅助节点-IoT设备-基站:和拓扑2不同的是,辅助节点和IoT设备不进行完整的双向直接连接,而是仅由辅助节点提供上行或仅由辅助节点提供下行,而基站负责另外一个方向的连接;
④拓扑4:UE-IoT设备:双向直接连接。
2)频谱:授权FDD频谱、授权TDD频谱、非授权频谱。
3)流量类型:
①设备终止(DT, Device-Terminated)
②设备发起(DO, Device-Originated)
◆DO-Autonomous(DO-A):IoT设备自主发起的上行会话;
◆DO device-terminated triggered(DO-DTT):下行触发的上行会话。
RAN相关研究进展可参考技术报告TR 38.848。
4.2 IEEE研究进展
除了3GPP外,IEEE SA的802.11工作组也正讨论无源物联网的潜在用例、关键性能指标需求、终端供能需求等方面,探索使用无线局域网支撑反向散射设备的可能性。研究指出,反向散射通信技术在终端功耗、复杂度和小型化等方面具备较大的优势,特别是智能制造、数据中心、仓储物流、智慧家居、室内定位、智能电网、食品供应链等8个重点场景。然而,在多种典型的供能条件下(如射频能、光能、热能等),通过能量采集获得的瞬时功率可能不足以驱动传感器等器件,要求设备需要有一定的能量存储能力,如具备小型储能电容等。与此同时,不可控和不稳定的能量来源也要求终端或网络具备较强的能量管理能力。研究也探索了降低终端复杂度和功耗的可行方向,如限制工作带宽、采用OOK(On-off Keying,开关键控)/FSK(Frequency Shift Keying,频移键控)等简单调制方式、简化MAC(Media Access Control,媒体访问控制)协议等[47]。此外,工作组还对反向散射设备与现存802.11设备共存、满足非授权频段的法规限制,以及原型技术验证等方面进行了讨论[48]。目前,工作组的相关研究成果正形成技术报告IEEE 802.11-22/1562并持续完善,后续有望在802.11工作组设立专门的研究工作组开展更进一步的研究。潜在的标准化方向包括:
(1)物理层设计:以802.11ba定义的唤醒接收机为蓝本,设计目标功耗在100 μW左右的下行接收方案;以802.11ba的OOK和802.11b的直接序列扩频调制为蓝本,设计目标功耗在10~100 μW的上行发送方案。
(2)MAC设计:为100比特左右的目标载荷设计高效的MAC协议和帧结构,此外,还需要针对设备数量较大的情况设计专用的信道接入方法。
5 未来研究方向与挑战
展望未来,反向散射通信技术还将进一步发展,力求在满足成本和功耗的约束下进一步实现性能提升。接下来,本节探讨反向散射通信的未来研究方向及潜在技术挑战。
5.1 反向散射通信基础理论
到现在为止,对于反向散射通信的研究主要集中在调制技术、干扰消除技术、多址技术等通信技术方面的研究,而关于反向散射通信基础理论的研究却很少。
在信道建模方面,由于反向散射通信受限于发送端的功耗、接收端的灵敏度、干扰等方面的因素,其当通信速率较高时其通信距离一般不会太远,因此很有可能落入电磁辐射中的辐射近场区域。因此,如何针对辐射近场和辐射远场下的反向散射通信进行信道建模将是未来研究的重点。更进一步,单独的前向信道或者单独反向散射信道都可以建模成莱斯信道模型或者瑞利信道模型,然而准确地对包含前向信道与反向信道的级联信道的建模却不容易。已有的研究表明,双程级联信道相比于传统的莱斯信道将经历更深的信道衰落[49]。另外,在基于信道模型的基础上,如何从信息论的角度来分析在这些信道模型下的信道容量以及容量可达的最优信号输入分布同样重要,目前也缺乏相应的研究。在链路预算方面,需要分析实际调制方式约束和非理想因素下的链路预算,为反向散射通信系统设计提供理论指导。
5.2 新型硬件架构
