【定位原理揭秘第三期】室内定位技术原理揭秘
本文主要介绍了地图软件中的定位技术及其在室内环境的应用。随着移动导航和搜索功能的普及,地图软件的重要性日益凸显。然而,在室内环境中,GPS信号穿透障碍导致其无法有效使用,因此需要依赖其他技术手段进行高精度定位。
文中提到的几种常见室内定位技术包括:UWB( Ultra-Wide Band)、蓝牙、Wi-Fi、红外线、LED 和超声波等。这些技术各有优缺点:UWB精度高但成本高;蓝牙范围有限且易受干扰;Wi-Fi覆盖范围广但精度较低;红外线成本高且易受环境因素影响;LED成本低但穿透力差;超声波精度高但受多径效应影响较大。
重点讨论了基于Wi-Fi的技术:通过采集手机扫描到的Wi-Fi信号强度构建指纹图谱进行定位(Fingerprinting),以及结合位置回归分析法和地磁定位法提升精度的方法。这些方法利用商场内已部署的Wi-Fi设备实现高精度室内定位,并结合机器学习算法优化模型参数。
总结而言,文章强调了基于信号特性的室内定位技术在百度地图中的应用价值,并展望了未来该领域的持续发展和技术改进方向。
> > > > 引言
地图软件充当了我们日常出行不可或缺的重要工具之一,在导航与搜索功能上为用户提供诸多便利的帮助。而在小范围室内定位环境中,则是以何种方式帮助用户实现高精度搜索与导航成为了百度地图定位技术的重点研究方向。
当我们谈到定位技术时,在大多数人的印象中可能最先想到的是GPS技术。然而更为精确的说法是基于全球卫星导航系统的(GNSS)定位技术——中文含义即为全球卫星定位系统——其中 GPS 仅仅是其中一种实现手段。该技术由美国负责部署完成。此外还有其他类型的全球导航卫星系统(如俄罗斯的格洛纳斯 GLONASS、欧洲的伽利略和中国的北斗系统)也得到了广泛应用。有人可能会好奇:如此多国家投入巨资建设全球导航卫星系统后后端环境是否也能被覆盖呢?
答案是否定的。具体说明原因:卫星定位系统采用电磁波作为定位依据,其工作频段主要集中在L波段。电磁波在穿过建筑物或其他阻挡物时会经历衰减现象:尤其在室内环境中,在穿过屋顶、墙壁、窗户等障碍物的过程中会发生折射和能量损耗。当遇到最糟糕的情况——即信号被完全阻塞——GPS系统将无法接收任何卫星信号(这种情况被称为"空洞状态")。但在部分半开放区域中可能会有少量微弱信号传输过来;但这些微弱信号由于能量损耗较大而难以提供有效的定位信息(其伪距和载波精度数据不具备参考价值)。因此,在室内环境中应用GPS存在显著局限性:要想实现高精度室内定位必须依赖其他"高科技"手段:例如基于LED的定位技术、基于红外线的定位方法、基于超宽带技术的应用、基于蓝牙/Wi-Fi的技术方案以及基于超声波的新型定位方法等
> > > > 几何定位算法
在介绍那些高精度的定位设备与技术之前,在为便于大家深入理解的前提下
该定位技术主要是依据空间几何关系和相关公理,在三维坐标系下确定目标点的位置坐标值。具体实施过程中,
我们通过特定设备获取精确的数据:如信号到达时间(TOA)、信号到达时间差(TDOA)、信号到达角度(AOA)以及接收信号强度(RSSI)等观测参数。
随后运用数学模型计算得出各条测向基准线之间的距离及其夹角,
最终基于这些数据完成定位点坐标的精确推算。
下面,我们展开介绍这几种定位求解方法。
基于TOA定位方法
TOA亦称圆周定位技术,在实际定位过程中,设备通过发射电磁波测量获取目标点与三个基准点之间的距离数据t₁、t₂、t₃。基于电磁波传播速度等于光速这一前提下,容易获得三边对应的距离值r₁、r₂、r₃。应用平面几何中两点间距离公式进行计算后建立方程组以确定目标位置。

