4D成像雷达:技术方案和感知算法
1. 前言
本专栏过去的内容阐述了经典的3D毫米波雷达技术及其工作原理,并不仅涉及其信号处理原理的研究解析。此外还深入探讨了基于点云与原始数据的感知算法相关技术细节与应用案例分析
毫米波雷达系统采用的数据处理技术在本系列文章中展开介绍(第一篇)
毫米波雷达在第二部分详细探讨了感知算法的应用与优化
在自动驾驶感知系统中,在于其全天候运行状态以及不受外界环境如光照及恶劣天气等因素的影响。由此可见,在当前高级别自动驾驶技术的实际应用中具有重要意义。
但是,在实际应用中,并非所有场景都可以完美应对。
传统的三维毫米波雷达系统在设计时往往难以满足复杂的环境需求。
其主要缺陷体现在定位精度和数据采集能力上。
角度分辨率非常低,尤其是高度方向,几乎没有分辨能力。
点云非常稀疏,提供的信息量太少,很难与别的传感器进行融合。
既然毫米波雷达的优点与缺点都非常明显,那么是否有一种方法可以弥补这些缺点呢?确实,这个解决方案就是本文要介绍的4D成像雷达.4D成像雷达有时也被简称为4D毫米波雷达,亦即4D雷达.
1.1 什么是4D成像雷达
在介绍其他相关概念之前
最后,我们再来探讨一下成像的概念。传统的毫米波雷达无论是在三维(3D)还是四维(4D)模式下,在角度分辨能力方面都存在一定的局限性。具体而言,在水平方向上其分辨能力通常在3度到5度之间,在垂直方向则超过10度。这种雷达系统所生成的空间分布信息非常有限,难以有效刻画物体的轮廓和场景的具体细节。而成像雷达之所以被称为"成像"型雷达,则是因为其卓越的角分辨率使其能够生成稠密的空间分布信息,并能精细描绘周围的场景特征。从这个意义上讲,激光雷达虽然采用了不同的工作原理和工作频段,在实际应用中也可以被视作一种高度智能化的成像装置。
综上所述
1.2 为什么需要4D成像雷达
在自动驾驶领域中提供多种传感器选择方案,并且针对不同场景设计出了多样化的组合方案数量也相当可观
激光雷达和毫米波雷达在感知系统的作用,简单来说有两个方面:
在这种情况下(视觉系统的能力相对有限),具备额外的感知能力。然而,在这种情况下(视觉系统的能力相对有限),具备额外的感知能力并不是问题所在:能够直接测量距离(如雷达)对于确定障碍物的位置具有显而易见的优势。
在高阶自动驾驶系统中, 系统必须具备冗余设计. 当视觉感知出现故障时, 雷达能够确保系统的安全下限.
那么说来,接下来的问题就是:激光雷达和毫米波雷达是否都需要应用?从安全性角度来看,最好是要都采用的。然而,在实际应用中发现采用更多的传感器会导致系统的复杂度与成本呈上升趋势,在商业上是不太友好的。因此问题便转为:若不得不选其一,则该如何抉择?
目前而言,在空间分辨率与点云质量两项指标上……均远超出了毫米波雷达的表现水平……然而该技术仍存在两大显著缺陷:其一为价格高昂(处于数千美元级别),其二则易受极端天气状况如暴雨、大雾等的影响较大……值得注意的是尽管近年来技术的成本持续下降……如今已有少于一千美元的价格水平的产品开始出现
文中提到毫米波雷达具有全天24小时运行的主要特点,并在自动驾驶系统的安全性中起到关键作用。然而其局限性在于成像效果不够精细。4D成像雷达正是针对这两个局限性进行技术优化后开发而成的设备,并且它集成了毫米波雷达与激光雷达的优点。值得注意的是其成本仅为传统激光雷达的十分之一但相比毫米波雷达却能提供更为出色的三维空间分辨率与点云质量表现优异因此可以说这种技术方案介于传统毫米波雷达与激光雷达之间是一种理想的融合方案未来有望成为自动驾驶感知系统中不可或缺的重要组成部分
2. 技术方案
相较于传统毫米波雷达而言,4D成像雷达的主要优势在于其卓越的角度分辨能力。那么它是如何实现这一技术优势的呢?
2.1 天线设计和角度分辨率的关系
在专栏之前的一篇文章中讨论了毫米波雷达的信号处理问题。该技术通过增加接收天阵的数量来提升其角度分辨率能力。图中的配置展示了一个发射天线与多个接收天阵的排列模式,并被描述为单发多收(SIMO)机制。根据文章中所述的角度分辨率计算方法,当仅配置4个接收天阵时能够达到28度的最小分辨角;而当将接收阵列扩展至8个时,则能将最小分辨角降低至14度。在此情境下所有接收阵列均呈水平排列因此无法确定目标在垂直方向上的具体方位信息也就是说没有任何关于目标高度的信息这样的配置构成一个纯粹基于三维空间定位的雷达系统

