通信原理1:绪论
发布时间
阅读量:
阅读量
1.1 通信简介
消息:信息的物质载体,信息的外在表现形式
信息:消息的内涵 ,即消息中包含的有效内容
信号:消息的传输载体 ,消息的电表示形式
- 模拟信号:取值连续(无限个)
- 数字信号:取值离散(有限个)
通信:利用电信号传输消息中所包含的信息
1.2 通信系统的组成
1.2.1 一般(基本)模型
通信系统:实现通信过程(信号的产生、发送、传输、接收和恢复)所需的一切技术设备(包括信道)的总体

1.2.2 模拟通信系统
利用模拟信号传输信息的系统

1.2.3 数字通信系统
利用数字信号传输信息的系统

主要研究内容:编码、译码、调制、解调、同步
1.3 系统分类和通信方式
1.3.1 通信系统分类

同一个通信系统可以分属于不同分类
1.3.2 通信方式
按传输方向和时间分
| 通信方式 | 特点 |
|---|---|
| 单工通信 | 单向 |
| 半双工通信 | 双向、不同时 |
| 全双工通信 | 双向、同时 |
按数字码元传输时序分
| 通信方式 | 特点 |
|---|---|
| 并行传输 | 适用于近距离通信 |
| 串行传输 | 适用于远距离通信 |
1.4 信息的度量
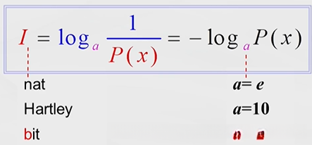
1.4.1 信息量 I
信息量就是不确定性 的多少
信息量 I 是概率 P(x) 的函数

注:nat、Hartley、bit分别为a=e、10、2时I的单位
- P越小,I越大
- Ii 反映了单个符号xi 的不确定性,但不能反映整个信源的不确定性
1.4.2 信源熵 H
信源熵:平均信息量

- H与信源的进制数和各符号出现的概率有关
- M一定,P相等时,熵最大
- 发送概率P相等时,信源的进制数越多,熵越大
1.5 通信系统的性能指标
1.5.1 有效性指标
数字通信系统



有效性指标关系图

注:H 信源熵、B 带宽、M 信源进制数
I总 = Rb x t
1.5.2 可靠性指标
数字通信系统

全部评论 (0)
还没有任何评论哟~