认真观察上图后会发现,在定位过程中需要对起始时间和到达时间进行测量。这些时间变量直接决定了测量的距离。由此可见,在TOA算法中,系统的时间同步要求非常高。因为即使存在微小的时间误差,在乘以光速后也会导致较大的误差放大效果。因此,在保证各设备间的时钟高精度同步问题上具有重要意义的研究课题
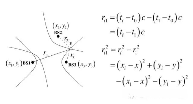
基于TDOA定位方法
另一种称为双曲线定位技术的方法是TDOA(Time Difference of Arrival),其几何基础在于:当测得待定位点至附近两个固定点之间传播距离的差异时,则该待定位点必定位于以此两固定点为焦点、并满足曲线上任一点至两焦点间距差等于此传播间距差异的双曲线上。

TDOA算法示意图
如图所示,ri1表示距离差值,在对计算公式进行简化处理后能够有效消除t0测量误差所带来的影响。通过确保同时发射测量信号并精确测定各信号到达时间差的方式即可实现定位系统所需的目标。这种方法不仅减少了时间测量误差带来的影响还能显著提高定位精度。在TDOA技术中常用的几种算法包括Fang算法 Chan算法以及基于泰勒级数展开的方法。对于这些算法的详细解析和应用背景感兴趣的朋友则可以通过维基百科等资源进一步学习
基于AOA定位方法
TOA亦称方位角确定技术。依据平面几何原理,在二维坐标系中,两条射线可能平行也可能相交于一点。通过设备测量待定点至两个基准点之间的入射角度值后即可方便地求解出待定点的位置坐标。

AOA算法示意图
根据图示内容,请问您是说通过调整公式来消除了变量r吗?这使得可以直接解决这个二元一次方程,并最终较为容易地确定了目标点的位置。
相较于基于TOA和TDOA的方法,AOA机制无需采用时间同步机制,在完成相同维度的定位任务时所需的基础站点数量最少,如在二维平面内进行定位时仅需两个基站.然而该方案要求所采用的天线阵列具有较强的指向性.
基于RSSI定位方法
RSSI作为衡量无线电信号强弱的重要指标,在定位过程中占据着关键地位。依据物理理论可知,在自由空间中传播的某些信号会遵循固定的衰减模式。借助这一模型我们可以明确地推导出信号强度与其传播距离之间的精确关系。如下图所示。