在反向散射通信系统中,系统的性能损失主要来源于各种干扰、级联信道效应导致的高路损以及各种传输损耗等。这些因素导致反向散射通信更加依赖底层硬件设计来保证系统性能。潜在的新型硬件架构包括在反向散射设备端使用反射放大器、可调谐网络或天线,而在接收端采用VGA(Variable Gain Amplifier,可变增益放大器)、AGC(Automatic Gain Control,自动增益控制)等。其中,在反向散射设备使用反射放大器可以令反射系数恒大于1,等效于放大了反射信号或提高了反向散射设备的发送功率,从而改善接收信噪比[50-51];可调谐网络或天线可以补偿因天线阻抗或射频阻抗变化导致的偏差,防止信号失真。而使用VGA或AGC能够使接收端持续获得最优放大增益,抑制噪声,提高接收灵敏度[52]。这些新型的硬件架构有助于提升反向散射通信系统性能,但与此同时也需要考虑硬件成本、设备功耗、电路集成难度等因素。
5.3 通信能量一体化
无线信号是能量的一种存在形式和载体,未来6G系统能够提供的基础服务不仅包括传统的通信服务,可能也包括能量传输服务。综合考虑两种服务,设计通信能量一体化系统可以获得更大的整体性能增益。比如,无线传输的能量可以稳定地向通信业务提供能量来源,而能量传输服务也可以借助通信过程中的信道估计、波束管理等信息来提高供能效率。事实上,反向散射通信系统也是一种典型的通信能量一体化系统[53],可以借鉴现有关于通信能量一体化传输的研究来指导反向散射通信系统的设计。潜在的研究点包括:考虑能量和通信性能折中的编码调制方式,比如,可达能量-速率容量域的复合复高斯混合分布信号[54]、具备高能量采集效率的高PAPR(Peak to Average Power Ratio,峰均比)信号[53,55]等;研究适合同时接收能量与数据的接收机架构,比如基于空间、功率等不同维度的分割接收机或混合接收机;考虑能量及通信资源的协同调度方案,在能量效率与通信性能之间取得最优折中。
5.4 低功耗感知定位
面向工业制造、智能家居等场景,反向散射设备需具备多维泛在感知能力。其中,一种潜在的应用模式是将无线感知与无线通信能力进行一体化集成。比如,将反向散射设备安装在感知目标上,利用反射信号特征来区分不同感知目标,完成目标识别、关联和物理属性的提取;或在感知目标附近部署反向散射设备提供额外感知信号,利用其分集效果增加感知范围和提高感知精度。目前基于反向散射的无线感知已被用于定位及轨迹追踪、手势动作识别、生命体征检测、振动检测、环境重构成像等领域。然而,反向散射信号容易受相位噪声等因素影响,难以进行校准,影响感知性能[56]。此外,反向散射设备的RCS(Radar Cross-Section, 雷达横截面)可能小于感知目标的RCS,会导致信号分离困难,增加了检测难度[57]。最后,反向散射设备通常信号带宽小,可用天线有限,影响距离分辨率和角度分辨率。
5.5 共生反向散射通信
反向散射设备反射的信号既承载了反向散射设备的信息,也携带了射频源发送的原始信息。因此,反向散射设备对射频源自身的信息传输提供了额外的多径分量。在一定条件下,比如,当反向散射设备的调制速率小于射频源信号的符号速率时,接收端可以通过干扰消除等操作删除反向散射设备的调制信号,并解析出射频源发送的原始信号。在这一系统中,射频源的信号为反向散射通信设备的信息传输提供了射频载波信号,同时反向散射信号为射频源到接收端的通信传输也提供了额外的功率增益,二者实现“系统共生”和“性能互惠”的效果。这样的系统被称为共生反向散射通信系统[58]。然而,这一技术也存在一些挑战。比如,反向散射设备的速率受限于射频源信号的速率以及接收端的信道估计频率,若反向散射设备调制速率较高或源信号中的参考信号密度较低,主链路的性能可能因此受损。此外,也需要反向散射设备与射频源之间保持较为严格的同步,对反向散射设备的复杂度要求较高。
