图像质量评价(Image Quality Assessment,IQA)
图像质量
图像质量的含义主要包含两个方面,一个是图像的逼真度(fidelity),另一个是图像的可懂度(intelligibility)。
(1)图像的逼真度(fidelity)
描述被评价图像与标准图像的偏离程度,图像质量直接取决于成像装备的光学性能、图像对比度、仪器噪声等多种因素的影响,通过质量评价可以对影像的获取、处理等各环节提供监控手段。
(2)图像的可懂度(intelligibility)
则是表示图像能向人和机器提供信息的能力。
**图像质量评价(Image Quality Assessment, IQA) **
是图像处理中的基本技术之一,主要通过对图像进行特性分析研究,然后评估出图像优劣(图像失真程度)。主要目的是使用合适的评价指标,使得评价结果最符合人类主观评价。
从有没有人参与的角度区分,图像质量评估方法分为主观评价和客观评价。
图像质量的主观评价
主观图像质量评价方法是以人的主观意识为判断的评价方法,主观评价方法主要可分为两种:绝对评价和相对评价。
一、绝对评价
是指平均主观分(MOS),图像质量的绝对评估是观察者参照原始图像对待定图像采用双刺激连续质量分级法,将待评价图像和原始图像按一定规则交替播放持续一定时间给观察者,然后在播放后留出一定的时间间隔供观察者打分,最终将所有给出的分数取平均作为该序列的评价值,即待评价图像的评分。
国际上也对评价尺度做出了规定,对图像质量进行等级划分并用数字表示,也称为图像评价的5分制“全优度尺度”(优:5分,良:4分,中:3分,差:2分,劣:1分)
二、相对评价
是指差异平均主观分(DMOS),相对评价中没有原始图像作为参考,是由观察者对一批待评价图像进行相互比较,从而判断出每个图像的优劣顺序,并给出相应的评价值。通常,相对评价采用单刺激连续质量评价方法,将一批待评价图像按照一定的序列播放,此时观察者在观看图像的同时给出待评图像相应的评价分值。相对于主观绝对评价,主观相对评价也规定了相应的评分制度,称为“群优度尺度”。也是5分制。
**图像质量的客观评价 **
图像质量客观评价可分为全参考(Full-Reference,FR),部分参考(Reduced-Reference,RR)和无参考(No-Reference,NR)三种类型。
图像质量客观评价方法是指脱离人的主观意识判断,主要通过函数拟合或者机器学习的方法来建立一个模型,对待评图像进行相关的处理运算,得到图像的评价值。
而优秀的图像质量算法应该具有三个特点:与人眼感知相符、具有通用性、结果具有单调性、稳定性。
一、全参考图像质量评估
指在选择理想图像作为参考图像的情况下,比较待评图像与参考图像之间的差异,分析待评图像的失真程度,从而得到待评图像的质量评估。常用的全参考图像质量客观评价主要以像素统计、信息论、结构信息三方面为基础。
1. 基于图像像素统计
基于图像像素统计基础,峰值信噪比(PSNR)和均方误差(MSE)是常见的评估方法。它门通过计算待评测图像和参考图像对应像素点灰度值之间的差异,从统计角度来衡量待评图像的质量优劣。
(1) PSNR
PSNR(Peak Signal to Noise Ratio)峰值信噪比,是最普遍和使用最为广泛的一种图像客观评价指标,然而它是基于对应像素点间的误差,即基于误差敏感的图像质量评价。PSNR一般是用于最大值信号和背景噪音之间的一个工程项目。通常在经过影像压缩之后,通常输出的影像都会在某种程度与原始影像不同。为了衡量经过处理后的影像品质,我们通常会参考PSNR值来衡量某个处理程序能否令人满意。
PSNR值越大,表明待评测图像与参考图像之间的失真较小,图像质量较好。

(2)MSE
用真实值-预测值 然后平方之后求和平均。
MSE与PSNR都是通过计算待评图像与参考图像之间的像素误差的全局大小来衡量图像质量好坏的。而MSE的值越小,表明图像质量越好。

(3) 相关的其他评估公式
MSE:Mean Squared Error
均方误差是指参数的估计值与参数的真实值之差的平方的期望。MSE可以评价数据的变化程度,MSE越小,说明模型的拟合实验数据能力强。