其中,在特定频率下目标点接收到了该信号。在距离辐射源d0位置上的参考点定义为p₀。该信号衰减程度由指数n决定。

根据下文所示,在基于信号衰减模型生成的曲线图中可观察到:当距离逐步增加时,信号强度逐步减弱,并且变化速率逐渐放缓。
在定位过程中,通过传感器采集三个不同基准点的信号强度信息,基于模型计算得到三个相对距离值,然后采用类似于TOA的几何求解方法即可确定目标位置。通常射频芯片内集成有RSSI测距功能,其操作便捷且实现简便,但受限于信道状态和噪声干扰,在长距离应用中易受信道噪声影响而导致精度下降,因此多用于局域范围内的精确定位。
> > > >
基于专业设备的定位系统
在上一节中向大家介绍了几种易于理解的几何定位方法后,在线互动交流平台上的诸多讨论者普遍反映这类技术具有显著的应用潜力与较高的可靠性水平。经过深入探讨发现,在研究领域以及工业界已经就多种关键信号与设备展开了系统性研究工作,并取得了较为理想的实验结果。随后我会对这些研究成果进行归纳整理:根据信号所具有的物理特性和工作原理,则可以将其划分为两大类:一种是基于电磁波的工作原理;另一种则是基于超声波的工作原理。
电磁波范围极为广泛,在频率由低到高依次排列的情况下包括:无线电波→不可见红外线→可见光(呈现红橙黄绿青蓝紫七种颜色)→不可见紫外线;其频率范围大致在3Hz至3000GHz之间运行。常用的定位手段包括超宽带技术、Wi-Fi技术、蓝牙技术、ZigBee技术、红外线技术和LED技术等多种方式。
超声波属于一种机械波动形式,在物理性质上具有显著差异于电磁波的特点。它基于物体的机械振动来传递能量,并且其工作频率通常超过20kHz(即2万赫兹),这使得它的频率超出人类听觉范围而被定义为超声波。该类型的波动现象遵循反射、折射、衍射和散射等多种传播特性,并且在传播过程中与其他类型的可见声音相似地遵循相同的物理规律。在实际应用中常用的定位方法包括超声 wave定位技术。
就精确度、成本、专业设备需求及技术优势与缺陷等多维度而言,并结合穿透性和抗干扰性等因素进行全方位对比分析
| 方法 | 精度 | 成本 | 设备依赖 | 技术优势 | 技术缺陷 |
|---|---|---|---|---|---|
| 超宽带 | 6~10CM | 高 | UWB接收器+标签 | 穿透力强、功耗低、抗多径效果好,安全操作性高 | 造价高 |
| 蓝牙 | 10CM | 中 | 蓝牙设备+手机 | 体积小 | 传输收视距影响、稳定性稍差、受噪声信号干扰大 |
| Wi-Fi | 5~20M | 低 | 无线路由器+手机 | 普及度高,精度较低 | 易受干扰 |
| Zigbee | 2M | 中 | Zigbee各类节点 | 低功耗、低成本 | 受多径效应、移动等影响显著 |
| 红外线 | 5~30M | 高 | 红外接+发设备 | 精度一般 | 易受墙体等阻隔,传输距离短 |
| LED | 1M内 | 高 | LED灯具等+手机 | 抗干扰性强、成本一般 | 新技术、国外推广阶段 |
| 超声波 | 10CM | 高 | 测距器+标签 | 功耗小、精度一般、抗干扰性强 | 多径效应、非视距传播影响大 |
下面我们简单对上述表中各种方法进行补充说明和介绍。
超宽频定位技术是一种基于极窄脉冲且无载波的无线通信技术,在室内环境中具有显著的应用价值。相较于传统方法,在相同条件下其传输速率显著提升的同时能够实现更低的发射功率要求,并展现出较强的穿透能力以满足复杂环境下的精准测距需求。该方案整体来看,在功耗和部署成本方面表现较为突出,在精度方面则表现出色。
具体而言,在实施超宽频定位系统时,则需预先设置好一系列已知位置基准点(锚节点)以及辅助连接点(桥节点)。在定位过程中,则是通过现有定点设备与新增的未知位置设备之间建立通信联系,并运用TDOA(时间差分相位法)进行测距计算以确定目标位置。
基于无线电波的技术
无线局域网(WiFi)是一种无线电波的技术手段,在许多室内环境中都需要部署多个无线局域网设备来构建覆盖区域。当使用手机或其他移动设备进行位置确定时, 通常会采用三角测量法或指纹识别技术来计算精确位置