5.6 RIS辅助的反向散射通信
RIS(Reconfigurable Intelligent Surfaces,可重构智能表面)是近年来得到广泛关注的新兴技术。RIS的工作原理与反向散射通信有相近之处,都能够将入射的电磁波进行幅度或相位改变后反射出去。但RIS通常由大量反射单元构成,可以根据需求将入射信号定向反射,实现低成本、低功耗、高指向性的波束赋形,达到“改变”无线环境的目的,并有望成为6G系统的候选技术[59]。RIS也能够为反向散射通信系统带来增益,比如,RIS通过高增益的波束赋形,将能量源发送的或环境中的无线信号集中到反向散射设备,一方面可以提高反向散射设备的能量采集效率,另一方面也能够抑制直接链路干扰。这两方面都可以提高双基地架构下反向散射通信通信距离,比如文献[60]通过引入RIS,在RIS反射单元为16和100时,分别将通信距离提升了12 m和70 m。然而,RIS需要使用大量准确的无线环境信息来调整反射单元,否则影响波束指向性。但受限于成本和能耗,反向散射设备很可能不具备复杂CSI(Channel State Information,信道状态信息)上报或辅助波束训练的能力。因此,如何针对反向散射通信设计合适的RIS解决方案仍需进一步研究。
5.7 极低功耗通信模块与主通信模块设备内协同传输
为了降低设备功耗,现有通信单元中通过引入低功耗唤醒接收机来处理唤醒信号。在无业务需求时,终端设备关闭主通信单元,仅开启唤醒接收机单元;当网络需要与终端通信时,终端侧唤醒接收机单元在成功检测唤醒信号后,触发主通信单元打开来完成数据业务的收发。由于终端在无业务需求时仅唤醒接收机工作耗电,因此可实现微瓦级的待机功耗,但这种方式也只能实现低功耗的下行数据接收。以反向散射通信为代表的极低功耗通信发送以及极低功耗接收构成的极低功耗通信。通过将极低功耗通信模块与主通信模块在同一个设备内集成并进行协同传输,可以有效降低设备功耗或提高系统性能。比如,在没有业务需求或者低速率业务传输需求时,可基于极低功耗通信模块来发送一些低速率的数据或者一些必要的控制信令,而关闭主通信模块,从而有效地降低系统功耗。或者,在有中高速率业务传输需求时,通过极低功耗通信模块与主通信模块进行并行传输,并通过数据分流来提高系统吞吐量。在未来应用中该技术仍然存在一定的挑战,比如如何设计极低功耗通信模块与主通信模块共射频前端下的发送架构,并且需要考虑极低功耗通信在带内和带外部署时架构的影响。最后,在协同传输研究中,如何根据不同的业务需求或者设备需求选择合适的工作模式、分流策略等,都是未来需要研究的关键问题。
6 结束语
面向6G万物互联时代,低成本、低功耗的反向散射设备将无处不在,为工业制造、智慧交通、仓储物流、农林牧业、健康护理、家居管理、资产管理等提供服务。这些设备将作为数字与物理融合系统的传感器和执行器,真正实现万物感知、万物互联和万物智联。针对传统反向散射通信性能的不足,可以将蜂窝网络与反向散射通信结合,充分发挥二者的优势。通过研究面向蜂窝化的反向散射通信技术,包括空口技术、网络架构、协议栈设计等,从而在维持低成本、低功耗的同时,在覆盖距离、通信速率、连接规模等方面获得性能提升。同时实现网络对设备的可管可控,从而为客户提供方便和标准化的蜂窝网络功能,并激发新的应用和市场方向。最后,本文也回顾了国际标准化组织的相关最新研究进展,并探讨了潜在的进一步研究方向和相关挑战,为面向B5G的反向散射通信技术研究提供参考。面向未来6G网络的设计中,蜂窝化的反向散射通信可以通过研究新型反向散射调制结构、空口设计、极简化协议栈、网络架构等,增强反向散射通信性能;通过研究基于反向散射设备的感知定位技术,扩展设备的多维感知能力;通过研究反向散射通信与共生通信、RIS、主被动通信设备内协同传输技术等6G潜在技术的结合,更好地支持6G蜂窝网络与反向散射通信的融合。