在SIMO机制中进行优化时,为了优化角度分辨率,必须增加接收天线的数量,并且这种变化呈现出线性关系.额外增加接收天线的数量会对芯片的设计复杂度和成本产生负面影响.首先可以观察到,当接收到更多数量的天限时,所需的物理面积会相应扩大,这对车载设备中的芯片而言是一种不利因素.其次,每个新增加的天线都需要独立配置信号处理模块,这将导致电路板的设计变得更加复杂化并进一步提高生产成本
因此在毫米波雷达的设计中更常见的是一种多发多收机制即MIMO系统在这种设计模式下设备通常配备有多个发射器和接收器它们之间会相互协作以生成更多的虚拟接收器例如在下图所示的例子中有2个独立的发射器和4个接收器这些设备之间的间距均被精确控制为了实现最佳性能左边的发射器与4个接收器结合能够生成4个虚拟接收到右边同样配置的发射器也可以形成4个独立的虚拟接收到这样一种2发4收的设计方案相当于SIMO系统中拥有8个虚拟接收到相比之下SIMO系统若要达到8个接收到状态则需要配备1个发射器加9个接收器共计10个设备而MIMO系统仅需2发4收共6个设备就能实现相同效果这种设计方式明显提升了雷达系统的物理设备利用率值得注意的是在不同发射端发出的信号如何实现区分这一关键问题一般有两种解决方案第一种是采用间隔布置的方式使得各个发射端具备空间上的区别第二种则是通过赋予各发射端不同的信号波形来帮助接收端识别来自不同源的信息

MIMO机制能够有效地利用物理天线,并通过增加虚拟接收天线的数量来提升空间分辨能力。然而,在上述情况下(即所有虚设接收到在水平面上布置),却无法提供垂直或俯仰方向的信息。如果要实现对垂直方向的高度分辨,则需要将额外设置于某个特定的方向并结合多通道技术进行处理。通常采用如图所示的3发4收阵列设计以实现这一目的:与传统的2发4收设计相比,在这种架构中新增加的那个发射单元被安置于目标区域上方的空间位置上,并通过计算其与各个观察点之间的距离差值来推断出该点处的目标特性参数值;这样不仅能够覆盖更多的空间区域还能够提高定位精度和可靠性

2.2 如何增加天线个数
深入理解了相关参数之间的关系后,我们能够明确:要实现毫米波雷达在水平和垂直方向上的高分辨率成像目标,最关键的因素是增加天线的数量。为此,在4D成像雷达领域,不同生产商采用了多样化的解决方案。
方案1:芯片级联
MIMO机制通过虚拟化技术来提升单块雷达芯片的最大有效发射接收器数目,在当前量产水平下普通雷达芯片受限于物理布局只能支持少量实际发射接收器布置。然而我们可以通过集成多块独立的雷达芯片来拓展整体系统的能力例如采用3×4阵列设计可实现每块芯片提供12组虚拟天元单元若将4片此类阵列级联布置则可实现总共192个独立的空间通道资源这一策略的优势在于能够充分利用现有量产水平下的标准雷达架构快速实现大规模多输入多输出系统部署目前主要采用该方案的品牌包括华为与大陆等多家 prominent manufacturers.

