Deep Image Retrieval: Learning global representations for image search
Deep Image Retrieval: Learning global representations for image search
文中贡献
- 学习特征权重,构建区域特征。 2. 使用区域推荐网络,学习哪个区域需要细化形成池化构建成全局表达
文中使用三流孪生网络,优化R-MAC向量权重。通过使用triplet ranking loss。
第二个贡献是学习R-MAC pooling机制。预测bounding box .

整体结构如下,类似于faster RCNN.
将R-MAC中,固有的格式转化成RPN推荐区域。 RPN使用的是全卷积网络。

使用RPN 层的边框代替固定边框,进行R-MAC
RPN使用的是回归loss以及分类Loss。
Particular object retrieval with integral maxpooling of cnn activations
文中主要讲解了R-MAC
文中主要贡献,是量化不同的图像区域。
主要贡献:
- 首先对图像使用pooling激活,编码图像不同的区域。思想借鉴与FasterRCNN。
- 使用max-pooling的均值。
- 定位方法有益于图像的重新排序以及查询方法的扩展。
名词介绍
MAC: 最大池化得出的向量表达。 是编码最大的激活
区域特征向量:feature map中某区域的最大池化。
使用多尺度maxpooling。
RMAC: 给出不同的方形region,从scale中抽取,其中scale 最大是1,表示这个方形区域大小为[w, h]的最小值。 然后抽取区域。一致的使得连续区域的重叠接近40%。尺度提取m的多少和图像的比例有关系,比如如果是方形状的那么只能够提取1个。 对于不同尺度的l 可以得到宽度为

多少为

将feature vector l2正则化,PCA降维,l2正则化之后,将所有区域的向量相加后再进行l2正则化。

L=1,2,3
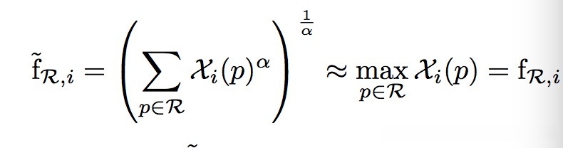
近似最大pooling:

alpha 越大越接近最大pooling
文中使用的alpha=10。
Detection
文中认为这种pooling形式也可以做目标检测。将一个图片中真正的boundding box 拿出了,然后pooling向量化,再从另一个图片中随机给出框然后向量化,计算cos距离,距离最大的那个,就认为是真的框。
Re-ranking
前N个排序图像,查询图片使用maxpooling, 对于每一个图片都有一个和区域和查询对比的score。然后将这个score 应用到re-ranking中。
Re-ranking中,使用到AML,从图片中选择出固定大小的框,步长固定。然后如果框的大小是query的s倍就把去掉。选择出最好的那个区域,允许增长的最大变动是3个单元。 可已5次处理过程。