RMSE:Root Mean Squared Error
根均方误差:均方误差的算术平方根。

MAE: Mean Absolute Error
平均绝对误差:样本绝对误差的绝对值。平均绝对误差能更好的反映预测值误差的实际情况。

其中,
表示预测值,
表示真实值。
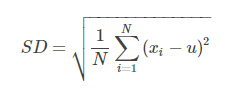
SD: Standard Deviation
标准差:标准差是方差的算术平方根,标准差反映了数据集的离散程度。均值相同的两组数据,标准差不一定相同。

u表示平均值
2. 基于信息论中信息熵
基于信息论中信息熵基础,互信息被广泛用来评价图像质量。一些研究者提出了信息保真度准则(Information Fidelity Criterion,IFC)和视觉信息保真度(Visual Information Fidelity,VIF)两种算法。
它们通过计算待评测图像与参考图像之间的互信息来衡量待评图像的质量优劣。但这类方法对于图像的结构信息没有反应。
3. 基于结构信息基础
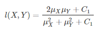
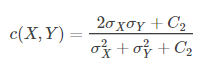
一些学者提出了一种符合人眼视觉系统特性的图像质量客观评判标准——结构相似性度量(Structure Similaruty, SSIM)。
SSIM 分别从亮度、对比度、结构三方面度量图像相似性。



C1、C2、C3为常数,为了避免分母为0的情况,通常取C1=(K1∗L)2, C2=(K2∗L)2, C3=C22, 一般地K1=0.01, K2=0.03, L=255 则

SSIM的取值范围[0,1],SSIM值越大,失真图像质量越好。
SSIM的特殊形式如下:

平均结构相似度算法(MSSIM),基于SSIM改进的一种算法,把原始图像和失真图像分成相同的小块,分别求SSIM,然后再求出整幅图的相似度,MSSIM值越大,失真图像质量越好。
4. 基于人类视觉系统(HSV) 的图像质量评价方法
基于人类视觉系统(HSV)的图像质量评价方法,这种方法提高了客观质量评价方法与主观评价方法的一致性。
二、部分参考图像质量评估
以理想图像的部分特征信息作为参考,对待评图像进行比较分析,从而得到图像质量评价结果。部分参考方法可分为基于原始图像特征方法、基于数字水印方法和基于Wavelet域统计模型的方法等。部分图像参考的重点和难点在于寻找合适的特征信息。
因为部分参考质量评价依赖于图像的部分特征,与图像整体相比而言,数据量下降了很多,目前应用比较集中在图像传输系统中。
三、无参考图像质量评估
无参考方法也称为盲图像质量评价(BIQA),无参考图像评价方法实现比较复杂,但因为一般的理想图像很难获得,所以这类方法偏重于实际应用。
一般而言,无参考图像质量评价方法首先对理想图像的特征作出某种假设,再为该假设建立相应的数学分析模型,最后通过计算待评图像在该模型下的表现特征,从而得到图像的质量评价结果。
1. 均值
均值是指图像像素的平均值,它反映了图像的平均亮度,平均亮度越大,图像质量越好。
设待评价图像为F,大小为M×N,其均值计算公式为:

2. 标准差
标准差是指图像像素灰度值相对于均值的离散程度。如果标准差越大,表明图像中灰度级分别越分散,图像质量也就越好,
计算公式如下:

3. 平均梯度
平均梯度能反映图像中细节反差和纹理变换,它在一定程度上反映了图像的清晰程度。
计算公式如下:

4. 熵
熵是指图像的平均信息量,它从信息论的角度衡量图像中信息的多少,图像中的信息熵越大,说明图像包含的信息越多。
假设图像中各个像素点的灰度值之间是相互独立的,图像的灰度分布为p={p1,p2,…,pi,…,pn},其中pi表示灰度值为i的像素个数与图像总像素个数之比,而n为灰度级总数,其计算公式为:

其中,P(l)为灰度值l在图像中出现的概率,L为图像的灰度级,对于256灰度等级的图像而言,L=255。
参考链接:<>
参考链接:<>
参考链接:https://www.jianshu.com/p/e11539734510
参考链接:<>
参考链接:https://www.cnblogs.com/libai123456/p/9622484.html
参考链接:<>