方案2:专用芯片
传统雷达芯片在扩展性方面存在一定局限性

方案3:标准芯片+软件提升
该方案采用了基于标准雷达芯片的技术基础,并通过结合软件技术和人工智能算法来实现角度分辨率的提升。其中最具代表性的技术当属"虚拟孔径成像"系统。在传统FMCW雷达中,相位差异主要来源于多根物理天线阵列之间的信号延迟差;而傲酷虚拟孔径成像雷达则通过自适应调制对发射波形进行处理,在不同时间维度上引入相位变化效果。具体而言,在每帧信号处理过程中,在接收端并非单纯依赖固定发射波形之间的相对位置关系推断目标方位;而是通过动态调整当前帧与前一帧之间的相位关系来进行精确角度估计。这一技术还可以与多级阵列协同工作以进一步优化性能

3. 感知算法
专栏之前的文章(链接见上文),则较为系统地介绍了基于传统三维毫米波雷达的感知算法体系
具体而言是信号解析步骤
具体工作原理及实现步骤

标4D成像雷达的数据处理链路(图片来自K-Radar论文)题
3.1 基于点云数据的方法
传统型3D毫米波雷达生成的点云数据普遍较为稀疏,在实际应用中通常每帧仅获取约64至128个有效回波。由于这些点云数据的空间分布较为分散,在直接应用基于激光雷达感知技术时往往难以达到预期效果。从以往的技术综述可知,常用的处理方法多基于传统的聚类分析手段,并且其中一种常用的方式是采用DBSCAN聚类算法进行空间分组。此外,在实际应用中还常采用小型神经网络模型进行特征提取,并且其中PointNet系列网络因其良好的特征提取能力而被广泛采用。
相较于3D毫米波雷达而言,在使用4D成像雷达时所获得的点云密度更高,并且定位精度更高;其结果更为接近激光雷达级别的精度水平。由此可知,在处理这类复杂场景时,在某些特定条件下可能直接应用基于3D感知的方法(例如PointPillar)来处理4D成像数据集上的问题。接下来将介绍其中几个典型的解决方案工作
Multi-class Road User Detection with 3+1D Radar in the View-of-Delft Dataset (2021)
在自动驾驶领域内,在任何研究工作中都至关重要的是数据。近年来发展迅速的是4D成像雷达。研究人员迫切地需求着大量高质量的数据来验证各种设想。荷兰代尔夫特理工大学的研究者们介绍了他们的一个名为View-of-Delft(VoD)的4D成像雷达数据库。
作为首个大规模部署的四维成像雷达数据库系统,在 here 收录了 8,693 帧图像数据。其中每一帧图像均包含时空对准下的 64 线激光雷达捕捉到的数据、双目摄像头实时捕捉的画面以及四维空间中的场景信息。这些来自复杂城市交通与道路环境下的真实采集样本中共识别出超过 120 万个独立物体实例,并按类别进行了精准标注:行人、车辆以及非机动车。
作者采用了一种常见的一类PointPillars网络,并将其直接整合到四维成像雷达系统的点云数据中,并进行了多种参数设置下的实验分析。

