【SEM】1 基本概念
【SEM】1 基本概念
2018-2020结构方程笔记整理
资料by扬帆老师
(1)结构方程概述
结构方程(SEM, Structual Equation modeling)是一种检验潜变量和观测变量之间关系 的假设的统计方法。
SEM框架下主要处理的两类变量:观测变量(observed variable)、潜变量(latent variable)
常见的观测变量:测试的分数、问卷的回答、其他数值材料……
常见的潜变量:
心理学——智力、抑郁、自尊心、饮酒行为、感受
社会学——社会阶层、职业期待、抱负、歧视
经济——经济预期、妇女赋权
商业——顾客满意度、顾客忠诚度
政治科学——工业发展程度、政治影响力
SEM可以:
1、研究测量值(measure)、被测量值之间的区别
2、研究潜变量,以及潜变量之间的关系
3、评价关于潜变量以及其测量值的理论模型
4、 对因果关系(causal relation)建模,以预测在一个复杂系统中,干预(interventions)如何产生影响
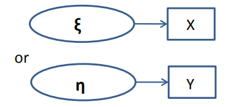
(2)图表语法
| 图形 | 含义 |
|---|---|
| 椭圆 | 潜变量、未观测到的变量 |
| 矩形 | 观测变量 |
| 连接两个变量的一个、单向、直箭头 | 因果关系,箭头尾导致箭头尖 |
| 连接两个变量的两个、单向、直箭头 | 反馈关系( feedback relation)或互为因果关系 |
| 连接两个变量的一个、双向、弯箭头 | 关联关系 |
(3)主要模型及符号含义
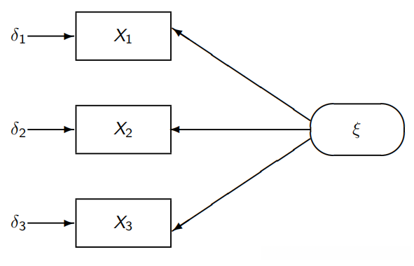
1、测量模型
x = \lambda_x\xi + \delta \\ y = \lambda_y\eta + \epsilon
假设E(\xi)=0,E(\eta) = 0,E(\delta)=0,E(\epsilon)=0,且\epsilon \neq \delta \neq \xi, \eta
方程中符号具体含义如下表

主要研究:观察变量x能否准确测量潜变量\xi,每个xi的可信度(应做“系数大小”理解?)
例子:
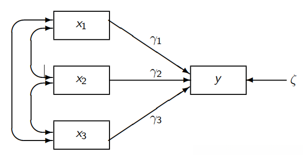
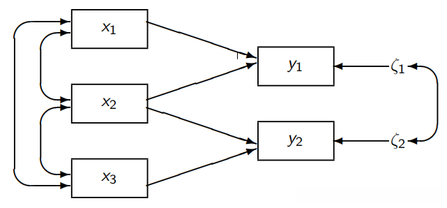
2、结构模型
\eta = B\eta+\Gamma\xi+\zeta
假设E(\eta)=0,E(\xi) = 0,E(\zeta)=0,且\zeta ,\xi不相关,(I-B)是非奇异阵
方程中符号具体含义如下表

主要研究:潜变量间的因果关系及其大小
例子:
latent endogenous variables-内生潜变量
latent exogenous variables-外生潜变量
(4)典型理论模型
1、一个潜变量对应一个观测变量

