(脑肿瘤分割笔记:十七)基于分级Dice Loss的精细全卷积神经网络的脑肿瘤分割
Title: Brain tumor segmentation using improved fully convolutional neural networks and the hierarchical dice loss
目录
Abstract(摘要)
Method(方法)
FCNN结构
多级损失函数
Abstract(摘要)
本文对其进行了系统性的优化调整以显著提升模型在脑肿瘤分割任务中的性能水平,并在此基础上增加了各卷积层之间的连接关系同时扩大小样本解码器并优化浅层特征重用策略以进一步提升模型性能。除了优化网络架构之外本文还提出了一个新的分级Dice Loss分类器该方法通过将多分类任务分解为多个二分类子任务来处理从而有效抵消数据集存在的类别不平衡问题。
四种脑肿瘤影像模态的特性中包括以下几点:其一为T1加权序列,在分析脑肿瘤结构方面具有简便的操作流程。然而,在提取可靠的特征信息方面存在一定局限性:尽管该方法操作便捷,在实际应用中由于成像效果欠佳而难以提取可靠的特征信息。
2)对比增强T1加权:在边界区域明亮,易于区分肿瘤和囊变区域
3)在T2加权成像中,水肿区域最为明亮;然而,在区分脑脊液像素和肿瘤像素方面存在一定的难度。
4)液体衰减恢复脉冲(FLAIR):这个成像模态水肿区域边界明显
本文深入分析了网络结构中的上采样与下采样路径优化方案,在基础FCNN模型中引入了多种改进措施。除了上述提到的两种设计策略外,在现有架构基础上还提出了另一种创新性设计——多分支网络体系架构(MFBNet)。该体系通过引入多条信息传递通道实现了特征提取能力的显著提升,在保证模型性能的同时降低了计算复杂度。实验结果表明该方法较传统方案提升了约15%的推理速度且降低了约8%的分类误差率。
Method(方法)
该文章首先阐述了网络结构的优化方案,在第二部分中我们采用了多种新的损失函数进行实验研究。这些新方法包括自举损失模型、经典的Dice Loss算法以及结合灵敏度特异性的新型损失函数。通过深入分析这些技术特点,在第四部分我们成功构造了一个基于4个目标分类间包含关系启发而形成的分层Dice Loss作为新的损失函数。
FCNN结构
使用的结构包括VGG,UNet等各种变体
1)VGG16+跳跃连接
该网络未搭建三层全连接层时,在经过附加样本层处理后实现了特征图生成,并通过使用具有1×1内核的卷积模块达到了相应的效果;同时,在各上采样层级特征图之间建立了直接连接以促进信息融合。
2)U-Net
UNet是医学图像分割中最经典的分割架构,这里不再叙述。
3)ResNet50+跳跃连接
该网络被提出专为解决针对深度过深的CNN模型中出现的梯度消失与梯度爆炸问题而设计。
4)ResUnet
该网络将残差核进一步应用于UNet架构中,并替代其中原有的卷积层配置。具体而言,在每个编码器与解码器之间设置一个包含两个连续卷积层的残差堆栈结构。值得注意的是,在这些堆栈内部的相邻卷积激活层之间,并非仅存在简单的连接关系,在其间加入了批量归一化操作以提升模型性能。
多级损失函数
基于每个最初标记的像素点,并通过Softmax函数进行计算,并采用常规交叉熵损失函数构建5个分类器;其数学表达式定义为

但是这5类很不平衡,大多数像素损失较低
为了减轻这种严重的类别不平衡问题的影响,最直接的办法就是对每个类别赋予不同的权重(即赋予权重较低的类别更高的权重),并且所有这些权重之和必须等于1;其对应的公式表示为

这种方法的难点在于如何合理分配各类别权重,若选择不当会导致资源分配失衡
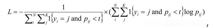
3)自举损失:这个损失函数是丢弃最差的像素进行训练,公式如下

在公式中所述的变量t被视为一个临界点,在满足特定条件时该表达式的计算结果将取值为1;如果未满足,则取值为0。
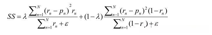
4)sensitivity-specificity loss:sensitivity and specificity are key metrics for evaluating segmentation results, achieved by minimizing the weighted sum of sensitivity and specificity, which are incorporated into the loss function, represented as

其中r是1或0的标签,P是概率,λ是平衡这两个分量的权重
5)Dice Loss,使用Dice Loss代替4)的效果更好

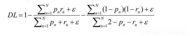
6)总分类 Dice Loss
- 和5)都可以在一定程度上平衡数据集。Dice Loss被设计用于二进制分类问题,因此我们计划将多重分类任务转换为多个二元分类问题。
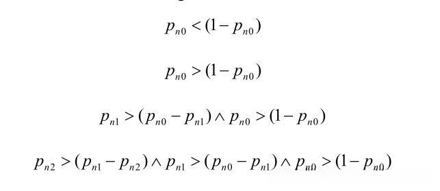
该分类任务层将发展出一系列具有包含关系的类别,并继承FCNN原有的5个输出通道设计;随后将这五个标记类的概率值相加,并计算出三个目标概率值(P₀, P₁, P₂),其中P₀代表整个肿瘤区域的概率总和(即标签1-4区域的概率之和),P₁代表肿瘤核心区域的概率总和(即标签1、3、4区域的概率之和),而P₂则代表增强肿瘤区域的概率值;具体而言,在这一过程中会采用Softmax激活函数对各通道输出进行归一化处理以获得最终结果

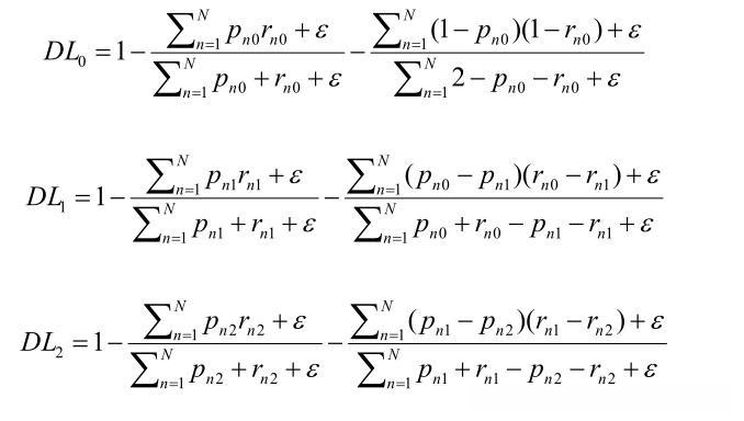
基于以下4个公式,在某个像素点的三个概率基础上识别出非肿瘤区域、完整肿瘤区域、 tumor core区域以及强化 tumor 区域。

则最终总的分级损失函数为