本研究对VoD平台上的实验数据进行了详细分析。具体而言包括mAP值等于均值平均精度(Mean Average Precision)以及基于角度相似度评估的平均值(AverageOrientation Similarity)。
其点云特征包含五个维度:分别由空间坐标(x, y, z)、径向速度vr以及反 directed散射截面RCS组成。具体而言,在实验数据显示高度和径向速度这两个特征起着关键作用;相比之下,RCS的作用相对较小。类似于常规毫米波雷达系统,多帧数据融合能够显著提高系统的感知能力;值得注意的是,在感知效果方面,单帧64线激光雷达在感知能力上仍存在明显差距
Three-Dimensional Object Detection for Multi-Frame 4D Automotive毫米波雷达 Point Cloud (2023)
在4D雷达系统中的点云数据中,各点的目标运动特性被定义为径向相对速度。这些测量值包含了传感器自身运动(亦即车辆自身运动)与目标物体运动的影响。就感知任务而言,在实际应用中我们更关注于目标物体的绝对运动特性。这是因为这些参数能够帮助我们区分动态与静态的目标物体。因此,在4D雷达的点云处理过程中,对相对速度进行去噪处理是一个非常关键的操作步骤
在点云运动补偿的过程中, 关键在于确定自身移动物体的速度参数。具体而言, 通过车载定位传感器(如GPS/IMU等设备)可以获得车辆自身移动的速度信息, 然后结合被测目标上固定不变的空间坐标信息(即外参矩阵数据), 即可获得被测目标设备相对于空间坐标系中的运动参数变化情况。本文的方法则采用了另一种思路, 即通过静止状态下采集到的点云数据来估算目标设备相对于空间坐标系的变化量。具体推导过程可参考文章内容, 由于篇幅限制此处不再详细展开。基于上述测量手段所获得的目标相对运动参数信息, 我们便能够进一步计算出被测目标上各点对应的绝对径向运动速率数值
在毫米波雷达感知算法中,通常会采用多帧数据融合的技术以提升定位精度。当车辆处于移动状态时,各具不同的坐标系使得每帧数据的位置信息存在差异。为了实现空间上的对齐,在处理多帧数据时需要依据车辆运动信息进行计算处理:通过平移和旋转操作将不同帧的点云调整至同一坐标系下(通常选择当前帧作为基准)
在完成运动补偿和空间对齐之后,多帧点云数据将被转化为'伪图像'形式,并通过与仿生算法协同作用的方式进行特征提取。该神经网络架构主要模仿U-Net模型的基本框架设计,在细节处理上并无创新性。可直接参考文中结构示意图理解其工作原理。

最后值得提及的是,在这项研究中, 作者专门整理了一个名为TJ4DRadSet的数据库. 具体来说, 这个数据库整合了7757帧同步采集的激光雷达, 摄像头以及四维雷达点云数据.
MVFAN: Multi-View Feature Assisted Network for 4D Radar Object Detection (2023)
这个工作主要以两个方面为主:一方面通过多角度视角来提升点云特征的提取能力;另一方面则采用特殊的损失函数设计来区分前景与背景点。
在激光雷达感知中, 点云数据可以通过多种方式来表示, 如PointView、FrontView或RangeView等, 其中Bird's Eye View通常缩写为BEV. 算法能够提取出不同区域的邻域特征, 这些特征可以直接应用于感知任务, 同时还可以将其附加到原始点云上以增强其特性. 本文倾向于采取后者的方式
作者还提出了采用位置信息编码的方法(利用每个采样点周围的邻域采样点的空间位置坐标信息),以将空间中不同区域的样本进行区分。该分支引入了一个额外的目标函数(基于前景与背景分类的真实标签信息),用于学习一个位置特征图。该特征图能够有效表示该区域对应于目标物体像素级别的存在概率,并被用于对前文所述多模态数据集中的各采样点特征进行加权融合

