图像处理--知识点整理
这一篇博文是对图像处理的知识点和资料的整理.
-
机器学习相关知识
-
聚类问题
- k-means
- GMM
-
分类问题
- svm
- 随机森林
- 神经网络
- 贝叶斯分类
-
回归问题
- 逻辑回归
- 线性回归
-
-
颜色空间及转换
-
特征提取
-
1 颜色特征
- 11 颜色直方图
- 12 颜色集
- 13 颜色矩
-
2 纹理特征
- 21 灰度共生矩阵
- 22 LBP
- 23 随机场模型
- 24 分型模型
- 25 Gabor滤波
- 26 小波变换
-
3 局部特征
- 31 Harris角点
- 32 Sift特征
- 33 Surf特征
-
4 其它特征
- 41 Hog特征
- 42 Haar特征
-
-
图像变换
- 1 滤波
- 2 边缘检测
- 3 霍夫变换
- 4 仿射变换
- 5 透视变换
-
图像分割
-
1 阈值分割
- 11 OTSU
- 12 最大熵
-
2 基于区域的分割
- 21 区域分裂合并法
- 22 分水岭方法
-
3 基于图论的分割方法
- 31 GrapyCut
- 32 GrabCut
- 33 Random Walk
-
-
第四章 基于能量泛函实现图像分割的方法
-
第五章 彩色图像分割技术
-
第五节一 边缘检测与区域生长相结合的技术
-
第五节二 颜色统计分析的基础方法之一
-
第五节三 均值位移算法
-
第五节四 K均值聚类算法用于图像分割的技术
-
图像增强与恢复
-
1 基于颜色直方图的方法
- 11 Gamma校正
- 12 直方图均衡化
-
2 图像恢复
-
-
其它技术
- 1 稀疏表示与字典学习
- 2 OCR
-
0 机器学习相关知识
聚类问题
<>
k-means
GMM
分类问题
svm
随机森林
神经网络
贝叶斯分类
回归问题
逻辑回归
线性回归
1 颜色空间及转换
http://www.cnblogs.com/skyseraph/archive/2011/05/03/2035643.html
2 特征提取
<>
2.1 颜色特征
2.1.1 颜色直方图
颜色直方图是描述图像颜色特性的基础工具。
计算直方图间的相似度是基于颜色直方图的基本操作之一,其主要作用是评估两张图像的相似程度。
对比而言, OpenCV提供了四种不同的计算方式:
http://www.opencv.org.cn/opencvdoc/2.3.2/html/doc/tutorials/imgproc/histograms/histogram_comparison/histogram_comparison.html
其中χ²(卡方)检验主要用于解决以下问题:例如:
H1.red[0] = 0.001与H2.red[0] = 0.011
H1.red[0] = 0.1与H2.red[0] = 0.11
尽管两者之间的差异在数值上相等,但它们的直方图距离却表现出显著的不同。
还有一种对比方法叫做交叉对比(Cross-bin-comparison):
2.1.2 颜色集
为了提升搜索速度,Smith与Chang提出了一种基于颜色集的方法。首先将RGB色域转换为视觉平衡的HSV色域,并将其量化为若干个区间段(bin)。随后采用色彩自动分割技术将图像划分为多个区域,则以量化色彩空间中的某一色彩通道来标识每个区域,并构建了一个基于二进制色彩索引表的图像描述体系。在图像匹配过程中,则比较不同图像的颜色集间的距离及颜色区域的空间关系。因为这种表示方法可被构建成二分查找树以加速搜索速度,在处理大规模图像集合方面具有显著优势。
2.1.3 颜色矩
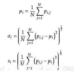
颜色矩作为一种简明且实用的颜色特征指标,在图像处理领域具有重要应用。它是由Stricker及Oreng提出的创新方法所支撑的基础理论指出,在图像分析中任意一种色彩分布都能通过其相应的矩来进行描述。基于通常情况下色彩信息主要集中在较低阶的统计量中这一特点,在此方案中只需使用这些矩中的关键参数——一阶距(mean)、二阶距(Variance)以及三阶距(Skewness)——即可充分表征图像的整体色彩特性。相较于传统直方图方法而言,在此方案中无需对特征进行量化处理。
m_{pq}=\int_{-1}^{1}\int_{-1}^{1}u^p v^q f(u,v)du dv

2.2 纹理特征
http://www.docin.com/p-1769701476.html
基于统计的特征,比如灰度共生矩阵,LBP
2.2.1 灰度共生矩阵
对图像上单个象素具有某个灰度进行统计的结果
http://www.cnblogs.com/8335IT/p/5648445.html
