多目标追踪——【两阶段】BoT-SORT: Robust Associations Multi-Pedestrian Tracking
发布时间
阅读量:
阅读量
目录
- 文章侧重点
- 流程框架
- 运动模型
-
- 卡尔曼滤波模型
- 相机建模
文章链接:BoT-SORT: 精确关联多人群体跟踪访问权限码:qqzd
代码链接:https://github.com/NirAharon/BOT-SORT
文章侧重点
以上改写遵循以下原则
- 本文的主要创新点在于将相机运动与卡尔曼滤波技术进行了有机融合,并在此基础上对基于匀速运动假设的传统卡尔曼滤波模型进行了改进:具体而言,在原有框架中引入了边界框点间的相关性作为新的状态变量,并成功地将其纳入到经典的卡尔曼滤波更新方程体系中完成了系统的优化和重构
流程框架

运动模型
卡尔曼滤波模型
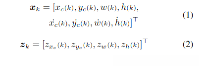
- 状态变量修改如下:

x_k代表了目标的真实状态变量(不可直接观测到,并且基于预测的状态变量\dot{x}_k进行逼近),而 z_k则代表了目标的观测结果(即检测器输出中的候选框)。
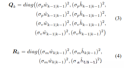
因状态变量的变化而引起,在传递环节中的噪声项Q_k和预测阶段中的噪声项R_k也会相应地发生变化。

相机建模
应用相邻两帧的全局的相机补偿建模相机运动。
- 提取图片中特征点,应用稀疏光流,生成仿射变换A_{k-1}^k矩阵。该仿射矩阵用于将k-1帧中的预测的边界框映射到k帧,补偿相机运动造成的全局偏移。
- 卡尔曼滤波的参数预测步骤如下:

- 卡尔曼滤波的参数更新步骤如下:

全部评论 (0)
还没有任何评论哟~
