一文速学数模-时序预测模型(一)灰色预测一文详解+Python实例代码_灰色关联度时序预测
对原始数据列
做一次累加(AGO)生成数列
:

其中:

对应的微分方程为:(a为发展系数,u为灰作用量)

3.系数求解
接下来就到了最关键的一部,想要求解上述微分方程:

就必须解出系数a和b,让微分方程的解与真实的已知数据最接近。函数表达式的 参数a和u未知,而变量t和x^(1)的数值已知 ,这种问题就要用最小二乘法 ,通过最小化误差的平方和求得最佳的参数a和b。
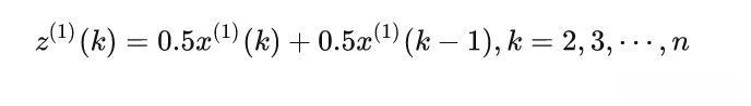
1、数据是离散的而不是连续的,所以:
写作
2.根据累加生成序列公式可知:

3.由1和2可得到

4.移项得:

5、式子左边是已知数据,右边就是含有未知数的函数,此时就可用最小二乘法求出参数a和u
对于最小二乘法的求解在我的一篇文章有详细描述:
这里就不再展开描述求解过程,仅对于计算后的结果构成:
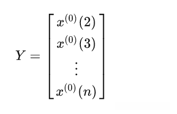
数据矩阵
:

数据向量
:

其中
为加权平均值:

计算系数
(最小二乘法):

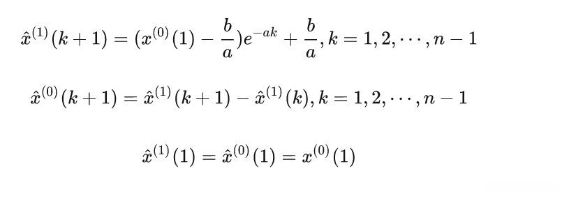
对前面的微分方程求解可得:

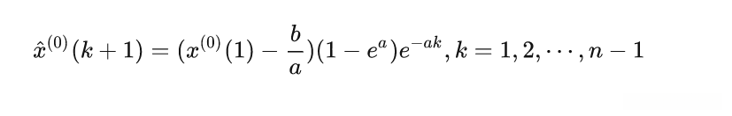
由上面三式可得:(最终结果)

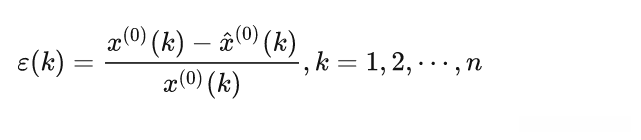
4.残差检验与级比偏差检验
残差检验
:

如果
<0.2,,则可认为达到一般要求;如果
<0.1,则认为达到较高的要求。
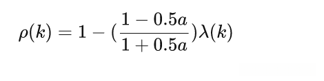
级比偏差检验
:

如果
,则可认为达到一般要求;如果
,则认为达到较高的要求。
四、Python实例实现

我们通过得到的周数拥堵车辆数据进行测试:
import numpy as np
import pandas as pd
from decimal import *
import matplotlib.pyplot as plt
def Grade_ratio_test(X0):
lambds = [X0[i - 1] / X0[i] for i in range(1, len(X0))]
X_min = np.e ** (-2 / (len(X0) + 1))
X_max = np.e ** (2 / (len(X0) + 1))
for lambd in lambds:
if lambd < X_min or lambd > X_max:
print('该数据未通过级比检验')
return False
print('该数据通过级比检验')
return True
def model_train(X0_train):
#AGO生成序列X1
X1 = X0_train.cumsum()
Z= (np.array([-0.5 * (X1[k - 1] + X1[k]) for k in range(1, len(X1))])).reshape(len(X1) - 1, 1)
# 数据矩阵A、B
A = (X0_train[1:]).reshape(len(Z), 1)
B = np.hstack((Z, np.ones(len(Z)).reshape(len(Z), 1)))
# 求灰参数
a, u = np.linalg.inv(np.matmul(B.T, B)).dot(B.T).dot(A)
u = Decimal(u[0])
a = Decimal(a[0])
print("灰参数a:", a, ",灰参数u:", u)
return u,a
def model_predict(u,a,k,X0):
predict_function =lambda k: (Decimal(X0[0]) - u / a) * np.exp(-a * k) + u / a
X1_hat = [float(predict_function(k)) for k in range(k)]
X0_hat = np.diff(X1_hat)
X0_hat = np.hstack((X1_hat[0], X0_hat))
return X0_hat
'''
根据后验差比及小误差概率判断预测结果
:param X0_hat: 预测结果
:return:
'''
def result_evaluate(X0_hat,X0):
S1 = np.std(X0, ddof=1) # 原始数据样本标准差
S2 = np.std(X0 - X0_hat, ddof=1) # 残差数据样本标准差
C = S2 / S1 # 后验差比
Pe = np.mean(X0 - X0_hat)
temp = np.abs((X0 - X0_hat - Pe)) < 0.6745 * S1
p = np.count_nonzero(temp) / len(X0) # 计算小误差概率
print("原数据样本标准差:", S1)
print("残差样本标准差:", S2)
print("后验差比:", C)
print("小误差概率p:", p)
if __name__ == '__main__':
plt.rcParams['font.sans-serif'] = ['SimHei'] # 步骤一(替换sans-serif字体)
plt.rcParams['axes.unicode_minus'] = False # 步骤二(解决坐标轴负数的负号显示问题)
# 原始数据X
data = pd.read_excel('./siwei_day_traffic.xlsx')
X=data[data['week_day']=='周五'].jam_num[:5].astype(float).values
print(X)
# 训练集
X_train = X[:int(len(X) * 0.7)]
# 测试集
X_test = X[int(len(X) * 0.7):]
Grade_ratio_test(X_train) # 判断模型可行性
a,u=model_train(X_train) # 训练
Y_pred = model_predict(a,u,len(X),X) # 预测
Y_train_pred = Y_pred[:len(X_train)]
Y_test_pred = Y_pred[len(X_train):]
score_test = result_evaluate(Y_test_pred, X_test) # 评估
# 可视化
plt.grid()
plt.plot(np.arange(len(X_train)), X_train, '->')
plt.plot(np.arange(len(X_train)), Y_train_pred, '-o')
plt.legend(['负荷实际值', '灰色预测模型预测值'])
plt.title('训练集')
plt.show()
plt.grid()
plt.plot(np.arange(len(X_test)), X_test, '->')
plt.plot(np.arange(len(X_test)), Y_test_pred, '-o')
plt.legend(['负荷实际值', '灰色预测模型预测值'])
plt.title('测试集')
plt.show()
> [115394. 120416. 97759. 113309. 98603.]
> rho: [1.0435204603358927, 0.41456681226411096]
> rho_ratio: [0.3972771287404067]
> 数据通过光滑校验
> 该数据通过级比检验
> 灰参数a: 0.20769565715594995314319248791434802114963531494140625 ,灰参数u: 156887.7727878994191996753215789794921875
> 原数据样本标准差: 10398.712324129368
> 残差样本标准差: 107.91252463173271
> 后验差比: 0.01037748918020652
> 小误差概率p: 1.0
>
>
>
>
>
>
>
>
>
>
>
>
>
>
>
>


网上学习资料一大堆,但如果学到的知识不成体系,遇到问题时只是浅尝辄止,不再深入研究,那么很难做到真正的技术提升。
一个人可以走的很快,但一群人才能走的更远!不论你是正从事IT行业的老鸟或是对IT行业感兴趣的新人,都欢迎加入我们的的圈子(技术交流、学习资源、职场吐槽、大厂内推、面试辅导),让我们一起学习成长!
4742600934)]
网上学习资料一大堆,但如果学到的知识不成体系,遇到问题时只是浅尝辄止,不再深入研究,那么很难做到真正的技术提升。
一个人可以走的很快,但一群人才能走的更远!不论你是正从事IT行业的老鸟或是对IT行业感兴趣的新人,都欢迎加入我们的的圈子(技术交流、学习资源、职场吐槽、大厂内推、面试辅导),让我们一起学习成长!
