雷达多普勒频率计算公式_新型双频相干脉冲压缩测速测距激光雷达
本文内容转载自《激光与红外》2019年第2期,版权归《激光与红外》编辑部所有。
余杨,眭晓林
固体激光技术重点实验室
摘要: 激光雷达具有抗干扰能力强、分辨率高、隐蔽性好等优点,已被广泛应用于精密测量、侦察监视、火控、制导等领域。针对远程激光测速测距中回波信号微弱难以检测的现实情况,提出了一种新的双频激光测速测距方法,采用脉冲压缩技术实现信号检测。通过实验,本文对该方法的原理进行了分析与验证。结果表明,该方法可以实现对运动目标的测速与测距。
关键词: 相干激光雷达;脉冲压缩算法;双频激光;激光多普勒测速;激光测距
1****引言
目标的速度和距离信息是激光雷达获取其三维空间的重要参数。然而,在远距离探测和水下、雾天等恶劣环境中,因介质衰减,回波信号幅值大大降低,脉冲波形因介质折射、散射而畸变展宽,但散弹噪声、暗噪声以及热噪声等噪声信号幅度和频带特性基本不变,所以目标回波淹没在噪声中,接收信噪比较小,用传统的阈值检测法无法提取目标信号。
相干检测(光学外差检测)是利用相干光源,可以间接地探测光波的振幅、频率和相位。相比较而言,直接探测(即非相干探测)使用相干光源或非相干光源均可,装置较为简单,但只能对光功率(光强)进行探测。目前,激光测距仪通常采用阈值检测法,在直接探测的基础上提取目标回波。直探方式与阈值检测适宜于强光信号(信噪比>5)探测,而对弱信号的远程目标难以探测。相干探测是一个重要的发展方向,具有转换增益高、信噪比高、检测灵敏度高、滤波(空间滤波和光谱滤波)好、稳定性和可靠性高、抗干扰能力强等优点。在激光相干探测中采用线性调频信号,可有效提高探测灵敏度和测距精度,增强系统的探测能力。通过本振光提高回波光信号的增益。高信噪比可以得到准确的频率值,进而精确获得目标的速度与距离。
2****原理
2.1****脉冲压缩原理
雷达的距离分辨率δr取决于信号的带宽:

对于普通脉冲雷达,雷达信号的时宽T与带宽B满足:

对于脉冲压缩雷达,雷达信号的时宽与带宽满足:

这样,经过压缩后雷达信号的时宽为:

压缩后与压缩前雷达信号时宽之比为:

定义雷达信号时宽与带宽的乘积为脉冲压缩比:

测距精度和距离分辨力主要取决于信号的频率结构,为提高测距精度和距离分辨力,要求信号具有大的带宽。而测速精度和速度分辨力则取决于信号的时域结构,为提高测速精度和速度分辨力,要求信号具有大的时宽。此外,提高时宽也可增加功率,提高雷达系统的发现能力。
为了提高雷达系统的发现能力、测量精度和分辨能力,要求信号具有大的时宽、带宽、能量乘积。但是在简单脉冲信号的雷达中,雷达信号的时宽带宽积约为1,不能兼顾距离分辨率和速度分辨率,距离分辨率和最大距离这两对指标,而当使用时宽带宽积远大于1的LFM线性调频等信号时,可以利用脉冲压缩,使得信噪比增强,并且可以很好的解决作用距离和分辨能力之间的矛盾,使得在提升距离分辨力的同时,也可以提高作用距离。因此,为了获得线性调频信号的大带宽所对应的高距离分辨能力,对接收到的LFM宽脉冲回波进行压缩滤波处理,使其变为窄脉冲。
2.1.1 Chirp****信号的脉冲压缩
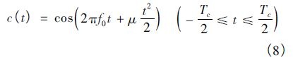
相比通用的正弦载波和余弦载波,Chirp信号在信号形式、调制方式上都变得更为复杂,但是,正是由于其复杂性为其带来了许多优点,其优秀的匹配滤波特性就是其中之一,即在白噪声环境中,通过对线性调频信号进行匹配滤波处理可以获得良好的信噪比,而且其匹配滤波器的响应与线性调频信号本身的区别仅仅在于频率变化的方向相反,因此对于线性调频信号的匹配滤波器构造极其简单,下面通过一个频率线性递增的Chirp 信号为例,来说明其匹配滤波的独有特性。
频率线性递增Chirp 信号函数为:

频率线性递减的Chirp 信号函数为:

式中,f0为信号中心频率;Chirp信号的频率变化率μ为一定值。
此时,线性递增的Chirp信号的匹配滤波输出为:

由式(10)看出,频率线性递增的线性调频信号经匹配滤波后,其输出信号的波形与sinc函数非常相似,且信号能量主要集中在(-1/B) ≤t≤(1/B)之间,即主瓣宽度为2/B,并且具有非常高的尖峰,其值为
。由此可以看出线性调频信号的匹配处理将近乎90%的信号能量都被压缩在主瓣内,因此匹配滤波的过程可以理解为将能量进行了压缩,并且时间带宽积越高,Chirp信号的压缩特性就越好。实际应用中,为了获得良好的压缩特性,一般都要求Chirp信号的时间带宽积要在100以上。
2.2****双频激光相干探测原理
双频激光相干探测原理如图1所示。

图1 双频激光相干探测原理图
在双频激光相干探测过程中,利用波的相干叠加原理和光电探测器平方律检测关系,本振信号的频率为:

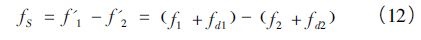
式中,f1,f2分别为双频激光的两个频率,差值在百兆赫兹量级。双频激光经高速目标散射后产生不同的多普勒频移,经光电探测器检测得到回波信号,其频率为:

式中,f1',f2' 为含多普勒频移的双频激光的频率;fd1,fd2分别为双频激光产生的多普勒频移。回波信号与本振信号进行二次乘积混频及低通滤波后,得到双频激光多普勒信号,其频率为:

依据激光多普勒频移公式,双频激光多普勒信号的频率与目标相对速度的关系为:

式中,c为电磁波的传播速度;v为目标的相对速度;f1-f2为双频激光的频差。例如,当激光波长取1.0μm时,双频激光的频差为300MHz,目标相对速度为1000 m/s时,单频激光多普勒频移为2GHz,由式(14)可知,双频激光多普勒频移仅为2 kHz。
由此可知,双频激光相干探测可将单频激光多普勒频移(GHz)转换到双频激光频差的多普勒频移(kHz),降低了高速目标的多普勒频移,从而实现激光探测系统对高速目标的速度获取。
3****设计方案
3.1****系统描述
当应用本系统测速时,打开信号s1、s2,使用双频激光,关闭调制器;测距时,打开信号s1及Chirp调制器,关闭信号s2,使用单频脉冲压缩算法。如图2所示。

图2 系统原理图
3.1.1****双频测速
双频激光器发射频率为f1、f2的双频激光,合束后经分束器,其中1%的光进入光电探测器作为本振信号;99%的光照射到高速目标,经反射后被光电探测器接收,得到回波信号。衰减后的s1、s2分别作为两个本振信号,再与回波信号合束。本振信号与回波信号进行混频,得到双频激光多普勒信号,经信号处理系统解算获得高速目标运动信息。双频激光多普勒信号的频率与目标相对速度的关系可由式(14)计算。
3.1.2****脉压测距
目标至雷达站的距离R(斜距)可以通过测量电波往返一次所需的时间tR得到,即:

时间tR即为相对于发射信号的延迟,因此,目标距离测量就是要精确测定延迟时间tR。在常用的脉冲雷达中,回波信号滞后于发射脉冲tR的回波脉冲。在雷达显示器上,由收发开关泄漏过来的发射能量,通过接收机并在显示器荧光屏上显示出来(称为主波)。绝大部分发射能量经过天线辐射到空间。辐射的电磁波遇到目标后将产生反射。由目标反射回来的能量被天线接收后送到接收机,最后在显示器上显示出来。在荧光屏上目标回波出现的时刻滞后于主波,滞后的时间就是tR,测量距离就是要测出时间tR。
回波信号的延迟时间tR通常是很短促的,将光速c = 3 × 105 km/s代入式(15)后得:

式中,tR的单位为μs;测得的距离单位为km,即测距的计时单位是μs。测量这样量要采用快速计时方法。早期雷达均用显示器作为终端,在显示器画面上根据扫掠量程和回波位置直接测读延迟时间;现代雷达通常采用电子设备自动测读回波到达的延迟时间tR。
选用线性调频信号实现数字脉冲压缩技术是对雷达发射信号的载频进行调制,从而增加雷达的发射带宽,并在接收端实现脉冲压缩处理(匹配滤波)。脉冲压缩技术是基于最佳匹配滤波的基本原理来实现的。匹配滤波器的作用就是对输入信号进行一次相关运算。在某一时刻,信号各频率分量同相叠加并得到最大的输出,由于与输入信号中的强相关特性,并且与随机输入噪声之间没有相关性,因此最大输出功率只与信号的能量有关。匹配滤波器的这种相关运算,可以在高斯白噪声中将确定信号检测出来,是以输出信噪比最大为准则的最优接收机。因此以相关检测的算法作为测距方案。
4****仿真及实验结果
为了分析该算法在测速测距应用中的合理性,采用MATLAB进行仿真,分别是验证双频激光测速的优越性及脉冲压缩测距的处理方式是否可行。测速参数如表1所示,测距仿真参数如表2所示。
实验一:验证双频激光处理方式能够有效降低高速目标的多普勒频移。
表1 不同差频与速度相应fd(Hz)

由表1可知,当待测速度v很大时,fd依然很小,如选用频差为1GHz的双频激光器做光源,测量300 m/s的速度时,fd仅有2kHz,理论上,这种测速方法的测速上限是不受限制的。但是,当双频激光器的频差较小时,待测速度很低时,对应的fd很小,无法精确测量。因此,当需要测量以较低速度运动的物体的速度时,可以选用频差较大的双频激光器作为光源。在实际应用中,可以根据实际的测速需求,选择具有合适频差的双频激光器。
实验二:验证脉冲压缩信号处理方式能够实现测距。
首先产生一个模拟发射的Chirp信号(图3为LFM脉冲的瞬时频率、线性调频信号波形及其频谱,从图中可以更直观地表示线性调频信号),经过延时后当作目标回波,与本振信号相干并且加入高斯噪声。然后经过脉冲压缩得到延迟时间,从而得到距离信息。
表2 测距仿真参数表


图3 线性调频信号及其频谱
仿真结果如图4所示。图中分别表示发射信号及相关检测结果。在实际应用中,使用铌酸锂相位调制器和声光调制器,铌酸锂相位调制器进行线性调频,声光调制器用于将连续激光斩成高斯形状的脉冲激光。由图中可以看出,当信号淹没在噪声中时,通过脉冲压缩及相关检测可以检到10 km 处的目标,经MATLAB仿真解算出的距离符合实际情况,说明该方案可以实现目标的距离测量。

图4 脉冲压缩测距仿真结果
5****结论
本文在分析激光雷达相干探测基本原理的基础上,提出了一种新型的双频线性调制激光雷达相干测速测距方案。双频激光多普勒测速仪不同于单频激光多普勒测速仪,采用双频激光器作为光源,能够克服单频激光多普勒测速仪易受测量环境影响的缺点,抗干扰能力强,具有较高的信噪比。该系统可实现集测速、测距为一体,测速时使用双频激光;测距时使用Chirp信号脉冲压缩算法,即可获得高速目标的速度与距离信息。
推荐会议:
2019年12月19日,麦姆斯咨询将在深圳举办『第二十八届“微言大义”研讨会:激光雷达技术及应用』,同期展会为2019深圳国际电子展、深圳国际未来汽车及技术展。目前已邀请北醒光子、力策科技、一径科技、速腾聚创、镭神智能、光珀智能、爱莱达等领先的激光雷达厂商展示2019年成果,同时也邀请EPC、ams、滨松、安森美半导体、炬佑智能、Lumentum、ADI、中山大学等单位剖析激光雷达核心技术及元器件!
会议官网及报名:
https://www.MEMSeminar.com/28/
研讨会联系方式:
联系人:麦姆斯咨询 郭蕾
电话:13914101112
E-mail:GUOLei@MEMSConsulting.com