值得注意的是,在SMIFormer 2023年的文章中,作者通过提取三种不同的视图来编码点云特征,并进一步利用自注意力机制与交叉注意力机制对这三种特征分别进行增强与融合。
SMURF: 基于多空间表示融合用于三维物体检测的四维成像雷达系统(2023)
该研究的核心目标是特征提取。除了传统的Pillars特征外,在本文中我们还提出了采用KDE(Kernel Density Estimation)方法来估计每个点周围的密度特性。这种特性能够反映该点附近是否存在其他点以及这些点存在的密集程度如何。基于这一基本思路设计的方法表明:真实目标点周围的点云密度较高;而噪声点由于在其邻域内缺乏其他点的存在概率较低因此其密度值也会较小。基于此原理我们可以通过密度特性的分析来去除噪声数据同时本文还建议在KDE方法中采用不同大小的邻域范围以适应不同规模的目标体征
其实,在卷积神经网络(CNN)中进行卷积操作不仅可以起到类似于池化层的作用,并且在某些情况下还可以替代池化层(虽然在某些特殊场景下可能需要执行更为复杂的操作)。然而,在处理点云数据时(因为其不具备网格结构特点),直接应用传统的CNN卷积可能会遇到困难(即需要执行更为复杂的操作)。因此,在不引入额外复杂度的情况下(例如无需进行参数化假设),采用非参数方法提取密度特征也是一种有效的策略。

RadarPillars: Efficient Object Detection from 4D Radar Point Clouds (2024)
直接借鉴激光点云感知算法作为一种思路是存在的 但并未充分考虑4D成像雷达的独特特点 比如说其稀疏性 举例而言 每帧4D雷达数据通常包含约216个测速回波 而采用64线激光雷达则能够捕捉到多达约20,000个测速回波 需要指出的是 速度信息在现有应用中一般仅将其视为一个额外的特征 使用频率相对较低 并未充分挖掘潜在的价值
基于上述分析, 德国曼海姆大学的研究团队提出了一种名为RadarPillar的方法. 首先, 4D雷达点云中的速度沿点与雷达连线的方向, 即为径向速度. 作者建议将其在X和Y方向上分解, 并且在计算Pillar特征时, 将offset部分不仅基于x和y, 还纳入了径向速度以及X、Y分解后的速度信息. 这样一来, 可以"人为地"生成更多种的速度特征, 便于神经网络从中提取有用信息. 不过, 径向速度如何被有效利用仍有许多值得探讨的问题. 比如说, 我们或许可以通过推测目标的真实运动方向来恢复其真实的移动速率. 在神经网络的具体实现中, 可以假定多个可能的方向供网络从数据中学习最优的方向推断.
在采用PointPillar方法时,在处理4D雷达点云时会遇到大量空置的Pillar单元,并且其空置比例显著高于使用激光雷达点云的情况。这会导致前面几层神经网络由于感受野较小而难以提取邻域特征。通常情况下,默认的做法是采用较大的卷积核或进行下采样处理,但这样会显著增加计算开销并且可能导致有价值的信息丢失。针对pillar的稀疏特性,在本文研究者建议采用自注意力机制来应对这一挑战。其实思路非常简洁——每个pillar可以被视为一个token,在这种情况下自注意力机制就可以提供全局的感受野效果。因为pillar的数量相对较少,在这种场景下自注意力算法所需计算资源并不算过高。具体的实现细节包括空间信息编码等问题,请参考原文以获取详细信息

