自动驾驶中常见坐标系极其转换

各个传感器坐 标系
相机坐标系统
摄像头具有将三维空间中的形状特征与色彩信息转换为二维图像的能力。基于摄像头感知的算法则能够从所得二维图像中识别并解析出三维世界中存在的车道线、车辆与行人等物体信息,并确定它们相对于摄像头的位置关系。
该感知算法与相机相关的各种坐標系統包含有:像素坐標系統(基于像素的位置),相机中心坐標系統(基於相機中心的位置),以及成像平面坐標系統
像素坐标系
存储于电脑上的图片或照片通常以左上方的角落作为基准点,并采用右侧定义为x轴的正方向、下方对应y轴的正方向的方式进行定位。其数学模型基于二维坐标系,在计算中常用单位是像素(pixel)。其数学模型基于二维坐标系,在计算中常用单位是像素(pixel)。
摄像机坐标系
基于图像坐标系中x轴向右延伸、y轴向下延伸的特点可知:以镜头主光轴中心作为原点建立摄像机空间坐标系统,在该系统中通常情况下沿右侧定义为x正方向,在下方定义为y正方向。而前方即为z正方向。因此,在x和y方向上与图像坐标系保持一致;沿着z轴的方向即代表景深;该摄像机空间记作(Xc, Yc)
像平面坐标系
为了定量精确地量化三维空间到二维图像的映射关系, 图形学中提出了基于 camera 坐标的平面坐标系. 该系统通过将坐标系沿着主光轴方向进行平移操作实现, 其原点仍位于相机的主光轴上, 并且与主光轴交点至相机原点的距离等于相机焦距.
我们都知道摄像机将在光轴中心一侧呈缩小倒置图像(Xf, Yf);然而为了便于分析计算起见 我们会在光轴中心前方设置一个虚拟图像平面 这一假设下的虚实对比图像是正立等大图像

Lidar 坐标系
自动驾驶的关键传感器之一是LIDAR系统。它能够360度旋转扫描周围的环境,并通过不同的反射特性生成三维数据点集合。LIDAR通常安装于车辆顶部位置。

自车坐标系
在一般环境中选定一个参考坐标系以表示传感器和物体的位置,则该坐标系被称为世界坐标系。
自车坐标系通常指的是以车辆后轴中心为原点(由于在车辆行驶过程中后轴中心位置保持不变),并基于左前上或右前上的空间位置建立的空间位置系统。
左右方向通常作为横向方向使用;前后方向通常作为纵向方向使用;上方通常指地面以上区域。
随着车辆运动而改变其自身的运动状态。
所有后续的需要感知输出的目标都应基于车载坐标系进行处理;bird's eye view(BEV)视角目标亦在此框架下。

- X轴向右延伸,并处于水平位置,在垂直方向上与车辆的对称平面相交
- Y轴向前延伸,并处于水平位置
该车体坐标系包含三个关键的姿态参数: yaw、pitch 和 roll。 其中, yaw 表示航向, 即围绕 z 轴旋转;pitch 值代表仰角, 即围绕 y 轴旋转;而 roll 则表示滚转角, 以 x 轴为旋转轴进行操作。 其中最为关键的是 yaw 参数所对应的航向角度

传感器标定参数
相机标定参数
相机内参
相机内参是指在相机出厂时预先经过标定的参数集合,并且它通常包括三个关键参数:相机主点、相机焦距以及畸变系数。
相机外参
yaw,patch,roll
在相对于其他坐标系的视角下,在图像处理与机器人学领域中通常采用旋转矩阵和平移向量来描述刚体运动。其中旋转部分作为组成部分参与了上述欧拉角(即偏航角、俯仰角和滚动角)的表示。而平移部分则用于描述相机相对于目标坐标系的位置偏移,在目标坐标系中的位移矢量以米为单位进行度量
坐标系坐标转换
在整个转换过程中,包括有四个坐标系
自车坐标系相机坐标系图像物理坐标系图像像素坐标系
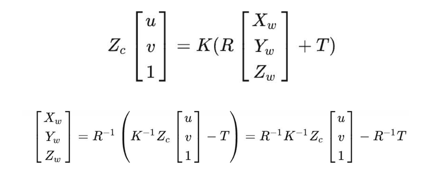
一般来说,自车坐标系到像素坐标系转换过程分为两个部分:
首先是从车辆坐标系转换为相机坐标系,在这一过程中涉及将三维空间中的点进行对应转换;该步骤具体包括旋转矩阵 R 和平移向量 T(即相机的外参数)等信息;
第二步是基于相机坐标系转为图像坐标系的过程,在这种转换中涉及将三维空间中的点投影到二维平面上,并包含 K (相机内参)等参数。
自车坐标系到相机坐标系

相机坐标转换为图像坐标系
该图展示了位于相机坐标系中的成像平面位置。其中Oc表示相机的原点位置,在此框架下所述的距离等于其焦距f。对于相机坐标的任意一点Xc而言,在成像平面上的位置被称为图像坐标,在这种情况下其方向保持一致


刚体之间的空间旋转可以拆分为三个方向的平面旋转,如下:

在相机坐标系下遵循透视投影规律,在将三维空间映射至二维平面的过程中也相当于采用了类似于针孔成像模型的转换机制。满足如上所示的相似三角形关系

图像坐标系到像素坐标系之间的转换过程中无旋转操作也无投影操作但因坐标基准点位置存在差异尺寸参数不匹配故需设计缩放和平移操作dx和dy分别表示每个像素对应的物理长度单位

综上所述,大家可以看出四个坐标系之间存在着下述关系 ( 矩阵依次左乘 )



References
坐标系之间转换 :
<>
