srcnn 双三次插值_用于数字成像的双三次插值技术

双三次插值 被定义为主采用基于三次或更高次多项式的二维方法,并常用于锐化和放大数字图像。该方法也常见于在图像处理过程中完成放缩操作,在软件中进行润饰和编辑时也很常用。当我们对图像进行插值操作时,实际上实现的是将像素从原始网格转换至目标网格。
共两种主要的插值算法:根据内容调整(自适应)与统一处理(非自适应)。其中的自适应方法基于所处理的内容进行调整与优化;而非自适应回避考虑具体内容而采用一致性的处理方式。在专业图像处理软件领域(如Photozoom Pro和Adobe Photoshop等)普遍采用了这类算法进行图像增强与细节恢复操作。非自适应回包括最近邻点取样法、双线性插值法以及双三次插值法等多种经典方案。通常而言,在实现过程中双三次插值常采用Lagrange多项式拟合、三次样条曲线构造或基于卷积运算的方法完成这一复杂度较高的插值过程
在插值过程中, 我们通过已知数据推断出未知数值。当使用DSLR相机以16 MP分辨率拍摄时, 根据成像方向的不同, 已知数据对应于4928 x 3264像素矩阵(或其转置)。在需要放大图像的情况下, 我们依据邻近像素的数值来估算新增像素的近似值。例如, 如果将原本为6000 x 4000像素的图片扩大至24 MP分辨率, 将会添加超过8 MP的新细节信息。
由于我们要增加而不是去除像素以实现图像放大效果的原因是可能导致细节丢失的问题存在
考虑以下网格。

这个区域由一个4x4的正方形构成...其中每个小正方形代表一个像素。整个区域总计包含25个像素...这些黑点标记了需要进行插值的数据点...它们共计有25个位置。与之对应的颜色数值则表示各自的位置函数值...值得注意的是该方法的优势在于几乎消除图像伪影现象的同时实现了更为平滑的重采样过程。因此在质量优先的情况下三次立方插值通常是最佳选择。然而由于处理时间的关系在实际应用中我们通常会优先选择双线性插值方法这能够较为高效地完成重采样任务但在质量要求较高的场合下我们可以采用更为精确的三次立方插值算法以获得更好的效果。

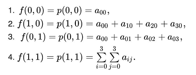
(0,0)、(1,0)、(0,1)、(1,1)这是单位正方形的4个角。可以表示为以下内容:

为了确定变量p(x,y)中的16个系数参数,在此过程中不仅包含了基础计算公式还涉及其他关键步骤这一过程涉及从网格节点提取p(x,y)函数的具体数值并通过插值算法估算其邻域区域内的函数变化情况其原因在于通过插值方法构建二维图像曲面
无需编写代码的情况下,默认可以选择使用功能完善的软件来完成图片编辑工作。在Photoshop执行重采样操作时,默认会采用双三次插值技术。从菜单中:
Image -> Image Size
AI写代码
我们观察到一个对话框,在此界面中可以设置所需的重采样参数设置。如果不需要高质量的输出,则可以选择双线性插值和最近邻算法来实现更快的缩放效果

Photoshop中的图像重采样大小对话框(来源Adobe Creative Cloud)
我们可以调整像素数量但它也存在一些限制。双三次插值通常表现出色但在处理高于24 MP(兆像素)的超分辨率图像时可能会导致性能下降这是因为随着像素数量增加需要保留的细节也随之增多该算法本质上无法完全保留原始图像的所有细节信息
通常情况下,在进行图像处理时会采用压缩后的JPEG格式文件。
双三次插值不仅被广泛应用于图像缩放,在视频显示领域也有着重要的应用价值。然而,在性能上相比其他二维技术而言确实存在一定的不足之处。过冲现象(即光晕效应)、边缘模糊、伪影效果以及锐度损失等常见缺陷偶尔会出现。这也就解释了为何反复运用三次插值算法往往无法达到预期效果。目前,在图像超分辨率领域中逐渐涌现出了诸如SRCNN(超分辨率卷积神经网络)或SRGAN(超分辨率生成对抗网络)之类的先进技术和方法,在保持图像清晰度方面表现更为卓越。