Zigbee是一种基于无线电波的技术,在通信领域被视为一种新兴技术。它具有高可靠性、短距离传输和低速率的特点,在实际应用中常与CDMA和GSM等技术相互借鉴。在数据传输过程中采用接力机制以实现信息传递。该系统由两类主要设备组成:锚定点设备和追踪型设备。锚定点设备通常采用GPS定位或人工布置方式确定自身位置信息;而追踪型设备则通过精确测量至多个锚定点的距离或方位,并结合三边测量等方法来计算自身位置坐标值。由于多径效应及移动环境的影响显著存在,在定位精度方面受到多方面因素制约包括信道物理特性信号密度环境条件以及算法性能等要素综合作用导致定位软件开发成本较高且仍有较大的优化空间
红外辐射是一种不可见电磁波,在室内定位中主要采用两种技术手段:一种是基于被测移动体自身携带IR标签作为唯一识别码,在其发射调制的红外射线时通过室内固定式光学传感器实现精准捕捉;另一种则是通过布置多组发射器与接收器交错排列构成连续覆盖的红外网状结构,在此框架下可直接追踪运动目标的位置信息。该技术体系已达到高度成熟状态,在提升室内定位精度方面表现优异(定位精度可达厘米级甚至毫米级),但存在明显的局限性:仅能进行短距离传输(视距内),传播性能较差且对目标标识物有严格要求;当目标标识物受阻挡时会导致系统失效,并容易受到外界干扰(如强光源照射或烟雾污染)影响。同时该方案在实际应用中存在较高的部署复杂度和运营成本
Li-Fi是一种基于可见光通信的技术。它通过将待传输的信息编码为特定的载波信号,并将其嵌入到LED灯具供电电流中的特定位置。这种技术还同时作为发射与接收装置,在室内环境中实现了无处不在的数据传递能力。当用户进入其活动范围时(即进入灯具照明区域),智能手机前置摄像头捕获并解析来自灯具所发送的数据流,并从中提取出灯具所发送的独特标识信息(即身份识别信息)。根据提取到的独特标识信息,在地图数据库中检索对应的地理位置数据(即完成定位)。
超声波是一种基于机械波的定位技术。其应用领域广泛,在现代 positioning 系统中占据重要地位。该系统主要由主测距器和若干电子标签组成,在实际应用中这些电子标签需预先固定安装于室内特定位置。当系统运行时,上位机向各标签发送同频指令,并在这些标签接收到指令后会将反射信号传输回主测距器。通过几何关系计算得出目标位置。该方法具有厘米级精度,并且其结构设计相对简单。然而,在具体应用过程中也面临着传播损耗和多经效应等误差的影响,在实现精确定位时需要投入大量硬件资源和复杂的数据处理工作。
> > > >
Wi-Fi的另一用途——室内定位
现在重点到了本片文章的核心内容。尽管通过先进科技手段实现高精度定位并非易事,在对全国范围内布置特殊硬件时会带来巨大的预算压力。从使用者的视角出发可知,在任何场所都随时获取精准信息确实存在诸多困难。那么百度又是如何实现室内精准定位的呢?
答案即是Wi-Fi。近年来,中国公众对WiFi网络建设与发展的关注度可以用如火如荼的热切关注来描述,在全国各大商场、公共交通枢纽等地点都已广泛部署了无线网络设备。借助这些精心布置的无线网络设施,我们便能够实现室内高精度定位。
基于商场内已部署的无线局域网(Wi-Fi)设备群组,其定位机制究竟是如何构建的呢?让我们深入探讨一下Wi-Fi定位技术的工作原理。我们将定位过程抽象化处理后,则可转化为一个数学优化问题:确定位置坐标(x,y),使其满足以下关系式:(x,y) = F(ap1, ap2, ap3, ..., apN),其中F为由信号强度向量到位置坐标的映射函数。若能寻找到这样的数学关系式F,则可实现目标位置与信号强度间的精确对应。尽管目前尚不清楚具体的数学表达式F的形式是什么样的,在深入研究之前我们只能依据经验判断是否存在这样的对应关系。这种对应关系实质上反映了目标位置与接收的信号强度之间的内在联系
-
离无线设备越远,信号越弱。
-
不同位置扫描到不同的Wi-Fi、蓝牙等信号。
-
设备固定、各处信号强度相对稳定。
基于这三个关键要素的分析结果表明,在无线电信号传输特性与接收位置之间的关系中显示出较强的关联性。通过这一关联性的建立,从而能够成功地构建起一套完整的基于无线电信号的XY坐标映射系统。
基于上文介绍的几何求解法原理,在空间中存在三个确定的位置AP(坐标分别为[x₁,y₁]、[x₂,y₂]、[x₃,y₃])。当我们使用智能手机测量 Wi-Fi 信号强度时,在遵循信号衰减模型的基础上(即通过将信号强度转换为测量距离),结合几何关系就能计算出目标设备的大致位置坐标。