2、一个潜变量对应多个观测变量

3、潜变量之间存在因果关系

4、潜变量之间存在关联关系

例:“教育成就与期待模型”(Educational Achievement and Aspirations Model)的路径图(path diagram)
(5)关键环节
1、相关理论
- 概念
- 结构
- 形式化(Formalization)
2、基本问题
- 因果关系
- 模型构建:理论驱动or数据驱动
- 探索性分析or验证性分析
- 测量单位、标准化
- 尺度类型(Scale types)
3、统计相关问题
- 模型的规范化
- 模型和参数的识别
- 模型和参数的估计
- 模型的拟合和检验:评估拟合效果、检测未拟合部分(Detection of lack of fit)
- 检验关于结构的假设
4、计算相关问题
例子:计划行为理论(TPB)
- 理论模型
- Path diagram
(6)软件:LISREL
LISREL主要用于:
- 模型构建
- 精确估计和评估拟合效果
- 拟合和测试许多标准和非标准模型(non-standard models)
PRELIS主要用于:
- 处理数据:筛选、探索、摘要
- 计算:协方差矩阵、相关矩阵、动量矩阵(Moment matrix)、渐近协方差矩阵
(7)协方差代数
基本假设:H_0:\Sigma = \Sigma(\theta)
目的:选择合适的参数θ,使\Sigma(\theta)和样本协方差矩阵S尽量接近
\Sigma:方程中观测变量一侧对应的协方差阵,下三角
\theta:观测变量对应的向量
\Sigma(\theta):方程中潜变量一侧对应的协方差阵,下三角
例子:简单回归 y=\gamma x+z
\begin{gathered} \Sigma = \begin{pmatrix} var(y) & \\ cov(x, y) & var(x) \end{pmatrix} \end{gathered}\theta'=[\gamma,var(x),var(z)]
\begin{gathered} \Sigma(\theta) = \begin{pmatrix} \gamma^2 var(x) + var(z) & \\ \gamma var(x) & var(x) \end{pmatrix} \end{gathered}
当满足条件:
cov(x, y)=cov(x, \gamma x+z)=\gamma cov(x, x)+cov(x, z)=\gamma var(x),即cov(x, z)=0时,有\Sigma=\Sigma(\theta)
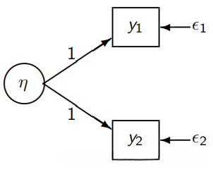
例子:简单因子分析
y1=\eta+\epsilon1,y2=\eta+\epsilon2
\begin{gathered} \begin{pmatrix} var(y1) & \\ cov(y1,y2) & var(y2) \end{pmatrix} = \begin{pmatrix} var(\eta) + var(\epsilon1) & \\ var(\eta) & var(\eta) + var(\epsilon2) \end{pmatrix} \end{gathered}
当满足条件:
cov(y1, y2)=cov(\eta+\epsilon1, \eta +\epsilon2)=cov(\eta, \eta)=var(\eta),即cov(x, z)=0 时,有\Sigma=\Sigma(\theta),即
cov(\eta,\epsilon1),cov(\eta,\epsilon2),cov(\epsilon1,\epsilon2)=0
例子:通用SEM模型
y=\gamma \xi+ \zeta,x1=\xi+\delta1,x2=\xi+\delta2
\begin{gathered} \Sigma= \begin{pmatrix} var(y) & & \\ cov(x1, y) & var(x1) & \\ cov(x2, y) & cov(x2, x1) & var(x2) \end{pmatrix} \end{gathered}\begin{gathered} \Sigma(\theta)= \begin{pmatrix} \gamma^2 var(\xi) + var(\zeta)& & \\ \gamma var(\xi) & var(\xi)+var(\delta1) & \\ \gamma var(\xi) & var(\xi) & var(\xi)+var(\delta2) \end{pmatrix} \end{gathered}
(8)观测变量模型
1、Multiple Regression:多个x影响一个y

2、Bivariate Regression:多个x影响一个y,且一个x影响多个y

3、Recursive System

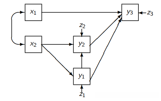
例子:工会情绪数据
y1 = 服从上级|deference (submissiveness) to managers
y2 = 支持劳工行动|support for labor activism
y3 = 对工会的情绪|sentiment towards unions
x1 = log(工作年份)|logarithm of years in textile mill
x2 = 年龄|age
SEM模型:
y1=\gamma12 x2+z1
y2=\beta21 y1+\gamma22 y2+z2
y3=\beta31 y1+\gamma32 y2+\gamma31 x1+z2
矩阵形式:
\begin{gathered} \begin{pmatrix} y1\\ y2\\ y3 \end{pmatrix}= \begin{pmatrix} 0&0&0 \\ \beta21&0&0 \\ \beta31&\beta32&0 \end{pmatrix} \begin{pmatrix} y1 \\ y2 \\ y3 \end{pmatrix}+ \begin{pmatrix} 0&\gamma12 \\ 0&\gamma22 \\ \gamma31&0 \end{pmatrix} \begin{pmatrix} x1 \\ x2 \end{pmatrix}+ \begin{pmatrix} z1 \\ z2 \\ z3 \end{pmatrix} \end{gathered}
y=By+\Gamma x+z
4、非递归系统