标RadarPillars与其他方法在VoD数据库上的对比题
除了PointPillars外,在LiDAR感知领域中作者还尝试了包括Point-RCNN、Voxel-RCNN、PV-RCNN以及SECOND等多种方法,并在VoD数据库上与RadarPillars进行了对比分析。实验研究表明,在引入更为丰富的速度特征以及全局自注意力编码机制后,在保证原有性能的基础上实现了感知能力的显著提升。
另一篇较早的文章 RPFA-Net: A 4D RaDAR Pillar Feature Attention Network (2021),在识别Pillar特征时也采用了类似的思路即借鉴了相同的技术框架通过自注意力机制来扩大感受野从而更有效地捕捉多方面的上下文信息
简而言之,在基于点云的方法中,核心任务聚焦于提升点云特征提取能力。其中一种常用方法源自激光雷达数据处理领域的Pillars特征框架。在此框架下,研究者们提出了多项优化方案涵盖多视图、注意力和密度特征等多个维度。此外,研究热点则聚焦于如何充分利用多普勒效应信息与时空序列数据的相关性分析。
3.2 基于Pre-CFAR数据的方法
毫米波雷达获取的原始信号具有较高的密度,在生成点云之前需要对其进行离散化处理以适应后续分析需求。其中应用最为广泛的算法便是CFAR(Constant False Alarm Rate)技术。由此可见,在CFAR操作完成之后将产生较为稀疏的点云特征表示;而在操作之前所处的状态则被称为Pre-CFAR状态(即原始状态),这一阶段包含了多种不同的特征类型:可能源自ADC采样后的频谱信息;也可能经由快速傅里叶变换得到的RAD(Range-Azimuth)域特征;或者介于二者之间的特定形态。
CFAR系统的稀疏化操作显著降低了数据量,在提升数据传输效率的同时也为后续计算节省了大量资源。然而这一过程不可避免地导致了信息损失。随着车载计算平台和技术的发展升级,在这种背景下人们逐渐将关注重点从降低数据量转向提高信息量上来。在深度学习时代工程师们也不再需要费心去选择哪些信息来使用这个系统而是让神经网络自行判断应该保留哪些关键信息并提取出有用的具体特征这样处理后能够更好地适应后续的任务感知需求
专栏之前的文章讲述了深度学习对3D毫米波雷达原始数据的处理过程。接下来让我们深入探讨一下,在4D成像雷达领域中,Pre-CFAR特征与深度学习之间的结合关系如何?
K-Radar: A four-dimensional radar-based system for object recognition in self-driving vehicles across various weather conditions (2022)
我们之前介绍的两个大型4D雷达数据库——VoD和TJ4DRadSet——仅包含有point cloud data这一类信息。为了探讨Pre-CFAR数据的优势,在韩国科学技术院(KAIST)的研究团队的努力下构建起了一个名为K-Radar数据库的新项目,在该数据库中整合了包括35,000帧不同场景下的四维成像雷达、激光雷达以及图像在内的丰富素材资源。值得注意的是,在这些四维雷达数据显示中不仅嵌入有point cloud信息这一核心要素,并且还包括在完成CFAR操作前获得的four-dimensional tensor数据这一重要特征

标题K-Radar数据示例,其中4DTensor是以BEV视角来可视化的。
基于四维张量数据的研究者提出两种基准方法:RTNH与RTN两种模型。其中第一个基准方法——RTNH通过在四维张量中选取能量最高的前10%的数据点以及在频段维度上取最大值的方式实现了四维张量向三维点云的有效转换过程;第二个基准方法——RTN未对四维张量执行任何稀疏化处理;相反地,则直接对高度维度进行了降维操作;从而生成二维视图特征图;在此二维视图特征图的基础上展开了一系列深度学习操作以提取关键特征信息。

实验结果表明采用Pre-CFAR数据能够显著提升感知算法的准确率。以BEV视角下的物体检测为例研究发现RTNH与RTN的表现分别为58.4%与50.7%相比之下基于激光雷达点云的方法仅能达到49.3%值得注意的是在VoD数据库中同样采用了PointPillars方法基于稀疏化后的4D雷达点云其准确率显著低于激光雷达为了确保公平性本文实验中也相应地对稀疏化后的4D雷达点云进行了PointPillars方法的应用
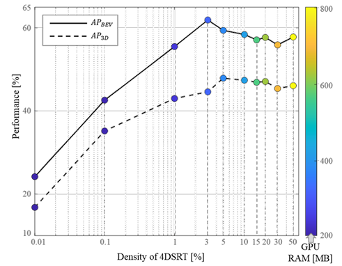
在RTNH模型中存在一个关键因素叫做稀疏化的采样率,在Enhanced K-Radar文章中作者进一步探讨了该因素对内存消耗以及感知准确率的作用。如图所示当采样率设置在3%至5%之间时感知的准确率达到峰值值域较高时引入更多点数意味着引入更多噪声从而导致感知准确率下降的同时也会占用更多的内存和计算资源值得注意的是K-Radar原始数据集规模非常大达到了12TB下载与处理这些数据极为繁琐仅保留约5%的数据样本不仅能够显著减少数据量还能使得数据库共享更加便利

