《信息论与编码》曹雪虹
信息论是研究信息处理、编码、传输和解码的数学基础。1948年,香农的《通信的数学理论》奠定了信息论的框架,提出信息率和信道容量的概念。信息论的核心在于通过数学方法优化信息处理过程,确保高效、可靠地传输信息。
信息论的基本概念包括熵、互信息、信道容量等。熵衡量了信息的不确定性,是信息量的期望值。互信息表示信源和信道的效率,信道容量是信道中最大的互信息值。这些概念在通信、数据压缩和密码学等领域有广泛应用。
信息论分为离散和连续部分。离散信源的熵计算基于概率分布,连续信源的熵基于概率密度函数。熵具有非负性、确定性和最大熵定理等性质。这些性质在信源编码定理中被应用,确保编码效率。
信源编码定理分为无失真和限失真两种情况。无失真编码定理要求码字平均长度满足熵的条件,而限失真编码定理允许一定失真,通过优化编码降低信息率需求。这些定理为编码和解码提供了理论基础。
限失真编码定理通过失真函数和信息率失真函数R(D)描述了在允许失真情况下的编码效率。R(D)函数在失真域内是下凸的,且随着失真增加,信息率减小。这些理论为实际应用提供了指导,如图像和音频压缩。
信息论的理论不仅推动了现代通信技术的发展,还影响了数据存储、密码学和生物医学等领域的技术进步。其核心在于通过数学优化,实现高效、可靠的信息处理。
目录
- 第一章 绪论
-
- 1.1信息论的形成和发展
- 1.2 通信系统的模型
第二章 信息论基础
2.1 信源的描述与分类
2.2 离散信源的熵与互信息
2.3 连续信源的熵与互信息
2.4 离散序列信源的熵
2.5 信源冗余度
第三章 无失真信源编码
3.1 编码的定义
3.2 定长编码定理
3.3 变长编码定理
3.4 最佳编码
第四章 限失真信源编码
4.1 平均失真与信息率失真函数
4.2 离散和连续信源的R(D)计算
4.3 限失真信源编码定理
第一章 绪论
1.1信息论的形成和发展
通信系统的核心任务就是在噪声干扰下,系统性地研究和解决如何确保信息传输的准确无误,同时在干扰存在的情况下,实现信息的稳定可靠传输。通过编码等技术手段,系统性地研究和解决通信系统中的各种问题。
信息率失真理论是数据压缩的数学基础。
从信息论和控制论的角度来看,在通信和控制系统中信息的传递本质是信息,而信号则是其具体的载体。信息储存在信号之中,信号则是信息的物理体现。当信号到达接收端(信息论中称为信宿)时,经过处理后会转化为文字、声音或图像等形式,供人们提取和利用。在接收端,面对含噪声的信号,通过一系列处理和变换,最终实现有用信息的提取,这一过程被称为信息提取。信息提取的方法主要包括检测和估计两类。那些能够携带、传输、存储和处理信息的信号统称为数据。
1.2 通信系统的模型

信源编码器:将信源输出的消息转换为由二进制码元(多进制码元)构成的代码组,即基带信号。同时,该装置还具有冗余度压缩功能,以提高信息传输效率。(无失真信源编码和限失真编码)
信源译码器:作为信源编码器的逆向工作装置。
信道编码器:在信源编码器输出的代码组中添加用于检错或纠错的监督码元。(调制解调和纠错检错编译码)
信道译码器:作为信道编码器的逆向工作装置。
第二章 信源及信息熵
2.1 信源的描述和分类
离散信源:时间与幅度均为离散分布,如文字、数字、数据等。
连续信源:时间与幅度皆为连续分布,如语言、图像、图形等。
离散信源进一步划分为:

2.2 离散信源熵和互信息
自信息量:

底数为2时,单位为bit;底数为e时,单位为nat;底数为10时,单位为det。


随机事件的不确定度(属性)在数值上等于其自信息量的数值表现,两者在单位上一致,但意义各不相同。
联合自信息量:

如果xy独立,则

因此,

如果xy不独立,可用条件自信息量:

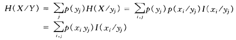
熵(平均自信息量的数值、信源的平均不确定性):单位为bit/symbol


条件熵:
给定yi(已知yi后,X的不确定度):

给定Y(各个yi)(已知各个yi后,X的不确定度):

给定X(各个xi)(已知各个xi后,Y的不确定度):

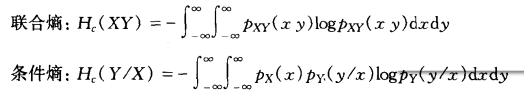
联合熵(表示XY同时发生的不确定度):

关系:

互信息(定义为后验概率与先验概率的比值的对数):

X与yi间的互信息:

平均互信息(收到Y后能获得的X的信息):

关系:


三个事件 ,xyz:


熵的性质:
1.非负性
2.对称性
3.确定性
4.香农辅助定理
对于两个概论分布pi和qi,如下等式成立:

即,对于任意概率分布π,它对其他概率分布q的自信息量-log q取其数学期望时,一定大于等于π本身的熵。仅当P等于Q时,等号成立。这可以通过差值来判断分布是否相同(相对熵/KL散度 )。
5.最大熵定理
只有等概率时,熵最大。
6.条件熵 <无条件熵
例题:


2.3 连续信源的熵和互信息
连续信源熵(有相对意义,而不是绝对值):

此外,

最大熵定理
为了求解连续信源的最大熵定理,需要进行限制。
限峰功率的最大熵定理:(输入符号的幅度限制在区间[a,b]内)当输入符号服从均匀分布时,能够达到最大熵值。
限平均功率的最大熵定理:对于具有固定相关性的输入符号X,当其服从正态分布时,能够达到最大熵值。
(可以证明,在正态分布情况下,熵(相对熵)仅与方差有关。这也是为什么噪声设计为高斯白噪声 的原因,由于高斯白噪声是信道中噪声功率最大的情况。)
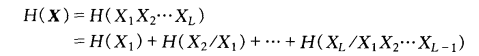
2.4 离散序列信源的熵
通常情况下消息不是单个符号,而是离散序列的形式:

当无记忆时,序列熵变为:

平均每个符号熵为,即每个符号的符号熵等于单个符号信源的符号熵H(X)。

当有记忆时,序列熵变为:

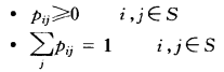
当平稳信源且满足m阶马尔科夫性质时,分析状态转移概率,特别地,关注一步状态转移概率:

满足:

可写为矩阵形式(转移矩阵):

注意:只有每行和为1,对于列不成立。
对于k步的转移概率为:


放到矩阵上(比较好理解):

但是求这种信源的熵(马氏链,平稳信源),需要求出稳定分布的概率:

这里的Wj就是经过无数步后达到 j 的稳等概率,可以列方程求解:



为了使马氏链最终达到稳定状态,成为遍历的马氏链过程,需要具备不可约性和非周期性这两个条件。
不可约性定义:对于任意两个状态,都存在一条路径可以连接它们。作为反例,我们可以构造一个可约的马尔可夫链,其中存在两个状态无法相互转移。

非周期性:对于所有状态i,状态i返回自身需要经过n步转移,其中n的取值没有共同的大于1的公约数,从而保证了系统的非周期性。

上图中的S1返回S1的步数依次为2、4、6等,其最大公约数为2,由此可知周期为2。由于呈现周期性特征,该系统无法达到稳定状态,在周期过程中的每一个特定步数都对应着一个稳态。
具有不可约性和非周期性的马氏链:

通过建立方程组即可求解,其稳定分布的概率为{1/2,1/2},由此可知,该马氏链具有遍历性(无论从哪个状态出发,经过足够多的转移步骤后,转移概率趋于常数,即达到稳态分布)。最终,这种信源的熵值为(平稳的马尔科夫信源):


也就是上面提及的Wi。

例题:

2.5 冗余度
冗余度(信息冗余度/剩余度),这与信源符号间的相关程度和信源符号分布的不均匀程度有关。当信源输出符号间彼此独立无关且处于等概率分布状态时,信源实际熵达到最大熵H0(X)。
信息效率:(信息的不确定性水平,所需传输的信息量与实际传输的信息量之比,实际传输的信息量必然包含冗余信息,其总量超过所需传输的信息量)


冗余度(肯定性的程度):

第三章 无失真信源编码
无失真地进行信源编码的定理被称为第一极限定理;
信道编码定理,其中涉及离散和连续信道的情况被称为第二极限定理;
限失真地进行信源编码的定理被称为第三极限定理。
信源编码的核心任务在于消除冗余信息 ,因此,主要方法分为两类:一类是减少冗余内容 ,另一类是实现概率均等化 。
3.1 编码的定义

分组码(块码):符号序列Xi通过固定码表映射至码字Yi。例如,上表中码1、2、3、4均为分组码。定长码与不定长码:上表中的例子均为不定长码。非奇异码:信源符号与码字之间存在一一对应关系。例如,码2、3、4属于非奇异码;反之,码1则属于奇异码(我的理解是会产生歧义)。例如,码1会产生歧义。唯一可译码:码元序列能够被唯一地分割。例如{0,10,11}、码3、4均为唯一可译码。显然,奇异码不是唯一可译码,非奇异码中既有非唯一可译码(如码2),也有唯一可译码(如码3、4)。唯一可译码又可分为:非即时码、即时码(异前缀码)。可以不可以即时译码。例如,码3、4分别对应。