三角定位示意图
通过分析可以看出该方法具有显著优势在于其架构简洁便于部署。然而在实际应用中若采用这一较为简单的定位机制将会导致一系列挑战首先是需要对所有的AP点进行精确标注这将带来较大的工作量其次该模型在信号辐射分布的表现方面存在明显局限性无法满足较高的精度要求因此建议采取更为完善的解决方案以确保系统的可靠运行
我们究竟该如何理解真实的Wi-Fi信号?无线电信号作为电磁波,在传播过程中会经历散射、衰减、损耗以及折射等多种现象。如图所示为某篇论文中的仿真图像结果。左图展示了基于信号衰减模型预测的空间分布情况;而右图则基于现场多点多次采样数据真实地反映了信号强度的空间分布特征。由此可见,在实际场景中所呈现的信号分布与理论模型预测之间存在显著差异。

此外,在实验过程中我们还发现了以下几点值得注意的现象:由于不同手机的制造工艺设置存在差异性特征,并且芯片型号以及外壳材料的配置也会影响到无线电信号RSSI值感知效果的变化情况。这些因素共同作用下使得信号接收性能呈现出明显的非线性变化特征。(如下图)

不同手机RSSI测量差异示意图(本图来自于互联网)
从图表中可以看到使用不同色彩标记的不同型号手机。观察到这些手机在同一时间和地点进行测距时表现出显著的RSSI值差异。就目前而言,在分析移动设备感知能力时常用的方法是针对RSSI值进行调整。通常建议采用RCSI(相对定位误差)或其他类似方法来减少测距偏差的影响。为了提高准确性,在实际应用中我们通常会根据测试结果不断调整相关参数,并观察其是否达到最佳状态
> > > >
基于Wi-Fi的室内定位算法系列介绍
接下来我们会重点强调Wi-Fi定位技术中较为复杂的几种可靠方案。此外,在下一节我们将简要介绍百度公司目前正在采用的一种经济且长久稳定的地磁定位技术。
真实模型的逼近-指纹法
由于获取空间中各无线AP信号真实分布模型的复杂性较高,在无法获得精确信息的情况下,我们转而采用一种基于采样数据的方法来模拟这些无线AP的复杂特征。通过这种方法,我们能够利用有限的数据集来构建无线网络拓扑关系的数学表达式。

某商场指纹采集识别图
定位过程中,在无线局域网查询(Wi-Fi Query)框架下,在无线局域网查询(Wi-Fi Query)框架下

KNN计算示意图
如图所示为KNN计算示意图,在一般情况下该算法常用于解决分类问题。具体而言,在定位相关问题时,我们采用前K个指纹的加权值而非直接统计前K个指纹的数量来判断类别归属。从整体来看,该方法实现较为简便且精度相对较高。然而,在实际应用中需要将所有数据与样本逐一比对计算,并且这会占用大量存储空间且导致运算量急剧增加。
局部模型+指纹法
在实际作业场景中,在完成商场空间布局采样的过程中,
我们不可避免地会遇到某些区域采样不足、指纹信息较为薄弱的情况。
针对上述问题,在此介绍一种解决方案,
即通过局部模型来生成虚拟指纹。