<>
2.2.2 LBP
<>
基于特征的建模中包含三种主要随机场建模方法:其中最具代表性的包括马尔可夫随机场(MRF)以及自回归纹理建模方法(SAR)。此外,在分形建模方法中包含两种典型的表现形式:一种是基于分数布朗运动的FBM建模方法,另一种是基于自相似性的ESS建模方法。
2.2.3 随机场模型
MRF就是马尔科夫随机场
<>
SAR自回归纹理模型
http://blog.sina.com.cn/s/blog_92c398b00102vs4o.html
2.2.4 分型模型
用于信号处理的技术通常在变换域中进行纹理特征提取。包括Gabor滤波和小波变换。
2.2.5 Gabor滤波
<>
2.2.6 小波变换
https://zhuanlan.zhihu.com/p/22450818?refer=dong5
https://wenku.baidu.com/view/8d1372b0d0d233d4b14e69c5.html
<>
探讨机器学习技术在图像识别领域的应用研究
深入分析人工智能算法在医疗诊断系统中的运用
详细探讨深度学习模型在自然语言处理任务中的性能评估
2.3 局部特征
<>
2.3.1 Harris角点
<>
2.3.2 Sift特征
<>
2.3.3 Surf特征
<>
2.4 其它特征
2.4.1 Hog特征
方向梯度直方图
<>
2.4.2 Haar特征
最早是用来人脸表示
<>
3 图像变换
3.1 滤波
<>
3.2 边缘检测
3.3 霍夫变换
3.4 仿射变换
该系统支持图像的拉伸、缩放、平移和旋转等多种变形
3.5 透视变换
<>
4 图像分割
4.1 阈值分割
汇总:
http://www.cnblogs.com/skyseraph/archive/2010/12/21/1913058.html
4.1.1 OTSU
此乃大津法中最常用的一种. 其核心目标在于最大化类间方差值. 如需进一步了解相关内容,请参考<>
4.1.2 最大熵
旨在寻找能够使两个类别之间的熵达到最大值的阈值
阈值分割其实都是基于灰度直方图的方法,求取最优划分.
4.2 基于区域的分割
4.2.1 区域分裂合并法
基于Gonzalez(2002)所提出的区域分裂与合并的方法的核心概念是首先将输入图像划分为若干个互不重叠的子区域;随后根据预设的标准对该初始划分结果进行进一步划分或重新组合以实现整体图像的精确分割。该方法不仅能够应用于灰度图像分割还能够应用于纹理图像分割。
4.2.2 分水岭方法
主要存在两种不同的策略,其中一种采用灰度值为基础的方法,另一种则是以距离变换为理论基础的方法(其中MATLAB正是采用这种方法作为基础工具)
4.3 基于图论的分割方法
此方法将图像分割任务与图的最小割(min cut)问题相关联。为此,首先将图像映射为带权无向图G=
4.3.1 GrapyCut
4.3.2 GrabCut
4.3.3 Random Walk
4.4 基于能量泛函的分割方法
主要就是指的水平集方法
4.5 彩色分割
4.5.1 边缘检测加区域生长
随后通过边缘检测算法生成初始种子点,并继而展开区域增长过程 http://www.cnblogs.com/skyseraph/archive/2011/05/22/2047049.html
4.5.2 颜色直方图
颜色直方图通常被用作图像特征;然而它也可以直接用于图像分割。这是最基本的图像分割方法:先提取颜色直方图,并根据其范围进行分割。
4.5.3 meanshift
用于图像分割:[链接]
Meanshift同样也可应用于目标跟踪:[链接]
4.5.4 Kmeans 分割
这是基于聚类的图像分割:
<>
每个像素点都可被视为一个向量;这些向量可能仅包含色彩属性或带位置属性的色彩属性。在聚类过程中,这些向量特征应经过归一化处理,并且同样可采用加权方法。
kmeans 可以用来进行图像预处理,这样颜色就只会有k类.
5 图像增强与恢复
5.1 基于颜色直方图的方法
5.1.1 Gamma校正
一种指数变换用于增强暗部和亮部的对比度,在gamma值等于1的情况下形成线性关系。
需要Gamma校正的原因有两个主要原因在于人类对光照的感知呈现非线性特征另一个原因是当前受存储容量和传输效率的制约仅使用256个灰度级来表征颜色信息这使得在采样时倾向于在亮度较暗和较亮的区域采用较少的色阶为了更有效地利用亮度范围我们在采样时分别对亮度较暗约0-22%反射率以及较为明亮的部分采用128个色阶来进行详细描绘即使不进行Gamma校正亮度较低的部分也会使用剩余4billion乘以约7.7%的数量级即足以覆盖必要的细节范围
5.1.2 直方图均衡化
靠累计分布函数来实现.