码树:用来表示码字的构成。

r进制编码树中,n级节点的数量为r的n次方。
当指定某个n级节点作为终端节点时,它代表一个信源符号,即,所有从树根到终端节点的路径都是独一无二的,这限制了前缀码的使用,从而形成了即时码。
满树结构,如图(a),所构造的码为树码,属于定长码。而非满树结构,如图(b),则生成非定长码。
对于唯一可译码的充分必要条件,各码字长度Ki必须满足克劳夫特不等式(该不等式仅能说明存在这样的码)。

其中,m是进制数,n是信源符号数。
例子:

3.2 定长编码定理
定长编码定理:对于无记忆平稳信源符号序列

每个符号的熵为

,可用KL个符号进行定长编码 ,每个符号有m种可能值,理解为m进制,{0,1,2,…,m-1}。

只要:

当L足够大时,可以使得译码差错降至极小,从而几乎无失真。取等于时,恰好处在临界状态,可能出现有失真或无失真两种情况。


此定义为平均信息率,即每个信源符号所需的平均编码长度。

编码效率:这可以理解为:当码字的信息量超过信源序列的信息量时,传输几乎无失真。条件是当L足够大。

那L多大呢?例子来说明:

而连续信源仅限于进行定长编码。
通常情况下,当编码块长L有限时,传输效率较高的固定长度的编码方案必然引入失真和误码(即无法实现无失真编码),这与变长编码的无失真特性相比较为有限。
3.3 变长编码定理
单个符号变长编码定理:
离散无记忆信源的符号熵为H(X),每个信源符号用m进制码元进行变长编码,则存在无失真编码方案,其码字平均长度K满足(可以将logm乘过来,转化为H(X)+logm>K* logm≥H(X),信源信息量与码字信息量之和大于等于码字信息量):
信源信息量与码字信息量之和大于等于码字信息量。

离散平稳无记忆序列变长编码定理:
平均符号熵

,必存在一种无失真编码,平均信息率K-满足:

可以由上式,推导:

那L多长呢?

且,对于例3-2-1:

上两个小节的关键理解:



3.4 最佳编码
最佳码:码字平均长度较短,可分可变长的编码方式。(香农码、费诺编码、Huffman编码)
香农编码:香农编码采用的每个码字长度Ki满足:

为香农编码。
方法:


费诺编码:(并非最优编码方案,其平均码长较香农编码为短,但传输速率较高,编码效率亦有提升。)
编码方案:(非最佳选择,相较于香农编码,其平均码长较短,传输效率和速率均有所提升。)
编码方案:(并非最优编码方案,其平均码长较香农编码为短,传输速率较高,编码效率亦有提升。)

Huffman编码:

然而,Huffman编码的不唯一性是可以得到码方差最小的码(唯一性),进而减少合并次数,充分利用短码的优势。例如:


第四章 限失真信源编码
本节将介绍平均失真和信息率失真函数的定义及其在信息论中的应用。
失真函数:信源xi,信源编码后yi,一般失真函数定义为:


此为失真矩阵。
失真函数的形式:

平均失真:
失真函数的数学期望:

率失真函数R(D)定义为:在满足平均失真约束D的条件下,允许的信道集合PD中,确定转移概率矩阵pij,使得经过该信道传输后的互信息量达到最小。这一定义意味着,当失真水平小于D时,为了达到传输目标,所需的最小信息率由R(D)给出,其值即为该函数在D处的输出。

对于离散无记忆信源:

R(D)的定义域:
D是数学期望,非负。
若D=0,则相当于无损信道:


其中,最大值:

例题:

R(D)具有下凸性和连续性。
R(D)的单调递增特性表明,允许的失真度越大,所需的信息率越低(压缩越剧烈)。

4.2 离散信源和连续信源的R(D)计算
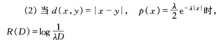
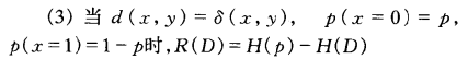
给定信源概率pi和失真函数dij,可以求得信源的R(D)函数。然而,其表达式通常较为复杂。在某些特殊情况下,R(D)的表达式为:



上面三个R(D)函数如图:

其中,Dmax分别为

对于第一个,Dmax的情况是信息完全丢失,即无论x取何值,y只能取1或0。此时的平均失真D-即为方差。
4.3 限失真信源编码定理
对于离散无记忆信源X,基于信息率R和R(D)函数之间的关系,我们可以判断是否存在一种编码方法,使得失真值不超过D+e,其中e为任意小的正数。当信息率R大于R(D)时,只要信源序列的长度L足够大,就可以存在这样的编码方法。反之,如果R小于或等于R(D),则不存在这样的编码方法。