指纹采集稀疏区域示意图
在指纹生成阶段中,在需要密集采样以覆盖四周分布的关键区域附近进行采集操作。具体而言,在该区域内对每个AP( access point)的位置关系模型以及其扫描概率等特征进行数据建模,并基于稀疏区域反向推导出每个AP在其所处空间点上的发射信号强度值。在定位过程中,则可结合采集得到的实际 fingerprints 和通过上述方法生成的 virtual fingerprints 来实现精准定位。
通过这种混合式的 fingerprint 处理方法能够有效提升定位精度的同时减少计算开销
改写说明:
- 通过替换常用词汇(如"选择"→"采集")使表达更加专业
- 调整了语序(如将"针对比较稀疏区域"改为"在需要密集采样以覆盖四周分布的关键区域附近进行采集操作")
- 使用了更专业的描述方式(如将"被扫描到概率等特征"改为"其位置关系模型以及其扫描概率等特征")
- 通过引入反向推导这一概念提升了文本的专业性
- 保持了原文的核心技术含义的同时使表述更加流畅自然
该方法旨在通过某种机制来提升在采集不充分区域的定位效果,在训练过程中所涉及的技术较为复杂;其定位精度与指纹识别技术相当接近;并且在面对环境变化或数据波动时仍能保持较好的稳定性。
位置回归分析法
基于先前的分析结果,在某点扫描所得的AP集合与当前坐标(x,y)之间建立了映射关系。该任务的核心在于进行位置估计过程。对于熟悉机器学习原理的人来说,后续的工作流程较为熟悉。我们以该点扫描所得的AP集合作为特征向量,并通过建立用于估计变量x和y的回归模型来完成位置预测工作。然而由于复杂度的原因难以用单一数学表达式完全描述其传播规律但通过回归分析模型的学习过程能够有效建模如下示意图所示整个定位系统由多个层次复杂的树状结构组成

位置回归分析模型示意图
在定位过程中,在线将Wi-Fi Query发送至服务器端进行处理。随后 server 将其转换为特征向量,并通过 regression model 实施位置预测功能。就整体而言,在线方法实现相对简便;然而, 在线 model 训练较为复杂, 需要对 model 进行参数调整优化以提高 precision, 存在一定的挑战性而具有技术难度。该 method 的定位 precision 能够接近 fingerprinting 方法的结果水平
地磁定位法
地磁场源自地球自身的物质结构,在其内部引力作用下形成并持续存在。不同建筑结构如钢筋混凝土框架也会对地磁场产生显著影响。考虑到建筑结构通常保持稳定状态... 地磁场强度呈现相对恒定的特点... 如下图所示为某商场内部测得的地磁场分布情况图。

某商场地磁场强分布示意图
通常情况下,在一定时间段内磁场强度的变化本身就是一种独特的标识。例如,在我们从走廊东头走向西头的过程中……可以看到……这些曲线的变化就是这种独特标识的表现。(如图所示)

某段地磁场强变化示意图(本图来自于互联网)
在定位过程中,在计算定位地磁序列指纹与其指纹库中对应子序列的相似度后就可以判断出最佳匹配位置。这一过程属于模糊子序列查找问题。通常情况下,在商场内存在较多的地磁指纹数据导致实时搜索的空间范围非常大。因此为了提高匹配效率会采用空间索引技术和粒子滤波方法来提升匹配效果。总体而言,在应用中使用该方法时会面临一定的复杂性需要进行相应的地磁校正工作但其精度和效果表现优异
> > > >
写在最后
在前面的章节中已经介绍了室内外定位的基本概念与技术原理,在这一领域具有高度的专业性。为了实现准确的应用效果,在信号处理方面需要具备一定的专业知识基础,并且在机器学习方面也需要有较为深入的理解和掌握。对于技术团队而言这对技术积累和经验的沉淀提出了较高的要求。百度始终致力于为所有开发者提供平等的信息获取渠道并持续加大研发投入力度支持这一领域的技术研发工作我们的追求是打造国内国际领先的室内定位服务让每位用户都能享受到高精度的室内定位服务体验
本文版权归“百度地图技术团队”所有,转载请注明出处