DenserRadar: a four-dimensional millimeter-wave radar-based point cloud detector, developed using dense LiDAR point clouds, (2024)
K-Radar方法采用能量值作为依据对4DTensor中的数据进行排序,并从这些数据中选择约5%的数据来形成相对稀疏的点云。该方法与CFAR类似,并均遵循一定规则。显然,并非最佳方案会导致不可避免地丢失有效信息。这里的核心问题是:什么样的数据才算作"有效"的信息?雷达的数据最终要被用于完成各种任务(例如目标检测、语义分割以及SLAM),因此"有效"信息也是针对不同的任务而言的,并非绝对意义上的最优特征
该研究特别强调其具有高分辨率和低噪声特性,在测量距离和角度方面具有极高的精度,并且其抗干扰能力出色。因此广泛应用于作为真实场景数据的参考标准。基于此考虑,该研究探索了一种基于模拟真实激光雷达回波信号的方法来生成4D成像雷达所需的点云数据。该方法所得模拟点云与传统CFAR方法相比更加贴近真实的激光雷达回波特性,并且在视觉效果上更为逼真。值得注意的是,在不同感知任务下的性能对比分析仍然是本研究的重要关注方向。

ADCNet: Learning from Raw Radar Data via Distillation (2023)
包括K-Radar和DenserRadar的方法在内的各种技术均以RAD数据作为基础,在ADC数据的基础上通过FFT完成对距离、速度以及角度信息的解析后得到的结果。实际上并不是一种能够方便地被神经网络全连接层所模拟的有效手段。另外一种观点是虽然FFT是一种快速的数据处理方式但它并非最佳方案
特别是在角度解析方面,现有的多种高精度算法(如IAA、MUSIC、ESPRIT等)能够提供较为精确的角度估计结果。然而,在对实时性要求较高的系统中难以应用这些方法。不过,在这些方法的结果可作为基准(即所谓的"真值"),即神经网络学习和模拟的目标。因此,在Motional公司的研究团队提出了以高精度方法解析得到的RAD数据作为基准(True Value),设计基于ADC原始数据的神经网络模块来进行解析学习工作。该神经网络模型的初始参数设定为FFT变换系数,并通过后续的任务进行优化微调(FineTuning)。这一过程类似于传统知识蒸馏技术的应用流程:利用离线大型预训练模型生成的结果作为基准(True Value),指导在线小型模型的学习优化工作。

类似的方案还包括T-FFTRadNet (2023),它同样采用ADC数据作为输入,并通过线性神经网络模拟快速傅里叶变换(FFT)过程来推导出RAD相关数据。与之相比,则是采用FFT的系数作为初始化参数后直接将该模块接入后续任务,并实现端到端学习流程;值得注意的是,在预训练过程中我们特别地关注了RAD相关神经网络模块的学习效果
对于Pre-CFAR技术的研究主要集中在两个创新方向:一是基于FFT分析处理后的RAD(雷达深度剖面)数据;由于4D成像雷达产生的海量数据使得RAD信号难以有效处理这一挑战性问题存在;为此我们采用了两种不同的解决方案:第一种方法是通过人工定义的筛选规则(其中CFAR算法是一种典型代表);而另一种则是采用机器学习与数据分析驱动的方式实现自动化去密度化过程;二是直接采用ADC(数字调制转换器)原始观测信号作为输入;通过设计神经网络模型模拟传统的FFT解算过程;并将其与后续目标任务结合在一起实现端到端的学习框架;在此框架下同样也需要关注如何对原始信号中的关键信息进行有效的提取与表示;特别是在神经网络完成解算后或解算过程中都需要对获取到的数据进行一定程度上的去密度化处理以提升算法性能
